当前位置:首页>文档>专题23圆锥曲线的综合问题(定值最值范围)(解析版)_2.2025数学总复习_2023年新高考资料_二轮复习_考点2023年高考数学二轮复习讲义+训练(新高考专用)

专题23圆锥曲线的综合问题(定值最值范围)(解析版)_2.2025数学总复习_2023年新高考资料_二轮复习_考点2023年高考数学二轮复习讲义+训练(新高考专用)

  • 2026-04-02 18:56:07 2026-03-17 05:42:47

文档预览

专题23圆锥曲线的综合问题(定值最值范围)(解析版)_2.2025数学总复习_2023年新高考资料_二轮复习_考点2023年高考数学二轮复习讲义+训练(新高考专用)
专题23圆锥曲线的综合问题(定值最值范围)(解析版)_2.2025数学总复习_2023年新高考资料_二轮复习_考点2023年高考数学二轮复习讲义+训练(新高考专用)
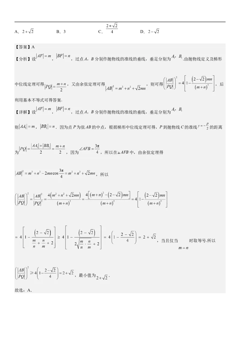
专题23圆锥曲线的综合问题(定值最值范围)(解析版)_2.2025数学总复习_2023年新高考资料_二轮复习_考点2023年高考数学二轮复习讲义+训练(新高考专用)
专题23圆锥曲线的综合问题(定值最值范围)(解析版)_2.2025数学总复习_2023年新高考资料_二轮复习_考点2023年高考数学二轮复习讲义+训练(新高考专用)
专题23圆锥曲线的综合问题(定值最值范围)(解析版)_2.2025数学总复习_2023年新高考资料_二轮复习_考点2023年高考数学二轮复习讲义+训练(新高考专用)
专题23圆锥曲线的综合问题(定值最值范围)(解析版)_2.2025数学总复习_2023年新高考资料_二轮复习_考点2023年高考数学二轮复习讲义+训练(新高考专用)
专题23圆锥曲线的综合问题(定值最值范围)(解析版)_2.2025数学总复习_2023年新高考资料_二轮复习_考点2023年高考数学二轮复习讲义+训练(新高考专用)
专题23圆锥曲线的综合问题(定值最值范围)(解析版)_2.2025数学总复习_2023年新高考资料_二轮复习_考点2023年高考数学二轮复习讲义+训练(新高考专用)
专题23圆锥曲线的综合问题(定值最值范围)(解析版)_2.2025数学总复习_2023年新高考资料_二轮复习_考点2023年高考数学二轮复习讲义+训练(新高考专用)
专题23圆锥曲线的综合问题(定值最值范围)(解析版)_2.2025数学总复习_2023年新高考资料_二轮复习_考点2023年高考数学二轮复习讲义+训练(新高考专用)
专题23圆锥曲线的综合问题(定值最值范围)(解析版)_2.2025数学总复习_2023年新高考资料_二轮复习_考点2023年高考数学二轮复习讲义+训练(新高考专用)
专题23圆锥曲线的综合问题(定值最值范围)(解析版)_2.2025数学总复习_2023年新高考资料_二轮复习_考点2023年高考数学二轮复习讲义+训练(新高考专用)
专题23圆锥曲线的综合问题(定值最值范围)(解析版)_2.2025数学总复习_2023年新高考资料_二轮复习_考点2023年高考数学二轮复习讲义+训练(新高考专用)
专题23圆锥曲线的综合问题(定值最值范围)(解析版)_2.2025数学总复习_2023年新高考资料_二轮复习_考点2023年高考数学二轮复习讲义+训练(新高考专用)
专题23圆锥曲线的综合问题(定值最值范围)(解析版)_2.2025数学总复习_2023年新高考资料_二轮复习_考点2023年高考数学二轮复习讲义+训练(新高考专用)
专题23圆锥曲线的综合问题(定值最值范围)(解析版)_2.2025数学总复习_2023年新高考资料_二轮复习_考点2023年高考数学二轮复习讲义+训练(新高考专用)
专题23圆锥曲线的综合问题(定值最值范围)(解析版)_2.2025数学总复习_2023年新高考资料_二轮复习_考点2023年高考数学二轮复习讲义+训练(新高考专用)
专题23圆锥曲线的综合问题(定值最值范围)(解析版)_2.2025数学总复习_2023年新高考资料_二轮复习_考点2023年高考数学二轮复习讲义+训练(新高考专用)
专题23圆锥曲线的综合问题(定值最值范围)(解析版)_2.2025数学总复习_2023年新高考资料_二轮复习_考点2023年高考数学二轮复习讲义+训练(新高考专用)
专题23圆锥曲线的综合问题(定值最值范围)(解析版)_2.2025数学总复习_2023年新高考资料_二轮复习_考点2023年高考数学二轮复习讲义+训练(新高考专用)
专题23圆锥曲线的综合问题(定值最值范围)(解析版)_2.2025数学总复习_2023年新高考资料_二轮复习_考点2023年高考数学二轮复习讲义+训练(新高考专用)
专题23圆锥曲线的综合问题(定值最值范围)(解析版)_2.2025数学总复习_2023年新高考资料_二轮复习_考点2023年高考数学二轮复习讲义+训练(新高考专用)
专题23圆锥曲线的综合问题(定值最值范围)(解析版)_2.2025数学总复习_2023年新高考资料_二轮复习_考点2023年高考数学二轮复习讲义+训练(新高考专用)
专题23圆锥曲线的综合问题(定值最值范围)(解析版)_2.2025数学总复习_2023年新高考资料_二轮复习_考点2023年高考数学二轮复习讲义+训练(新高考专用)
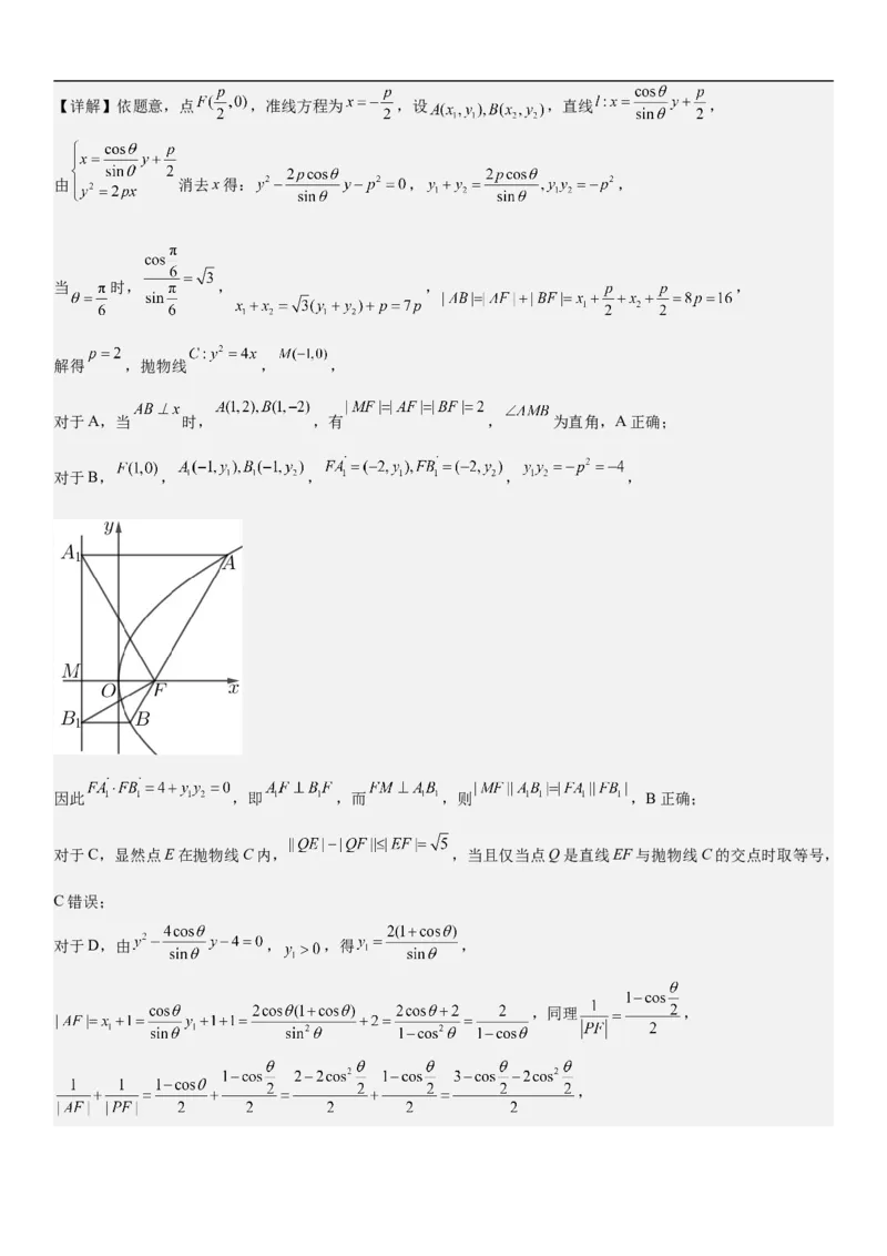
专题23圆锥曲线的综合问题(定值最值范围)(解析版)_2.2025数学总复习_2023年新高考资料_二轮复习_考点2023年高考数学二轮复习讲义+训练(新高考专用)
专题23圆锥曲线的综合问题(定值最值范围)(解析版)_2.2025数学总复习_2023年新高考资料_二轮复习_考点2023年高考数学二轮复习讲义+训练(新高考专用)
专题23圆锥曲线的综合问题(定值最值范围)(解析版)_2.2025数学总复习_2023年新高考资料_二轮复习_考点2023年高考数学二轮复习讲义+训练(新高考专用)
