当前位置:首页>文档>秘籍12导数小题归类(9大题型)(解析版)_2.2025数学总复习_2023年新高考资料_备战2023年高考数学抢分秘籍(新高考专用)

秘籍12导数小题归类(9大题型)(解析版)_2.2025数学总复习_2023年新高考资料_备战2023年高考数学抢分秘籍(新高考专用)

  • 2026-03-26 06:25:05 2026-03-22 18:33:54

文档预览

秘籍12导数小题归类(9大题型)(解析版)_2.2025数学总复习_2023年新高考资料_备战2023年高考数学抢分秘籍(新高考专用)
秘籍12导数小题归类(9大题型)(解析版)_2.2025数学总复习_2023年新高考资料_备战2023年高考数学抢分秘籍(新高考专用)
秘籍12导数小题归类(9大题型)(解析版)_2.2025数学总复习_2023年新高考资料_备战2023年高考数学抢分秘籍(新高考专用)
秘籍12导数小题归类(9大题型)(解析版)_2.2025数学总复习_2023年新高考资料_备战2023年高考数学抢分秘籍(新高考专用)
秘籍12导数小题归类(9大题型)(解析版)_2.2025数学总复习_2023年新高考资料_备战2023年高考数学抢分秘籍(新高考专用)
秘籍12导数小题归类(9大题型)(解析版)_2.2025数学总复习_2023年新高考资料_备战2023年高考数学抢分秘籍(新高考专用)
秘籍12导数小题归类(9大题型)(解析版)_2.2025数学总复习_2023年新高考资料_备战2023年高考数学抢分秘籍(新高考专用)
秘籍12导数小题归类(9大题型)(解析版)_2.2025数学总复习_2023年新高考资料_备战2023年高考数学抢分秘籍(新高考专用)
秘籍12导数小题归类(9大题型)(解析版)_2.2025数学总复习_2023年新高考资料_备战2023年高考数学抢分秘籍(新高考专用)
秘籍12导数小题归类(9大题型)(解析版)_2.2025数学总复习_2023年新高考资料_备战2023年高考数学抢分秘籍(新高考专用)
秘籍12导数小题归类(9大题型)(解析版)_2.2025数学总复习_2023年新高考资料_备战2023年高考数学抢分秘籍(新高考专用)
秘籍12导数小题归类(9大题型)(解析版)_2.2025数学总复习_2023年新高考资料_备战2023年高考数学抢分秘籍(新高考专用)
秘籍12导数小题归类(9大题型)(解析版)_2.2025数学总复习_2023年新高考资料_备战2023年高考数学抢分秘籍(新高考专用)
秘籍12导数小题归类(9大题型)(解析版)_2.2025数学总复习_2023年新高考资料_备战2023年高考数学抢分秘籍(新高考专用)
秘籍12导数小题归类(9大题型)(解析版)_2.2025数学总复习_2023年新高考资料_备战2023年高考数学抢分秘籍(新高考专用)
秘籍12导数小题归类(9大题型)(解析版)_2.2025数学总复习_2023年新高考资料_备战2023年高考数学抢分秘籍(新高考专用)
秘籍12导数小题归类(9大题型)(解析版)_2.2025数学总复习_2023年新高考资料_备战2023年高考数学抢分秘籍(新高考专用)
秘籍12导数小题归类(9大题型)(解析版)_2.2025数学总复习_2023年新高考资料_备战2023年高考数学抢分秘籍(新高考专用)
秘籍12导数小题归类(9大题型)(解析版)_2.2025数学总复习_2023年新高考资料_备战2023年高考数学抢分秘籍(新高考专用)
秘籍12导数小题归类(9大题型)(解析版)_2.2025数学总复习_2023年新高考资料_备战2023年高考数学抢分秘籍(新高考专用)
秘籍12导数小题归类(9大题型)(解析版)_2.2025数学总复习_2023年新高考资料_备战2023年高考数学抢分秘籍(新高考专用)
秘籍12导数小题归类(9大题型)(解析版)_2.2025数学总复习_2023年新高考资料_备战2023年高考数学抢分秘籍(新高考专用)
秘籍12导数小题归类(9大题型)(解析版)_2.2025数学总复习_2023年新高考资料_备战2023年高考数学抢分秘籍(新高考专用)
秘籍12导数小题归类(9大题型)(解析版)_2.2025数学总复习_2023年新高考资料_备战2023年高考数学抢分秘籍(新高考专用)
秘籍12导数小题归类(9大题型)(解析版)_2.2025数学总复习_2023年新高考资料_备战2023年高考数学抢分秘籍(新高考专用)