专题23圆锥曲线的综合问题(定值最值范围)(解析版)_2.2025数学总复习_2023年新高考资料_二轮复习_考点2023年高考数学二轮复习讲义+训练(新高考专用)
专题23圆锥曲线的综合问题(定值最值范围)(解析版)_2.2025数学总复习_2023年新高考资料_二轮复习_考点2023年高考数学二轮复习讲义+训练(新高考专用)
专题23圆锥曲线的综合问题(定值最值范围)(解析版)_2.2025数学总复习_2023年新高考资料_二轮复习_考点2023年高考数学二轮复习讲义+训练(新高考专用)
专题23圆锥曲线的综合问题(定值最值范围)(解析版)_2.2025数学总复习_2023年新高考资料_二轮复习_考点2023年高考数学二轮复习讲义+训练(新高考专用)
专题23圆锥曲线的综合问题(定值最值范围)(解析版)_2.2025数学总复习_2023年新高考资料_二轮复习_考点2023年高考数学二轮复习讲义+训练(新高考专用)
专题23圆锥曲线的综合问题(定值最值范围)(解析版)_2.2025数学总复习_2023年新高考资料_二轮复习_考点2023年高考数学二轮复习讲义+训练(新高考专用)
专题23圆锥曲线的综合问题(定值最值范围)(解析版)_2.2025数学总复习_2023年新高考资料_二轮复习_考点2023年高考数学二轮复习讲义+训练(新高考专用)
专题23圆锥曲线的综合问题(定值最值范围)(解析版)_2.2025数学总复习_2023年新高考资料_二轮复习_考点2023年高考数学二轮复习讲义+训练(新高考专用)
专题23圆锥曲线的综合问题(定值最值范围)(解析版)_2.2025数学总复习_2023年新高考资料_二轮复习_考点2023年高考数学二轮复习讲义+训练(新高考专用)
专题23圆锥曲线的综合问题(定值最值范围)(解析版)_2.2025数学总复习_2023年新高考资料_二轮复习_考点2023年高考数学二轮复习讲义+训练(新高考专用)
专题23圆锥曲线的综合问题(定值最值范围)(解析版)_2.2025数学总复习_2023年新高考资料_二轮复习_考点2023年高考数学二轮复习讲义+训练(新高考专用)
专题23圆锥曲线的综合问题(定值最值范围)(解析版)_2.2025数学总复习_2023年新高考资料_二轮复习_考点2023年高考数学二轮复习讲义+训练(新高考专用)
专题23圆锥曲线的综合问题(定值最值范围)(解析版)_2.2025数学总复习_2023年新高考资料_二轮复习_考点2023年高考数学二轮复习讲义+训练(新高考专用)
专题23圆锥曲线的综合问题(定值最值范围)(解析版)_2.2025数学总复习_2023年新高考资料_二轮复习_考点2023年高考数学二轮复习讲义+训练(新高考专用)
专题23圆锥曲线的综合问题(定值最值范围)(解析版)_2.2025数学总复习_2023年新高考资料_二轮复习_考点2023年高考数学二轮复习讲义+训练(新高考专用)
专题23圆锥曲线的综合问题(定值最值范围)(解析版)_2.2025数学总复习_2023年新高考资料_二轮复习_考点2023年高考数学二轮复习讲义+训练(新高考专用)
专题23圆锥曲线的综合问题(定值最值范围)(解析版)_2.2025数学总复习_2023年新高考资料_二轮复习_考点2023年高考数学二轮复习讲义+训练(新高考专用)
专题23圆锥曲线的综合问题(定值最值范围)(解析版)_2.2025数学总复习_2023年新高考资料_二轮复习_考点2023年高考数学二轮复习讲义+训练(新高考专用)
专题23圆锥曲线的综合问题(定值最值范围)(解析版)_2.2025数学总复习_2023年新高考资料_二轮复习_考点2023年高考数学二轮复习讲义+训练(新高考专用)
专题23圆锥曲线的综合问题(定值最值范围)(解析版)_2.2025数学总复习_2023年新高考资料_二轮复习_考点2023年高考数学二轮复习讲义+训练(新高考专用)
专题23圆锥曲线的综合问题(定值最值范围)(解析版)_2.2025数学总复习_2023年新高考资料_二轮复习_考点2023年高考数学二轮复习讲义+训练(新高考专用)
专题23圆锥曲线的综合问题(定值最值范围)(解析版)_2.2025数学总复习_2023年新高考资料_二轮复习_考点2023年高考数学二轮复习讲义+训练(新高考专用)
专题23圆锥曲线的综合问题(定值最值范围)(解析版)_2.2025数学总复习_2023年新高考资料_二轮复习_考点2023年高考数学二轮复习讲义+训练(新高考专用)
专题23圆锥曲线的综合问题(定值最值范围)(解析版)_2.2025数学总复习_2023年新高考资料_二轮复习_考点2023年高考数学二轮复习讲义+训练(新高考专用)

文档信息

文档格式
docx
文档大小
2.958 MB
文档页数
51 页
上传时间
2026-03-17 05:42:47

文档内容

专题23 圆锥曲线的综合问题(定值 最值 范围 ) 【练基础】 一、 单选题 1.(2023·广东广州·统考一模)已知抛物线 的顶点为坐标原点 ,焦点 任 铀上,过点 的且线交 于 两点,且 ,线段 的中点为 ,则直线 的斜率的取大值为( ) A. B. C. D.1 【答案】A 【分析】根据给定条件,设出抛物线C及直线PQ的方程,借助垂直关系求出抛物线方程及点M的坐标,再用斜 率坐标公式建立函数,利用均值不等式求解作答. 【详解】依题意,抛物线 的焦点在x轴的正半轴上,设 的方程为: , 显然直线 不垂直于y轴,设直线PQ的方程为: ,点 , 由 消去x得: ,则有 , 由 得: ,解得 , 于是抛物线 : 的焦点 ,弦 的中点 的纵坐标为 ,则点 , 显然直线 的斜率最大,必有 ,则直线 的斜率 , 当且仅当 ,即 时取等号, 所以直线 的斜率的取大值为 . 故选:A2.