秘籍12导数小题归类(9大题型)(解析版)_2.2025数学总复习_2023年新高考资料_备战2023年高考数学抢分秘籍(新高考专用)
秘籍12导数小题归类(9大题型)(解析版)_2.2025数学总复习_2023年新高考资料_备战2023年高考数学抢分秘籍(新高考专用)
秘籍12导数小题归类(9大题型)(解析版)_2.2025数学总复习_2023年新高考资料_备战2023年高考数学抢分秘籍(新高考专用)
秘籍12导数小题归类(9大题型)(解析版)_2.2025数学总复习_2023年新高考资料_备战2023年高考数学抢分秘籍(新高考专用)
秘籍12导数小题归类(9大题型)(解析版)_2.2025数学总复习_2023年新高考资料_备战2023年高考数学抢分秘籍(新高考专用)
秘籍12导数小题归类(9大题型)(解析版)_2.2025数学总复习_2023年新高考资料_备战2023年高考数学抢分秘籍(新高考专用)
秘籍12导数小题归类(9大题型)(解析版)_2.2025数学总复习_2023年新高考资料_备战2023年高考数学抢分秘籍(新高考专用)
秘籍12导数小题归类(9大题型)(解析版)_2.2025数学总复习_2023年新高考资料_备战2023年高考数学抢分秘籍(新高考专用)
秘籍12导数小题归类(9大题型)(解析版)_2.2025数学总复习_2023年新高考资料_备战2023年高考数学抢分秘籍(新高考专用)
秘籍12导数小题归类(9大题型)(解析版)_2.2025数学总复习_2023年新高考资料_备战2023年高考数学抢分秘籍(新高考专用)
秘籍12导数小题归类(9大题型)(解析版)_2.2025数学总复习_2023年新高考资料_备战2023年高考数学抢分秘籍(新高考专用)
秘籍12导数小题归类(9大题型)(解析版)_2.2025数学总复习_2023年新高考资料_备战2023年高考数学抢分秘籍(新高考专用)
秘籍12导数小题归类(9大题型)(解析版)_2.2025数学总复习_2023年新高考资料_备战2023年高考数学抢分秘籍(新高考专用)
秘籍12导数小题归类(9大题型)(解析版)_2.2025数学总复习_2023年新高考资料_备战2023年高考数学抢分秘籍(新高考专用)
秘籍12导数小题归类(9大题型)(解析版)_2.2025数学总复习_2023年新高考资料_备战2023年高考数学抢分秘籍(新高考专用)
秘籍12导数小题归类(9大题型)(解析版)_2.2025数学总复习_2023年新高考资料_备战2023年高考数学抢分秘籍(新高考专用)
秘籍12导数小题归类(9大题型)(解析版)_2.2025数学总复习_2023年新高考资料_备战2023年高考数学抢分秘籍(新高考专用)
秘籍12导数小题归类(9大题型)(解析版)_2.2025数学总复习_2023年新高考资料_备战2023年高考数学抢分秘籍(新高考专用)
秘籍12导数小题归类(9大题型)(解析版)_2.2025数学总复习_2023年新高考资料_备战2023年高考数学抢分秘籍(新高考专用)
秘籍12导数小题归类(9大题型)(解析版)_2.2025数学总复习_2023年新高考资料_备战2023年高考数学抢分秘籍(新高考专用)
秘籍12导数小题归类(9大题型)(解析版)_2.2025数学总复习_2023年新高考资料_备战2023年高考数学抢分秘籍(新高考专用)
秘籍12导数小题归类(9大题型)(解析版)_2.2025数学总复习_2023年新高考资料_备战2023年高考数学抢分秘籍(新高考专用)
秘籍12导数小题归类(9大题型)(解析版)_2.2025数学总复习_2023年新高考资料_备战2023年高考数学抢分秘籍(新高考专用)
秘籍12导数小题归类(9大题型)(解析版)_2.2025数学总复习_2023年新高考资料_备战2023年高考数学抢分秘籍(新高考专用)
秘籍12导数小题归类(9大题型)(解析版)_2.2025数学总复习_2023年新高考资料_备战2023年高考数学抢分秘籍(新高考专用)
秘籍12导数小题归类(9大题型)(解析版)_2.2025数学总复习_2023年新高考资料_备战2023年高考数学抢分秘籍(新高考专用)
秘籍12导数小题归类(9大题型)(解析版)_2.2025数学总复习_2023年新高考资料_备战2023年高考数学抢分秘籍(新高考专用)
秘籍12导数小题归类(9大题型)(解析版)_2.2025数学总复习_2023年新高考资料_备战2023年高考数学抢分秘籍(新高考专用)
秘籍12导数小题归类(9大题型)(解析版)_2.2025数学总复习_2023年新高考资料_备战2023年高考数学抢分秘籍(新高考专用)