(2023·河南郑州·统考一模)过抛物线 的焦点F作直线交抛物线于 、 两点,若 ,则 的值为( ) A.4 B.6 C.8 D.10 【答案】B 【分析】利用抛物线的定义结合已知计算即可. 【详解】抛物线 的焦点为 ,准线方程为 由抛物线的定义可得, 故选:B 3.(2023·全国·高三专题练习)已知 , 分别为椭圆 的左、右焦点,P为椭圆上一动点, 关于直 线 的对称点为M, 关于直线 的对称点为N,当 最大时,则 的面积为( ) A. B. C. D. 【答案】D 【分析】确定 , , ,当M,N,P三点共线时 的值最大,计算 , 根据余弦定理得到 ,计算面积即可. 【详解】由椭圆的方程可得 , ,连接PM,PN, 则 ,所以当M,N,P三点共线时 的值最大,此时 , , 所以 , 在 中,由余弦定理可得 , 即 ,可得 , 所以 , 故选:D 4.(2023·江西上饶·统考一模)双曲线C: 的左,右焦点分别为 , ,过 作垂直于x轴的直线交 双曲线于A,B两点,则 的内切圆半径等于( ) A. B. C. D.2 【答案】C 【分析】由已知求出 的值,找出 的坐标,即可求出 , ,由等面积法即可求出内切圆的半径. 【详解】由双曲线 ,知 , 所以 , 所以 , 所以过 作垂直于 轴的直线为 , 代入 中,解出 , , 所以 , , 设 的内切圆半径为 ,在 中,由等面积法得: 所以 ,解得: . 故选:C. 5.(2023·全国·模拟预测)已知双曲线C: 的离心率为 , , 分别是C的左、右焦点, 经过点 且垂直于C的一条渐近线的直线l与C交于A,B两点,若 的面积为64,则C的实轴长为( ) A.6 B.8 C.12 D.16 【答案】B 【分析】由离心率得到双曲线的渐近线方程,联立方程由韦达定理得 、 ,代入 中计算可得结果. 【详解】∵ ,∴ ,即: , , ∴渐近线方程为 . 由题意知,不妨设直线l的方程为 , ,消去x得 ,则 , 设 , ,则 , , 所以 ,解得 ,即: ,故双曲线C的实轴长为8. 故选:B. 6.(2023·陕西安康·统考二模)设抛物线C: 的焦点是F,直线l与抛物线C相交于A,B两点, 且 ,过弦AB的中点P作 的垂线,垂足为Q,则 的最小值为( )A. B.3 C. D. 【答案】A 【分析】设 , ,过点A,B分别作抛物线的准线的垂线,垂足分别为 .由抛物线定义及梯形 中位线定理可得 ,又由余弦定理可得 ,则可得 ,后 利用基本不等式可得答案. 【详解】设 , ,过点A,B分别作抛物线的准线的垂线,垂足分别为 则 , .因为点P为弦AB的中点,根据梯形中位线定理可得,P到抛物线C的准线 的距离 为 ,因为 ,所以在 AFB中,由余弦定理得 ,所以 ,当且仅当 时取等号.所以 ,最小值为 . 故选:A.7.(2023·辽宁阜新·校考模拟预测)若椭圆 的左右焦点为 、 ,过 和点 的直线交椭圆于M、 N两点,若P(0,m)满足 ,则m的取值范围为( ) A. B. C. D. 【答案】D 【分析】写出直线MN的方程,与椭圆方程联立,写出 ,解不等式. 【详解】设 , ,过 和 的直线为 , 联立 ,消去y,得 , 所以 , , 则 , , , 所以 ,解得 . 故选:D. 【点睛】方法点睛:将坐标的数量积,用坐标表示,即将直线方程与椭圆方程联立得到韦达定理式,再将其整体 代入即可得到关于m的不等式. 8.(2023·内蒙古·校联考模拟预测)已知抛物线 的焦点为 ,过点 作两条互相垂直的直线 ,且直 线 分别与抛物线 交于 和 ,则 的最小值是( )A. B. C. D. 【答案】B 【分析】设 ,与抛物线方程联立可得韦达定理的结论,结合抛物线焦点弦长公式可求得 , 同理可得 ,从而得到 ,由 ,利用基本不等式可取得 最小值. 【详解】由抛物线方程得: ; 由题意知:直线 的斜率存在且不为 ,设 , , , 由 得: , ,此时 , , , 同理可得: , , (当且仅当 ,即 时取等号), 的最小值为 . 故选:B. 二、多选题 9.(2023·安徽·统考一模)已知 为坐标原点,点 ,线段 的中点 在抛物线 上,连接 并延长,与 交于点 ,则( ) A. 的准线方程为 B.点 为线段 的中点C.直线 与 相切 D. 在点 处的切线与直线 平行 【答案】BCD 【分析】将 代入抛物线得 ,则得到其准线方程,则可判断A,联立直线 的方程与抛物线方程即 可得到 ,即可判断B,利用导数求出抛物线 在点 处的切线方程,令 ,则可判断C,再次利用 导数求出抛物线在 处的切线斜率,则可判断D. 【详解】对A,根据中点公式得 ,将其代入 得 ,则 , 所以抛物线 的准线方程为 ,故A错误, 对B, ,则直线 的斜率为 ,则直线 的方程为 , 将其代入 得 ,解得 或0(舍去),此时 , 则 ,所以 为 中点,故B正确; 对C, ,即 ,则 , 故抛物线 在点 处的切线的斜率为 , 故切线方程为 , 令 得 ,所以直线 为 的切线,故C正确; 对D,抛物线 在 处的切线方程的斜率为 , 而直线 的斜率为 ,则两直线的斜率相等,且两直线显然不可能重合, 所以 在点 处的切线与直线 平行. 故选:BCD. 10.(2023·全国·模拟预测)已知椭圆 : , ,点 为椭圆 外一点,过点 作椭圆 的两条 不同的切线 , ,切点分别为 , .已知当点 在圆 上运动时,恒有 .则( ) A.B.若矩形 的四条边均与椭圆 相切,则矩形 的面积的最小值为14 C.若点 的运动轨迹为 ,则原点 到直线 的距离恒为1 D.若直线 , 的斜率存在且其斜率之积为 ,则点 在椭圆 上运动 【答案】BC 【分析】根据点 在圆 上运动时,恒有 ,设过 的直线为 ,代入椭圆方程后利 用 ,得到关于 的一元二次方程,确定方程的两根为 ,由 ,即可得 的值,从而判断A; 讨论直线 的斜率求得各情况下 , ,即可得矩形 ,结合不等式求得最值来判断B;根据椭圆上 一点的切线方程结论,确定切线 , 的方程,结合点 的运动轨迹为 ,可得切点弦 所在直线方 程,即可求得原点 到直线 的距离来判断C;设 , ,过 的直线为 ,代入椭圆方程后 利用 ,得到关于 的一元二次方程,确定方程的两根为 ,由 ,可得 所满足的方程, 即可判断D. 