秘籍12导数小题归类(9大题型)(解析版)_2.2025数学总复习_2023年新高考资料_备战2023年高考数学抢分秘籍(新高考专用)
秘籍12导数小题归类(9大题型)(解析版)_2.2025数学总复习_2023年新高考资料_备战2023年高考数学抢分秘籍(新高考专用)
秘籍12导数小题归类(9大题型)(解析版)_2.2025数学总复习_2023年新高考资料_备战2023年高考数学抢分秘籍(新高考专用)
秘籍12导数小题归类(9大题型)(解析版)_2.2025数学总复习_2023年新高考资料_备战2023年高考数学抢分秘籍(新高考专用)
秘籍12导数小题归类(9大题型)(解析版)_2.2025数学总复习_2023年新高考资料_备战2023年高考数学抢分秘籍(新高考专用)
秘籍12导数小题归类(9大题型)(解析版)_2.2025数学总复习_2023年新高考资料_备战2023年高考数学抢分秘籍(新高考专用)
秘籍12导数小题归类(9大题型)(解析版)_2.2025数学总复习_2023年新高考资料_备战2023年高考数学抢分秘籍(新高考专用)
秘籍12导数小题归类(9大题型)(解析版)_2.2025数学总复习_2023年新高考资料_备战2023年高考数学抢分秘籍(新高考专用)
秘籍12导数小题归类(9大题型)(解析版)_2.2025数学总复习_2023年新高考资料_备战2023年高考数学抢分秘籍(新高考专用)
秘籍12导数小题归类(9大题型)(解析版)_2.2025数学总复习_2023年新高考资料_备战2023年高考数学抢分秘籍(新高考专用)
秘籍12导数小题归类(9大题型)(解析版)_2.2025数学总复习_2023年新高考资料_备战2023年高考数学抢分秘籍(新高考专用)
秘籍12导数小题归类(9大题型)(解析版)_2.2025数学总复习_2023年新高考资料_备战2023年高考数学抢分秘籍(新高考专用)
秘籍12导数小题归类(9大题型)(解析版)_2.2025数学总复习_2023年新高考资料_备战2023年高考数学抢分秘籍(新高考专用)
秘籍12导数小题归类(9大题型)(解析版)_2.2025数学总复习_2023年新高考资料_备战2023年高考数学抢分秘籍(新高考专用)
秘籍12导数小题归类(9大题型)(解析版)_2.2025数学总复习_2023年新高考资料_备战2023年高考数学抢分秘籍(新高考专用)
秘籍12导数小题归类(9大题型)(解析版)_2.2025数学总复习_2023年新高考资料_备战2023年高考数学抢分秘籍(新高考专用)
秘籍12导数小题归类(9大题型)(解析版)_2.2025数学总复习_2023年新高考资料_备战2023年高考数学抢分秘籍(新高考专用)
秘籍12导数小题归类(9大题型)(解析版)_2.2025数学总复习_2023年新高考资料_备战2023年高考数学抢分秘籍(新高考专用)
秘籍12导数小题归类(9大题型)(解析版)_2.2025数学总复习_2023年新高考资料_备战2023年高考数学抢分秘籍(新高考专用)
秘籍12导数小题归类(9大题型)(解析版)_2.2025数学总复习_2023年新高考资料_备战2023年高考数学抢分秘籍(新高考专用)
秘籍12导数小题归类(9大题型)(解析版)_2.2025数学总复习_2023年新高考资料_备战2023年高考数学抢分秘籍(新高考专用)
秘籍12导数小题归类(9大题型)(解析版)_2.2025数学总复习_2023年新高考资料_备战2023年高考数学抢分秘籍(新高考专用)
秘籍12导数小题归类(9大题型)(解析版)_2.2025数学总复习_2023年新高考资料_备战2023年高考数学抢分秘籍(新高考专用)
秘籍12导数小题归类(9大题型)(解析版)_2.2025数学总复习_2023年新高考资料_备战2023年高考数学抢分秘籍(新高考专用)

文档信息

文档格式
docx
文档大小
4.298 MB
文档页数
78 页
上传时间
2026-03-22 18:33:54

文档内容

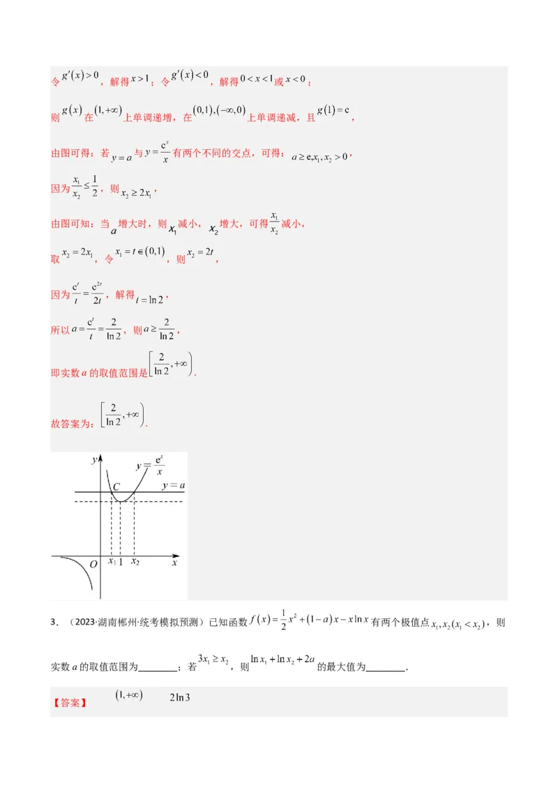
秘籍 12 导数小题归类 概率预测 ☆ ☆ ☆ ☆ ☆ 题型预测 选择题、填空题☆ ☆ ☆ ☆ ☆ 考向预测 同构式求解参数取值范围、恒成立问题 导数一直是压轴题不可撼动的题型,这里的题型很多,结合的内容也偏多,比如常出现的比较大小和 恒成立问题等都结合着构造函数的思想,而如何构造就需要学生对出题人的出题思路再根据构造函数的思 维从而进行推理,是不简单的知识点。 【题型一】 公切线求参 (1)以曲线上的点(x,f(x))为切点的切线方程的求解步骤: 0 0 ①求出函数f(x)的导数f′(x); ②求切线的斜率f′(x); 0 ③写出切线方程y-f(x)=f′(x)(x-x),并化简. 0 0 0 (2)如果已知点(x ,y)不在曲线上,则设出切点(x ,y),解方程组 得切点(x ,y),进而确 1 1 0 0 0 0 定切线方程. 1.(2023·浙江·统考二模)与曲线 和 都相切的直线方程为__________. 【答案】 【详解】设直线与曲线 相切于点 , 因为 ,所以该直线的方程为 ,即 , 设直线与曲线 相切于点 , 因为 ,所以该直线的方程为 ,即 ,所以 ,解得 , 所以该直线的方程为 , 故答案为: . 2.(2023·湖南长沙·湖南师大附中校考模拟预测)若曲线 和曲线 恰好存在 两条公切线,则实数a的取值范围为__________. 【答案】 【详解】由题意得 , 设与曲线 相切的切点为 ,与曲线 相切的切点为 , 则切线方程为 ,即 , ,即 , 由于两切线为同一直线,所以 ,得 . 令 ,则 , 当 时, , 在 单调递减, 当 时, , 在 单调递增. 即有 处 取得极小值,也为最小值,且为 . 又两曲线恰好存在两条公切线,即 有两解, 结合当 时, 趋近于0, 趋于负无穷小,故 趋近于正无穷大, 当 时, 趋近于正无穷大,且增加幅度远大于 的增加幅度,故 趋近于正无穷大,由此结合图像可得a的范围是 , 故答案为: 3.(2023·山东日照·统考二模)已知曲线 与 的两条公切线的夹角余弦值为 ,则 _________. 【答案】 【详解】曲线 与 互为反函数,图象关于 对称,如图所示, 由题意可知, , 所以 , 解得 或 , 因为 为锐角, 所以 由对称性,不妨取直线 进行研究,则直线 的倾斜角为 , ,设切点 的横坐标为 ,切点 的横坐标为 ,则 , , , 所以 , 所以直线 的方程为 即 , 所以 , 所以直线 的方程为 即 所以 即 所以 即 , 所以 ,即 ,于是有 , 所以 . 故答案为: . 1.(2023·湖南衡阳·校联考模拟预测)若曲线 与 有三条公切线,则 的取值范围 为( ) A. B. C. D. 【答案】A 【详解】设公切线为 是 与 的切点,由 ,得 ,设 是 与 的切点,由 ,得 , 所以 的方程为 , 因为 ,整理得 , 同理 , 因为 ,整理得 , 依题意两条直线重合,可得 , 消去 ,得 , 由题意此方程有三个不等实根,设 , 即直线 与曲线 有三个不同的交点, 因为 ,令 ,则 , 当 或 时, ;当 时, , 所以 有极小值为 , 有极大值为 , 因为 , , ,所以 , 当 趋近于 时, 趋近于0;当 趋近于 时, 趋近于 , 故 的图象简单表示为下图:所以当 ,即 时,直线 与曲线 有三个交点. 故选:A. 2.(2023·湖南郴州·统考模拟预测)定义:若直线l与函数 , 的图象都相切,则称直线l 为函数 和 的公切线.若函数 和 有且仅有一条公切线,则实 数a的值为( ) A.e B. C. D. 【答案】C 【详解】设直线与 的切点为 , 因为 ,根据导数的几何意义可知该直线的斜率为 , 即该直线的方程为 ,即 . 设直线与 的切点为 , 因为 ,根据导数的几何意义可知该直线的斜率为 , 即该直线的方程为 ,即 . 因为函数 和 有且只有一条公切线, 所以有 ,即 有唯一实根. 令 ,则 . 解 ,可得 . 当 时, ,所以 在 上单调递增; 当 时, ,所以 在 上单调递减. 所以 在 处取得最大值 . 当 时, , ,函数 图象如图所示, 因为 , 有唯一实根,所以只有 . 故选:C 3.(2023·江西上饶·统考二模)若曲线 与曲线 有公切线,则实数a的取值范围 ( ) A. B. C. D. 【答案】D【详解】设 是曲线 的切点,设 是曲线 的切点, 对于曲线 ,其导数为 ,对于曲线 ,其导数为 , 所以切线方程分别为: , ,两切线重合, 对照斜率和纵截距可得: ,解得 ( ),令 ( ), ,得: , 当 时, , 是减函数, 当 时, , 是增函数, ∴ 且当x趋于 时,, 趋于 ;当 趋于 时, 趋于 ; ∴ ,∴ ; 故选:D. 【题型二】 “过点”切线条数 导数运算及切线的理解应注意的问题: 一是利用公式求导时要特别注意除法公式中分子的符号,防止与乘法公式混淆. 二是直线与曲线公共点的个数不是切线的本质,直线与曲线只有一个公共点,直线不一定是曲线的切线, 同样,直线是曲线的切线,则直线与曲线可能有两个或两个以上的公共点. 