【详解】当 平行于 轴时, 恰好平行于 轴, , , ,满足 , 将 代入圆 有 ,得 ; 当 不平行于 轴时,设 , ,则 ,过 的直线为 , 联立 得 , 令 得 ,整理得 , 且此方程的两根为 ,则 ,又 ,所以 ,得 ,所以 ; 综上, ,故A不正确; 椭圆 的方程为 ,若矩形 的四条边均与椭圆 相切, ①当 的斜率为0时, , , 此时 , ②当 的斜率不存在时, , , 此时 , ③当 的斜率存在且不为0时,设直线 ,直线 , , 联立 ,消去 得 , ,化简得 ,同理可得 , 所以两平行线 和 的距离 , 以 代替 ,可得两平行线 和 的距离 , 所以矩形 的对角线 , 根据基本不等式 ,当且仅当 ,即 时等号成立,因为 , 所以矩形 面积的最大值为14,故B正确;下证:任一椭圆 在其上面的点 , 处的切线方程均可写为 设椭圆在点 , 处的切线方程为 ,则 , 令 得 ,所以 ,所以 ,则切线 方程为整理得 . 对于椭圆 : ,设切点坐标为 , , , ,则切线 , 的方程分别为 , , 若点 的运动轨迹为 ,设点 ,则 , 又两切线均过点 ,可得 , ,点 , 的坐标都适合方程 ,故直线 的方程 是 ,即 ,所以原点 到直线 的距离为 ,故C正 确; 设 , ,过 得直线为 , 联立 得 , 令 得 ,整理得 , 且此方程的两根为 ,则 ,又直线 , 的斜率存在且其斜率之积为 ,所以 ,得 ,故点 在双曲线 上运动,故D不正确. 故选:BC. 【点睛】关键点睛:解决本题的关键是确定直线与椭圆相切时,切线斜率之间的关系需要联立切线与椭圆方程得 判别式为零,则得到关于斜率的一元二次方程,由韦达定理即可得切线斜率之积的关系,即可结合轨迹方程可得 相关结论;对于直线与椭圆相切的切线方程问题,利用直线与椭圆相切,得切点坐标与直线斜率与截距的关系, 可得椭圆上一点 , 处的切线方程均可写为 ;对于切点弦问题,根据上述切线方程及两切线的交 点,由直线方程特点,即可得切点弦方程. 11.(2023·全国·模拟预测)已知椭圆 ( )的离心率为 ,椭圆上一点P与焦点 所 形成的三角形面积最大值为 ,下列说法正确的是( ) A.椭圆方程为 B.直线 与椭圆C无公共点 C.若A,B为椭圆C上的动点,且 ,过 作 , 为垂足,则点H所在轨迹为圆,且圆的半径 满足 D.若过点 作椭圆的两条切线,切点分别为A,B,则 【答案】AC 【分析】根据离心率可得 ,根据 求出 ,可得 ,可得椭圆方程为 ,故A 正确;联立直线与椭圆方程,根据判别式大于0可知B不正确;根据题意求出 可知C正确;根据导数 的几何意义求出切线方程,再求出切点弦的方程,可知D不正确. 【详解】设椭圆的焦距为 ,由 得 ,设 ,则 ,所以 ,当且仅当 时,等号成立, 所以 的最大值为 ,依题意可得 ,所以 , , , ,所以椭圆 的方程为: ,故A正确; 联立 ,消去 并整理得 , , 所以直线 与椭圆C有公共点,故B不正确; 因为 ,且 , 所以 , , 设 , , 若 的斜率存在且不为0,设为 ,则 的斜率为 , 则 , , 联立 ,得 , ,则 , 同理可得 ,所以 , 若 的斜率不存在或者为0,则 为椭圆的顶点(一个为长轴的顶点,一个为短轴的顶点),则 , 终上所述: ,即 .设 ,则 ,则点H所在轨迹为圆,且圆的半径 满足 ,故C正确. 设 , , 由 ,得 ,得 ,得 , 所以切线 的斜率为 ,切线 的方程为 , 即 ,即 , 因为 在切线上, ,同理可得 , 由 可知, 在直线 上, 由 可知, 在直线 上, 所以直线 的方程为 ,则 .故D不正确. 故选:AC 【点睛】关键点点睛:C选项中,求出 为定值 是解题关键,D选项中,利用导数的几何意义求出 切线方程是解题关键. 12.(2023·安徽淮北·统考一模)已知曲线 ,直线l过点 交 于A,B两点,下列命题正确的有 ( ) A.若A点横坐标为8,则 B.若 ,则 的最小值为6 C.原点O在AB上的投影的轨迹与直线 有且只有一个公共点 D.若 ,则以线段AB为直径的圆的面积是 【答案】BCD 【分析】对A选项将点的横坐标代入,求出点A的坐标,进而求出直线方程,联立直线及抛物线方程,由弦长即可求出弦长;对B选项作图可知,过点A作准线的垂线,垂足为 ,当 三点共线时 取最小值,即可求得最小值;对C选项根据题意,得出原点O在AB上的投影的轨迹,联立方程由判别 式即可判断公共点的个数;对D选项设出AB直线方程,联立直线与抛物线方程,由结合 得出直线方程, 再由弦长公式计算出线段AB的长度即可判断 【详解】对于A,易得 是抛物线 的焦点, 若A点横坐标为8,则 ,即 或 ,根据抛物线的对称性可得两种情况计 算出的 相同,再此取 计算. 所以l的直线方程是 即 , 直线与 相交,联立方程得 , , 得 , ,故A错误; 对于B,过点A作准线的垂线,垂足为 ,则 ,当 三点共线时 取最小值, 此时最小值为 ,故B正确; 对于C,设原点 在直线 上的投影为 , 的中点为 , 因为 ,所以 ,所以 为直角三角形,所以 ,根据几何性质及圆的定义可知点 的轨迹方程为 ,联立 得 , 解得 ,所以直线 与 只有一个交点,故C正确; 对于D,设直线 的方程为 ,联立 得 所以 , 因为 ,而 ,所以 , 所以 ,所以 所以 ,解得 , 则 , 所以 , ,所以以线段AB为直径的圆的面积是 ,故D正确. 故选:BCD. 三、填空题 13.(2023·福建福州·统考二模)已知椭圆C: ,直线l与C在第二象限交于A,B两点(A在B的左下 方),与x轴,y轴分别交于点M,N,且|MA|:|AB|:|BN|=1:2:3,则l的方程为__________.