1.(2023·河南周口·统考模拟预测)若曲线 有三条过点 的切线,则实数 的取值范围为 ( )A. B. C. D. 【答案】B 【详解】设该切线的切点为 ,则切线的斜率为 , 所以切线方程为 , 又切线过点 ,则 ,整理得 . 要使过点 的切线有3条,需方程 有3个不同的解, 即函数 图象与直线 在R上有3个交点, 设 ,则 , 令 ,令 或 , 所以函数 在 上单调递增,在 和 上单调递减, 且极小值、极大值分别为 ,如图, 由图可知,当 时,函数 图象与直线 在R上有3个交点, 即过点 的切线有3条. 所以实数a的取值范围为 . 故选:B. 2.(2023·吉林通化·梅河口市第五中学校考模拟预测)若过点 可作曲线 的两条切线,则点可以是( ) A. B. C. D. 【答案】C 【详解】设切点坐标为 ,对函数 求导可得 , 所以,切线斜率为 , 所以,曲线 在点 处的切线方程为 , 即 , 将点 的坐标代入切线方程可得 ,即 , 因为过点 可作曲线 的两条切线,则关于 的方程 有两个不等的实数解, 所以, ,即 ,即 , 对于点 , ,A不满足; 对于点 , ,B不满足; 对于点 , ,C满足; 对于点 , ,D不满足. 故选:C. 3.(2023·陕西西安·统考一模)过点 可作三条直线与曲线 相切,则实数a的取值范 围为( ) A. B. C. D. 【答案】D 【详解】 , ,设切点为 ,则切线方程为 , 切线过点 , ,整理得到 , 方程有三个不等根. 令 ,则 ,令 ,则 或 , 当 或 时, ,函数单调递增; 当 时, ,函数单调递减, 极大值 ,极小值 ,函数 与 有三个交点, 则 , 的取值范围为 . 故选:D 1.(2023·江苏泰州·统考一模)若过点 可以作曲线 的两条切线,切点分别为 ,则 的取值范围是( ) A. B. C. D. 【答案】D 【详解】设切点 , 则切线方程为 , 又切线过 ,则 , 有两个不相等实根 , 其中 或 ,令 或 , 当 时, ,当 时, , 所以函数 在 上递增,在 上递减, , , 当 时, ,当 时, , 所以 , 即 . 故选:D. 2.(2022·河南濮阳·统考模拟预测)下列条件是“过点 可以作两条与曲线 相切的直线”的充 分条件的是( ) A. B. C. D. 【答案】C 【详解】 由题知点在直线 上运动, 与 的交点为 ,由图像可知. 要使过点 有两条与曲线 相切的直线,则点 只需要在 点的右侧 结合选项可知 为其充分条件 故选:C. 3.(2023·广东·统考二模)已知 ,若过点 恰能作两条直线与曲线 相切,且这两条切线关于直线 对称,则 的一个可能值为______. 【答案】 (或 或 或 ) 【详解】设切点坐标为 ,因为 ,则 ,切线斜率为 , 所以,曲线 在 处的切线方程为 将点 的坐标代入切线方程可得 , 设过点 且与曲线 相切的切线的切点的横坐标分别为 、 ,且 , 因为这两条切线关于直线 对称,则 , 所以, , 易知 、 关于 的方程 的两个根,设该方程的第三个根为 , 则 , 则 , 所以, , 因为过点 恰能作两条直线与曲线 相切, 则关于 的方程 只有两个不等的实根,不妨设 , 则 ,若 ,则 ,可得 ,解得 ; 若 ,则 ,所以, ,可得 , , 所以, ,解得 . 综上所述, 或 . 故答案为: (或 或 或 ). 【题型三】 切线法解题 涉及到交点或者零点的小题题型,函数图像通过求导,大多数属于凸凹型函数,则可以用切线分隔(分 界)思维来求解。切线,多涉及到“过点”型切线, 1.已知函数 , .若 的图象与 轴有且仅有两个交点,则实数 的取值范 围是( ) A. B. C. D. 【答案】D 【详解】 , 的图象与 轴有且仅有两个交点, 等价于函数 与 的图象在 上有且仅有两个交点. 当直线 与 的图象相切时, 令 ,得 ,即切点为 ,此时 ; 当 的图象过点 时, , 所以要使函数 与 的图象在 上有且仅有两个交点,则需 . 故选:D. 2..已知 , ,直线 与曲线 相切,则 的最小值为___________. 【答案】8 【详解】设直线 与曲线 相切于点 由函数 的导函数为 ,则 解得 所以 ,即 则 当且仅当 ,即 时取得等号. 故答案为:8 3..对任意的 ,若关于 的不等式 恒成立,则 的最小值为__________. 【答案】 ##0.5 【详解】因为关于 的不等式 恒成立, 所以 的图象在函数 的图象上方相切. 当m>0时, 的图象与x轴的交点在x轴的负半轴上.由图可知当正数m最小时,直线 与 在 内相切. 对函数 求导得到 .令 ,解得x=0.所以 ,所以切点的坐标为 , 把点 代入 得: .故答案为: . 1.(2023·江苏南通·江苏省如皋中学校考模拟预测)已知直线 与函数 的图象恰有两个切点,设满足条件的k所有可能取值中最大的两个值分别为 和 ,且 ,则( ) A. B. C. D. 【答案】C 【详解】 对于任意 , , , 的范围恒定, 只需考虑 的情况, 设 对应的切点为 , , , 设 对应的切点为 , , , , , , 只需考虑 , ,其中 的情况,则 , ,其中 , ; 又 , , , ; 令 ,则 , 在 上单调递增,又 , ,又 , , ; 令 ,则 , 令 ,则 , 在 上单调递增, , 即 , 在 上单调递减, , , ;综上所述: . 故选:C. 2.(2023·全国·高三专题练习)已知函数 ( 为自然对数的底数),则函数 的零点个数为( ) A.3 B.5 C.7 D.9 【答案】C 【详解】设 ,令 可得: , 对于 , ,故 在 处切线的斜率值为 , 设 与 相切于点 , 切线斜率 ,则切线方程为: , 即 ,解得: ; 由于 ,故作出 与 图象如下图所示, 与 有四个不同交点, 即 与 有四个不同交点,设三个交点为 ,由图象可知: , 作出函数 的图象如图, 由此可知 与 无交点,与 有三个不同交点,与 各有两个不同交点, 的零点个数为7个, 故选:C 3.(2023·陕西咸阳·统考三模)已知抛物线 ,把该抛物线绕其对称轴旋转一周得到一个几何 体,在该几何体中放置一个小球,若使得小球始终与该几何体的底部相接,则小球体积的最大值为( ) A. B. C. D. 【答案】C 【详解】要使球的体积取到最大值,球需接触到抛物线旋转所形成的的曲面上, 设此时球与平面 的交点为 ,球心为 ,半径为r, 则 , , 设抛物线在点P处的切线为l,则 ,且 到直线l的距离为r, ,所以直线l方程为 , 即 ,所以点 到直线的距离为 ①,又 ,即 , 整理得 ,代入①式, 得 , 因为球始终与该几何体的底部相接,所以点P为原点,即 ,此时 , 所以球的最大体积为 . 故选:C. 【题型四】 恒成立求参 不等式的恒成立求参数问题, 不等式恒成立问题常见方法: ①分离参数 恒成立( 即可)或 恒成立( 即可); ②数形结合( 图像在 上方即可); ③讨论最值 或 恒成立. 涉及到不等式整数解的问题时,要充分利用导数研究函数单调性,结合单调性考查整数解相邻整数点函数 值的符号问题,列不等式求解,考查运算能力与分析问题的能力. 在研究函数时用导数求极值研究极值时,无法正常求出极值点,可设出极值点构造等式或者方程作分析, 进行合适的等量代换或者合适的换元消元消参,考查了分析推理能力,运算能力,综合应用能力,难度很 大.1.(2023·江西·校联考二模)已知函数 ,当 时, 恒成立,则实 数 的取值范围是( ) A. B. C. D. 【答案】D 【详解】当 时,由 可得 , 令 ,其中 , 则 , 令 ,其中 , 则 ,所以,函数 在 上为增函数, 因为 , , 所以,存在 ,使得 , 即 , 令 ,其中 ,则 , 所以,函数 在 上单调递增, 因为 ,则 ,则 , 由 可得 ,则 , 即 ,可得 ,则 , 且当 时, ,即 ,此时函数 单调递减,当 时, ,即 ,此时函数 单调递增, 所以, ,所以, , 故选:D. 2.(2023·全国·模拟预测)已知当 时,关于 的不等式 恒成立,则实数 的值不可能是 ( ) A.0 B.1 C.2 D.3 【答案】D 【详解】当 时,关于 的不等式 恒成立,即 恒成立, 令 ,则 , 当 ,即 时,由 ,得 ,所以 ,所以 在 上为增函数,所以 ,符合题意; 当 ,即 时,由 ,得 ,由 ,得 , 所以 在 上为减函数,在 上为增函数, 所以 , 所以只需 即可, 设 ,则 , 当 时, ,所以 ,所以 在 上为减函数, 因为 , ,所以存在 ,使得 , 当 时, ,当 时, , 要使 ,只需 ,结合选项可知,实数 的值不可能是 . 故选:D 3.(2023·全国·模拟预测)已知函数 满足 ,且 ( 为 的导函数),若对于任意的 ,不等式 恒成立,则 的取值范围为( ) A. B. C. D. 【答案】B 【详解】因为 ,可得 的图象关于直线 对称. 又因为 ,所以当 时, , 单调递减; 当 时, , 单调递增. 