【答案】 【分析】由题意可得 点为线段 中点,设 点坐标为 ,求出A点坐标,代入椭圆方程解出点的坐标即 可得解. 【详解】如图, 由条件得 点为线段 中点,设 点坐标为 ,得 , 由 得 坐标为 ,将 坐标分别代入 中, 得 解得 则 坐标分别为 、 , 故直线方程为 ,即 , 所以直线 的方程为 . 故答案为: 14.(2023·贵州贵阳·统考一模)抛物线 ,圆 ,直线l过圆心M且与抛物线E 交于A,B与圆M交于C,D.若 ,则 ___________. 【答案】 ## 【分析】设直线 的方程为 ,由题意可知圆 的圆心为弦 的中点,据此联立直线与抛物线方程, 由根与系数的关系即可求出 ,再由弦长公式即可得解. 【详解】由 可得 ,故圆心 ,半径 , 因为直线l过圆心M且 ,所以 , ,即 为 的中点, 显然,直线 斜率为0时,不符合题意,设直线 的方程为 , 联立 ,消元得 , 设 ,由 , 所以 , 由 为 的中点可知, ,即 , 所以 , 所以 . 故答案为: 15.(2023·内蒙古赤峰·统考模拟预测)抛物线 的焦点为F,过C上一点P作C的准线l的垂线,垂足 为A,若直线 的斜率为 ,则 的面积为______. 【答案】 ##7.5 【分析】设 ,则 ,由 的斜率解得 ,再将 代入抛物线方程可得 ,进而可得 的面积. 【详解】由抛物线的方程可得 ,准线方程为 , 设 ,由题意可得 ,则 ,解得n=3,将 代入抛物线方程可得 ,解得 ,即 , 则 ,所以 的面积 . 故答案为: . 16.(2023·陕西·西安市西光中学校联考一模)点A,B是抛物线C: 上的两点,F是抛物线C的 焦点,若 ,AB中点D到抛物线C的准线的距离为d,则 的最小值为________. 【答案】 【分析】由抛物线几何性质可得 ,再由余弦定理和基本不等式可得. 【详解】在 中, , 易得 ,当且仅当 时等号成立. 故答案为: . 四、解答题 17.(2023·广东广州·统考一模)已知椭圆 的离心率为 ,以C的短轴为直径的圆与直线相切. (1)求C的方程; (2)直线 : 与C相交于A,B两点,过C上的点P作x轴的平行线交线段AB于点Q,直线OP的 斜率为 (O为坐标原点), APQ的面积为 . 的面积为 ,若 ,判断 是否为定值? △ 并说明理由. 【答案】(1) ; (2)是定值, . 【分析】(1)利用椭圆离心率及圆的切线性质,建立关于 的方程组,解方程组作答. (2)由给定的面积关系可得直线PQ平分 ,进而可得直线 的斜率互为相反数,再联立直线与椭圆方 程,利用韦达定理结合斜率坐标公式计算判断作答. 【详解】(1)由椭圆 的离心率为 得: ,即有 , 由以C的短轴为直径的圆与直线 相切得: ,联立解得 , 所以C的方程是 . (2) 为定值,且 , 因为 ,则 , 因此 ,而 ,有 , 于是 平分 ,直线 的斜率 互为相反数,即 ,设 , 由 得, ,即有 , 而 ,则 , 即 于是 , 化简得: , 且又因为 在椭圆上,即 ,即 , , 从而 , , 又因为 不在直线 上,则有 ,即 , 所以 为定值,且 . 【点睛】方法点睛:求定值问题常见的方法有两种:(1)从特殊入手,求出定值,再证明这个值与变量无关. (2)直接推理、计算,并在计算推理的过程中消去变量,从而得到定值. 18.(2023·山东泰安·统考一模)已知椭圆 : 的左,右焦点分别为 , ,离 心率为 , 是椭圆 上不同的两点,且点 在 轴上方, ,直线 , 交于点 .已知当 轴时, . (1)求椭圆 的方程; (2)求证:点 在以 , 为焦点的定椭圆上.【答案】(1) (2)证明见解析 【分析】(1)根据椭圆的离心率及当 轴时, ,代入椭圆方程,列方程即可求得 的值,从而得 椭圆 的方程; (2)由 ,则设直线 的方程为 ,所以直线 的方程为 ,设 , , , ,代入椭圆方程可得坐标关系,可得 的表达式,由平行线分线段成比例可得 , ,结合椭圆的定义即可证得 为定值,从而得结论. 【详解】(1)由题知, ,点 在椭圆C上,则 ,解得 , 所以椭圆C的方程为 ; (2)证明:∵ ,且点A在x轴上方 ∴设 , , , ,设直线 的方程为 ,则直线 的方程为 , 由 ,得 ,∴ 或 (舍), ∴ 同理 ,所以 , 由 ,得∴ ∴ 又点B在椭圆C上,∴ ,则 ∴ 同理: ,所以 ∴ 又 , ∴ ∴点P在以 , 为焦点的定椭圆上. 【提能力】 一、单选题 19.(2023·全国·高三专题练习)已知抛物线 的焦点为 ,过 且斜率大于零的直线 与 相交于 , 两点,若直线 与抛物线 相切,则 ( ) A.4 B.6 C.8 D.10 【答案】C 【分析】由已知设直线 的方程为 , ,由直线 与抛物线 相切,列方程求 ,联立直线与抛物线 的方程,利用设而不求法结合弦长公式求 . 【详解】抛物线 的焦点 的坐标为 , 由已知可设直线 的方程为 , , 因为直线 与抛物线 相切,所以 只有一组解, 所以方程 有且只有一个根, 故 ,又 , 所以 , 联立 ,消 ,得 , 方程 的判别式 , 设 ,则 , 所以 , 故选:C. 20.(2023·全国·模拟预测)已知抛物线C: ,O为坐标原点,A,B是抛物线C上两点,记直线OA,OB 的斜率分别为 , ,且 ,直线AB与x轴的交点为P,直线OA、OB与抛物线C的准线分别交于点M, N,则 PMN的面积的最小值为( ) △ A. B. C. D. 【答案】D 【分析】设出A、B的坐标,由 解得 的值,再分别求出点M、点N的坐标,求得 的式子,研究 恒过x轴上的定点可得点P的坐标,进而用方法1基本不等式或方法2函数思想求得三角形面积的最小值.【详解】设 , ,则 , , ∴ ∴ , ∴设 : ,令 得: ,∴ , 同理: ∴ , 设 : , , , , 又∵ , ∴ ,解得: , ∴ : 恒过点 , ∴ 与x轴交点P的坐标为 ,即: , ∴点P到准线 的距离为8+1=9. 