因为 的图象是由 的图象向右平移2个单位长度得到的, 所以 在 上单调递增,在 上单调递减, 由 ,可得 ,即 , 不等号两边同时平方并整理得 , 即 , 所以对于任意的 ,不等式 恒成立, 即对于任意的 ,不等式 恒成立, ①当 ,即 时,由 ,可得 或 ,若对于任意的 ,不等式 恒成立, 则 或 ,结合 ,得 或 ;②当 ,即 时,由 ,可得 或 ,若对于任意的 ,不等式 恒成立, 则 或 ,结合 ,得 . 综上可得,实数 的取值范围是 . 故选:B. 1.(2023·河南·校联考模拟预测)若函数 在 上单调递增,则实数m的取值 范围为( ) A. B. C. D. 【答案】D 【详解】因为 ,则 , 由题意可得 在 上恒成立, 构建 ,则 , 注意到 ,则 ,解得 , 若 ,则 , 当且仅当 ,即 时,等号成立, 若 ,因为 ,则 ,可得 ; 若 ,因为 ,则 , 可得 ; 综上所述:当 时, 在 上恒成立, 则 在 上单调递增,可得 ,符合题意; 故实数m的取值范围为 . 故选:D. 2.(2023·云南·校联考二模)已知 ,使 恒成立的有序数对 有( ) A.2个 B.4个 C.6个 D.8个 【答案】B 【详解】由题得函数定义域为 , 要想 恒成立,即 恒成立, 只需 恒成立, 只需 恒成立, 设 , 所以当 时,则 ,使 恒成立的b可取1; 所以当 ,则 ,使 恒成立的b可取1,2,3, 所以 一共有 共4种. 故选:B.3.(2023·福建福州·统考模拟预测)已知 ,函数 , .若 ,则 的取值范围是( ) A. B. C. D. 【答案】C 【详解】 ,即 , 令 , , 令 , 则 ,所以函数 为增函数,即函数 为增函数, 又 , 则当 时, ,当 时, , 所以函数 在 上单调递减,在 上单调递增, 所以 , 所以 , 所以 的取值范围是 . 故选:C.【题型五】 能成立求参 对于利用导数研究函数的综合问题的求解策略: 1、通常要构造新函数,利用导数研究函数的单调性,求出最值,从而求出参数的取值范围; 2、利用可分离变量,构造新函数,直接把问题转化为函数的最值问题. 3、根据恒成立或有解求解参数的取值时,一般涉及分离参数法,但压轴试题中很少碰到分离参数后构造 的新函数能直接求出最值点的情况,进行求解,若参变分离不易求解问题,就要考虑利用分类讨论法和放 缩法,注意恒成立与存在性问题的区别. 1.(2023·河南开封·开封高中校考一模)若存在 ,使得关于 的不等式 成立,则实 数 的最小值为( ) A.2 B. C. D. 【答案】D 【详解】由 两边取对数可得 ①, 令 则 ,因为 ,所以 , 则①可转化得 , 因为 , 因为存在 ,使得关于 的不等式 成立, 所以存在 , 成立,故求 的最小值即可, 令 ,令 , 令 , , 所以 在 上单调递减,所以 , ,所以 在 上单调递减, 所以 在 上单调递减, , ,所以实数 的最小值为 故选:D 2.(2023·河南开封·开封高中校考模拟预测)已知函数 ,若 ,使得 成立,则 的取值范围为( ) A. B. C. D. 【答案】B 【详解】由 ,使得 成立, 则函数 的值域包含 的值域. 当 时,函数 开口向上,对称轴 , 所以 在 上单调递减,且 ,所以 ; 当 时, ,则 , ①若 ,当 时 ,当 时 , 所以 在 上单调递减,在 上单调递增, 所以 ,即 , 所以 ,即 ,解得 ; ②若 ,则 , 在 上单调递增, 此时 值域为 ,符合题意. ③当 时, 的值域为 ,不符合题意. 综上所述,实数 的取值范围为 . 故选:B. 3.(2023·河南·统考二模)已知函数 ,若曲线 上存在点 使得 ,则a的取值范围是_______. 【答案】 【详解】若曲线 上存在点 ,故 , 设 ,则 ,即 都在 图象上,不难发现该两点关于 对称,故 有解 有解,令 , ,即 在 上单调递增, 所以 故答案为: 1.(2023·贵州·校联考二模)已知函数 , ,对任意 , ,都 有不等式 成立,则a的取值范围是( ) A. B. C. D. 【答案】C 【详解】对任意 , ,都有不等式 成立 , , , ,则 在区间 上单调递增, ∴ , , , ,则 在 上单调递增, , ,则 在 上单调递减, , ,故 , 综上, . 故选:C 2.(2023·四川广安·统考二模)若存在 ,使不等式 成立,则 的取值范围是( ) A. B. C. D. 【答案】D 【详解】 令 ,即 , 因为 ,所以 , 令 . 则原问题等价于存在 ,使得 成立. 