方法1: ,当且仅当 时取等号. ∴ , ∴△PMN的面积的最小值为 . 方法2:∵ ∴ ,当且仅当m=0时取得最小值. ∴ , ∴△PMN的面积的最小值为 . 故选:D. 21.(2023·广西梧州·统考一模)已知双曲线 的左、右焦点分别为 , , 为双曲线 右支 上的动点,过 作两渐近线的垂线,垂足分别为 , .若圆 与双曲线 的渐近线相切,则下列结 论正确的有( )个. ① ; ② 为定值; ③双曲线 的离心率 ; ④当点 异于顶点时,△ 的内切圆的圆心总在直线 上. A.1 B.2 C.3 D.4 【答案】C 【分析】由双曲线渐近线方程 ,圆 圆心 ,半径是1,应用点线距离公式列方程求 , 设 有 ,由点线距离公式写出 ,直接用离心率定义求双曲线离心率,根据圆切线性质 及双曲线定义可得 ,进而确定内切圆的圆心的位置. 【详解】由题意,双曲线渐近线方程是 ,圆 的圆心 ,半径是1, 则 ,可得 ( 舍去),①错误. 设 ,则 ,即 ,渐近线方程是 ,则 , , 为常数,②正确; 由 ,所以 ,离心率为 ,③正确; 设△ 的内切圆与三边切点分别为 , , ,如图, 由圆的切线性质知 , 所以 ,因此内心 在直线 ,即直线 上,④正确; 故选:C 22.(2023·江西景德镇·统考模拟预测)已知双曲线 : 的左、右顶点为P、Q,点D在双曲线上且位 于第一象限,若 且 ,则 ( ) A. B. C. D. 【答案】D 【分析】设 ,则 ,由 得出 ,再由正弦定理 得出 . 【详解】如图所示,设 ,则 ,设 ,则 ,即 ,由双曲线方程可得,所以 ,又 , ,则 ,解得 ,则 ,在三角形 中,由正弦定理 ,可得 故选:D 23.(2022·全国·高三专题练习)已知O为坐标原点,焦点在x轴上的曲线C: 的离心率 满足 ,A,B是x轴与曲线C的交点,P是曲线C上异于A,B的一点,延长PO交曲线C于另一点Q,则 的取值范围是( ) A. B. C. D. 【答案】A 【分析】由离心率的范围可知曲线为椭圆,根据离心率与 的关系得到 的范围,然后利用斜率公式表示出 ,进而求出其范围. 【详解】由 解得 ,所以曲线C是椭圆.因椭圆C的焦点在x轴上,则 . 因为 ,所以 , 不妨设 , , , , 由题意知 ,则 ,即 , . 故选:A. 24.(2022·广东广州·统考一模)双曲线 的左,右焦点分别为 ,过 作垂直于 轴的直线交双 曲线于 两点, 的内切圆圆心分别为 ,则 的面积是( ) A. B. C. D. 【答案】A 【分析】由题意画出图,由已知求出 的值,找出 的坐标,由 的内切圆圆心分别为 ,进行分析,由等面积法求出内切圆的半径,从而求出 的底和高,利用三角形的面积公式计算即 可. 【详解】由题意如图所示: 由双曲线 ,知 ,所以 , 所以 , 所以过 作垂直于 轴的直线为 , 代入 中,解出 , 由题知 的内切圆的半径相等, 且 , 的内切圆圆心 的连线垂直于 轴于点 , 设为 ,在 中,由等面积法得: 由双曲线的定义可知: 由 ,所以 , 所以 , 解得: , 因为 为 的 的角平分线, 所以 一定在 上,即 轴上,令圆 半径为 , 在 中,由等面积法得: , 又 所以 , 所以 ,所以 , , 所以 , 故选:A. 25.(2023春·甘肃张掖·高三高台县第一中学统考期末)椭圆 的左、右顶点分别为 ,点 在 上,且直线 斜率取值范围是 ,那么直线 斜率取值范围是( ) A. B. C. D. 【答案】B 【分析】设 ,再根据 表达推导可得 ,进而根据直线 斜率取值范围求解即可. 【详解】设 ,则 , , , 于是 ,故 . ∵ ∴ . 故选:B. 26.(2022·青海西宁·湟川中学校考一模)已知抛物线 的焦点为F,过点F的直线l与抛物线C在第一、四象限分别交于点A,B,与圆 相切,则 的值等于( ) A. B. C. D. 【答案】D 【分析】直线l方程为 ,根据相切得到 ,联立方程,解得 , ,得到答案. 【详解】直线l的斜率存在,设为k,直线l过点 ,得直线l的方程为 , 即 . 由直线l与圆 相切,得 , 解得 .不妨取 ,设 , ,易知 , 联立 ,消去y,整理得 , 则 , ,则 , 故选:D 二、多选题 27.(2023·山东临沂·统考一模)抛物线有如下光学性质:由其焦点射出的光线经抛物线反射后,沿平行于抛物线 对称轴的方向射出.反之,平行于抛物线对称轴的入射光线经抛物线反射后必过抛物线的焦点.已知抛物线 , 为坐标原点,一束平行于 轴的光线 从点 射入,经过 上的点 反射后,再经过 上另一点 反射后,沿直线 射出,经过点 ,则()A. B.延长 交直线 于点 ,则 , , 三点共线 C. D.若 平分 ,则 【答案】AB 【分析】根据题设和抛物线和性质得到点 , ,将点 代入抛物线 的方程得到 ,从而求 出直线 的方程,联立直线 和抛物线 得到点 的坐标,即可判断选项A和C,又结合直线 和直线 得到点 ,即可判断B选项,若 平分 ,得到 ,转化为直线 斜率 和直线 的斜率的关系式即可求出 . 【详解】由题意知,点 , ,如图: 将 代入 ,得 ,所以 ,则直线 的斜率 , 则直线 的方程为 ,即 , 联立 ,得 ,解得 , , 又 时, ,则 所以 ,所以A选项正确;又 ,所以C选项错误; 又知直线 轴,且 ,则直线 的方程为 , 又 ,所以直线 的方程为 , 令 ,解得 ,即 , 在直线 上, 所以 , , 三点共线,所以B选项正确; 设直线 的倾斜角为 ( ),斜率为 ,直线 的倾斜角为 , 若 平分 ,即 ,即 , 所以 ,则 ,且 ,解得 , 又 ,解得: ,所以D选项错误; 故选:AB. 28.(2023·浙江·模拟预测)已知抛物线 的焦点为F,准线与x轴的交点为M,过点F的直线l 与抛物线C相交于A,B两点(点A在第一象限),过A,B点作准线的垂线,垂足分别为 .设直线l的倾斜 角为 ,当 时, .则下列说法正确的是( ) A. 有可能为直角 B. C.Q为抛物线C上一个动点, 为定点, 的最小值为 D.过F点作倾斜角的角平分线FP交抛物线C于P点(点P在第一象限),则存在 ,使 【答案】ABD 【分析】根据给定条件,求出抛物线方程,再逐项分析、计算判断作答.【详解】依题意,点 ,准线方程为 ,设 ,直线 , 由 消去x得: , , 当 时, , , , 解得 ,抛物线 , , 对于A,当 时, ,有 , 为直角,A正确; 对于B, , , , , 因此 ,即 ,而 ,则 ,B正确; 对于C,显然点E在抛物线C内, ,当且仅当点Q是直线EF与抛物线C的交点时取等号, C错误; 对于D,由 , ,得 , ,同理 , ,令 ,而 ,解得 ,则 ,D正确. 故选:ABD 29.(2023·全国·开滦第二中学校考模拟预测)设 , 分别为椭圆 的左、右焦点,P为椭圆上第一象 限内任意一点, , 表示直线 , 的斜率,则下列说法正确的是( ) A.存在点P,使得 成立 B.存在点P,使得 成立 C.存在点P,使得 成立 D.存在点P,使得 成立 【答案】ABD 【分析】根据椭圆的性质逐项进行分析即可判断. 【详解】由椭圆方程 可得: , , 对于A,由椭圆的性质可得: ,又因为点P在第一象限内,所以 , 所以存在点P,使得 成立,故选项A正确; 对于B,设点 ,因为 ,所以 , ,则 , 因为 ,所以 ,所以 , 所以存在点P,使得 ,则 成立,故选项B正确; 对于C,因为 , ,若 ,则 ,因为点 在第一象限内,所以 ,则 可化为: ,解得: 不成立,所以不存在点P,使得 成立,故选项C错误;对于D,由选项 的分析可知: ,所以存在点P,使得 成立,故选项D正 确, 故选:ABD. 30.(2023·山东济宁·统考一模)已知 , 是椭圆 : ( )与双曲线 : ( )的公共焦点, , 分别是 与 的离心率,且 是 与 的一个公共点,满足 ,则 下列结论中正确的是( ) A. B. C. 的最大值为 D. 的最大值为 【答案】BD 【分析】根据共焦点得到 ,A错误,计算 , ,得到 ,B正确, 设 , ,代入计算得到C错误,D正确,得到答案. 【详解】对选项A:椭圆和双曲线共焦点,故 ,错误; 对选项B: ,即 , , , 故 , ,故 ,即 , 即 ,正确; 对选项C:设 , , ,若最大值为 ,则 , ,,即 ,不成立,错误; 对选项D:设 , , , ,若最大值为 ,则 , , ,即 , , ,成立,正确; 故选:BD 【点睛】关键点睛:本题考查了椭圆和双曲线的离心率相关问题,意在考查学生的计算能力,转化能力和综合应 用能力,其中利用三角换元求最值可以简化运算,是解题的关键. 三、填空题 31.(2023·陕西咸阳·陕西咸阳中学校考模拟预测)已知拋物线 ,过焦点的直线 与抛物线 交 于 两点, 在抛物线 的准线上,且满足 ,则直线 的方程为___________. 【答案】 【分析】根据准线方程求得 ,也即求得抛物线 的方程,设直线 ,联立直线 的方程和抛物线方程, 化简写出根与系数关系,结合抛物线的性质求得 ,进而求得直线 的方程. 【详解】由题意知,抛物线 的准线为 ,即 ,得 , 所以抛物线 的方程为 ,因为 ,所以 在以 为直径的圆上. 由抛物线性质可知 为切点,所以圆心纵坐标为 . 设直线 ,点 ,联立方程组 ,可得 , 所以 ,所以 ,直线 . 故答案为: 32.(2023秋·湖南湘潭·高三校联考期末)已知双曲线 的右焦点为 ,直线 与双曲 线 相交于 两点,点 ,以 为直径的圆与 相交于 两点,若 为线段 的中点,则 __________. 【答案】2 【分析】根据直线与双曲线的位置关系确定交点坐标关系,利用直线和圆的几何性质,即可求得 的长. 【详解】解:如图,由题可知, 的坐标为 ,设 , 联立方程组 ,可得 , 则 , . 因为 为线段 的中点,所以 的坐标为 . 又以 为直径的圆与 相交于 两点,所以 ,所以 ,解得 ,又 ,所以 , 所以 ,故 . 故答案为:2. 33.(2023·湖北武汉·统考模拟预测)设F为双曲线 的右焦点,A,B分别为双曲线E的 左右顶点,点P为双曲线E上异于A,B的动点,直线l:x=t使得过F作直线AP的垂线交直线l于点Q时总有 B,P,Q三点共线,则 的最大值为____________. 【答案】 ##1.25 【分析】设出直线方程,与双曲线的方程联立,韦达定理表示出A与P的关系,根据三点B,P,Q 共 线 ,求得 Q点坐标的横坐标表示出t ,然后运用设参数m法化简 ,最后根据二次函数的性质求出最大值. 【详解】 设 , ,联立 整理得: ; 所以 ,得到 ,所以 ; 过F作直线PA的垂线 与直线 交于Q, 因为B,Q,P三点共线,所以Q是直线 与BP的交点, Q是 与 的交点所以得 ,所以 设 则 所以当 时,即m=2即时, 取得最大值 . 故答案为: 【点睛】方法点睛:(1)联立方程,根据韦达定理表示出坐标关系式;按照题目中给出的关系,构建关系式,表 示出所求变量; (2)在计算推理的过程中运用整体转化,化简函数式,从而得到二次函数或者不等式,求得最值; 本题的解题的关键是,表示出Q点的交点坐标,找到与t有关的解析式. 34.(2023·全国·模拟预测)已知椭圆 ,斜率为 的直线 分别交 轴负半轴、 轴负半轴于 、 两点,交 于 、 两点,点 在 轴上方,过点 作 轴的平行线交 于 、 两点,则 面积的最大值 为________. 【答案】 【分析】设直线 的方程为 ,根据题意求得 ,求出点 的横坐标,以及 ,求出点 到 直线 的距离,利用三角形的面积可得出 ,令 ,利用导数法求出函数 在 上的最大值,即可得出 面积的最大值. 【详解】设直线 的方程为 ,由题意可知 ,直线 交 轴负半轴于点 ,设点 、 ,则 , 联立 可得 , ,由于 ,解得 , 因为 ,可得 , 解方程 可得 , 所以, ,所以, , 所以, ,可得 ,故 , 直线 的方程为 ,联立 可得 ,所以, , , 所以,点 到直线 的距离为 , 所以,, 令 ,则 , 令 ,其中 , 则 ,令 ,可得 , 当 时, ; 当 时, , , 因为 , 故当 时, ,则 , 当 时, ,则 . 所以,函数 在 上单调递增,在 上单调递减, 故当 , 因为 ,故 , 故 .故答案为: . 【点睛】方法点睛:圆锥曲线中的最值问题解决方法一般分两种: 一是几何法,特别是用圆锥曲线的定义和平面几何的有关结论来求最值; 二是代数法,常将圆锥曲线的最值问题转化为二次函数或三角函数的最值问题,然后利用基本不等式、函数的单 调性或三角函数的有界性等求最值. 四、解答题 35.(2023·陕西咸阳·陕西咸阳中学校考模拟预测)已知椭圆 的离心率为 , 过椭圆的 焦点且与长轴垂直的弦长为 1 . (1)求椭圆 的标准方程; (2)过椭圆 的右焦点 作直线 交椭圆 于 两点, 交直线 于点 ,若 , 求 证: 为定值. 【答案】(1) ; (2)证明见解析. 【分析】(1)根据给定条件,设出椭圆半焦距并求出弦长,进而求出a,b即可作答. (2)设出直线l的方程,与椭圆方程联立,利用韦达定理结合向量的坐标表示推理计算作答. 【详解】(1)设椭圆 的半焦距为c,将 代入 得 ,于是 , 由离心率为 ,得 ,即有 ,则有 , 所以椭圆 的方程为 . (2)设点 , ,而 ,显然直线 的斜率存在,设直线 的方程为 , 由 消去y整理得: , 由于点 在椭圆 的内部,直线 与椭圆 必有两个交点,因此 , 因为 ,令 ,得 , ,于是 所以 . 【点睛】方法点睛:求定值问题常见的方法有两种:(1)从特殊入手,求出定值,再证明这个值与变量无关.(2)直 接推理、计算,并在计算推理的过程中消去变量,从而得到定值. 36.(2023春·湖北武汉·高三华中师大一附中校考阶段练习)已知双曲线E: 与直线l: 相交 于A、B两点,M为线段AB的中点. (1)当k变化时,求点M的轨迹方程; (2)若l与双曲线E的两条渐近线分别相交于C、D两点,问:是否存在实数k,使得A、B是线段CD的两个三等分 点?若存在,求出k的值;若不存在,说明理由. 【答案】(1) ,其中 或 (2)存在, 【分析】(1)设 , , ,联立直线l与双曲线E的方程,消去y,得 ,根据已知直线l与双曲线E相交于A、B两点,得 且 ,即 且 ,由韦达定理,得 ,则 , ,联立消去k,得 ,再根据 的范围得出 的范围,即可得出答案; (2)设 , ,根据双曲线E的渐近线方程与直线l的方程联立即可得出 , , 则 ,即线段AB的中点M也是线段CD的中点,若A,B为线段CD的两个三等分点,则 ,结合弦长公式列式得 ,即可化简代入得出 ,即可解 出答案. 【详解】(1)设 , , , 联立直线l与双曲线E的方程,得 , 消去y,得 . 由 且 ,得 且 . 由韦达定理,得 . 所以 , . 由 消去k,得 . 由 且 ,得 或 . 所以,点M的轨迹方程为 ,其中 或 . (2)双曲线E的渐近线方程为 . 设 , ,联立 得 ,同理可得 , 因为 ,所以,线段AB的中点M也是线段CD的中点. 若A,B为线段CD的两个三等分点,则 . 即 , . 而 , . 所以, ,解得 , 所以 ,存在实数,使得A、B是线段CD的两个三等分点. 37.(2023·全国·高三专题练习)如图,已知 ,直线l: ,P为平面上的动点,过点P作l的垂线,垂 足为点Q,且 . (1)求动点P的轨迹C的方程; (2)过点F的直线与轨迹C交于A,B两点,与直线l交于点M,设 , ,证明 定值,并 求 的取值范围. 【答案】(1) (2)证明见解析, 【分析】(1)设出点的坐标,运用数量积运算可得结果. (2)设直线AB的方程,求出点M的坐标,联立直线AB与轨迹C的方程后由韦达定理得 、 ,由已知向量关系式可得 , ,进而求得 的值与 的范围. 【详解】(1)设点 ,则 ,且 . 由 得 , 即 ,化简得 . 故动点P的轨迹C的方程为: . (2)设直线AB的方程为: ,则 . 联立直线AB与轨迹C的方程得 ,消去x得 , 则 . 设 , ,由韦达定理知, . 由 , 得: , , 整理得 , . 所以 . 故 为定值0. ∵ , ∴ , ∴ 的取值范围是 . 【点睛】方法点睛:利用韦达定理法解决直线与圆锥曲线相交问题的基本步骤如下:(1)设直线方程,设交点坐标为 ; (2)联立直线与圆锥曲线的方程,得到关于 (或 )的一元二次方程,必要时计算 ; (3)列出韦达定理; (4)将所求问题或题中的关系转化为 、 (或 、 )的形式; (5)代入韦达定理求解. 38.(2023·全国·高三专题练习)已知椭圆 经过点 ,且椭圆的长轴长为 . (1)求椭圆 的方程; (2)设经过点 的直线 与椭圆 相交于 、 两点,点 关于 轴的对称点为 ,直线 与 轴相交于点 ,求 的面积 的取值范围. 【答案】(1) (2) 【分析】(1)根据已知条件可得出 的值,将点 的坐标代入椭圆 的方程,可得出 ,即可得出椭圆 的方程; (2)分析可知直线 不与 轴重合,设直线 的方程为 ,设点 、 ,将直线 的方 程与椭圆 的方程联立,列出韦达定理,写出直线 的方程,可求得点 的坐标,利用三角形的面积公式以及 对勾函数的单调性可求得 的取值范围. 【详解】(1)解:因为椭圆 的长轴长为 ,则 , 将点 的坐标代入椭圆 的方程可得 ,可得 , 所以,椭圆 的标准方程为 . (2)解:若 与 轴重合,则 不存在, 设直线 的方程为 ,设点 、 ,若 ,则点 与点 重合,不合乎题意,所以, , 联立 可得 , , 由韦达定理可得 , , 易知点 , , 直线 的方程为 , 将 代入直线 的方程可得 ,即点 , , 所以, , 令 ,则函数 在 上为增函数, 所以, ,所以, . 故 的面积 的取值范围是 .