令 ,即 解得 , 令 ,即 解得 , 所以 在 上单调递增,在 上单调递减. 又因为 而 , 当 时, . 若存在 ,使得 成立.只需 且 ,解得 且 , 所以 . 故 的取值范围为 . 故选:D 3.(2023·江西·校联考模拟预测)已知 有解,则实数a的取值范围为( ) A. B. C. D. 【答案】A 【详解】不等式 可化为 , , 令 ,则 且 , 由已知不等式 在 上有解, 所以 在 上有解. 令 ,则 , 当 时, , 在 上单调递减; 当 时, , 在 单调递增, 所以 ,所以 ,所以a的取值范围为 , 故选:A. 【题型六】 零点与隐零点 (多选)1.(2023·广东茂名·统考二模)已知 ,若关于 的方程 恰好有6个不同的实数解,则 的取值可以是( ) A. B. C. D. 【答案】AB 【详解】记 ,则 所以 在 单调增,在 单调减 所以 的大致图像如下所示: 令 ,所以关于 的方程 有6个不同实根等价于关于 方程 在 内有2个不等实根.即 与 在 内有2个不同交点 又 的大致图像如下所示: 又 , 所以 . 对照四个选项,AB符合题意. 故选:AB 2.(2023·云南曲靖·统考模拟预测)已知函数 的导函数为 ,且对任意的实数 都有 ( 是自然对数的底数),且 ,若关于 的方程 恰有两个实数 根,则实数 的取值范围是( ) A. B. C. D. 【答案】B 【详解】由题意可得, , 令 ,则 ,故 ; 又 ,所以 ,故 ,所以 , 当 或 时, ,函数分别单调递减;当 时, ,函数单调递增,故当 时,函数取得极大值 ,当 时,函数取得极小值 , 时 趋于 时 趋于0,故 轴是图像的水平渐近线,其图像如图所示, 结合函数的图像,要使关于 的方程 恰有两个实数根, 实数 的取值范围是 ; 故选:B. 3.(2023·广东湛江·统考二模)对于两个函数 与 ,若这两个函 数值相等时对应的自变量分别为 ,则 的最小值为( ) A.-1 B. C. D. 【答案】C 【详解】设 ,则 , , 由 ,得 ,则 , , 设函数 , , 则 , 因为函数 在 上都是增函数,所以 在 上为增函数, 又 , 所以当 时, , 单调递减,当 时, , 单调递增, 故 , 即 的最小值为 . 故选:C. 1.(2023·河北衡水·模拟预测)已知函数 有两个极值点 ,且 , 则实数 的取值范围为_________. 【答案】 【详解】原题等价于 是导函数 的两个零点, , 即是方程 的两个不相等的实数根, 显然不符合方程 0, 所以 和 是方程 的两个根, 即函数 的图像与直线 有两个不同的交点, 由于 ,所以当 或 时, ;当 时, ,故 的减区间为 和 ,增区间为 , 当x趋于 时, 趋于0,且 ,当 且x趋于0时, 趋于 ,当 时,x趋于0时, 趋于 ,在 处, 取得极小值 ;当 时,x趋于 时, 趋于 , 作出 的大致图像如下图所示, 由图可知, ,且 , 因为 ,取 ,并令 ,则 , 单调递增, ,解 得 ,此时 ,即 , 故答案为: . 2.(2023·陕西西安·长安一中校考二模)若函数 在 和 ,两处取得极值,且 ,则实数a的取值范围是__________. 【答案】 【详解】因为 ,则 , 令 ,且 ,整理得 , 原题意等价于 与 有两个不同的交点, 构建 ,则 ,令 ,解得 ;令 ,解得 或 ; 则 在 上单调递增,在 上单调递减,且 , 由图可得:若 与 有两个不同的交点,可得: , 因为 ,则 , 由图可知:当 增大时,则 减小, 增大,可得 减小, 取 ,令 ,则 , 因为 ,解得 , 所以 ,则 , 即实数a的取值范围是 . 故答案为: . 3.(2023·湖南郴州·统考模拟预测)已知函数 有两个极值点 ,则 实数a的取值范围为________;若 ,则 的最大值为________. 【答案】【详解】 的定义域为 , , 由已知得 是 的两个变号零点, 令 ,则 , 当 时, , 单调递减,当 时, , 单调递增, 所以函数 在 上单调递减,在 上单调递增, 当 时, , , , 当 时, , , , 如图: 由图可知,只需 即可,所以 , 即实数a的取值范围是 ; 若 ,又 ,则令 , 由已知 ,则 , 则 ,则 , , 所以 , 令 ,则 , 令 ,则 , 所以函数 在 上递增,又因为 ,所以当 时, ,即 , 所以函数 在 上递增,所以 , 所以 的最大值为 . 【题型七】 双变量问题 一般地,若 时,涉及到双变量的不等式的证明,函数的最值问题可以使用比值换元,令 ,将问题转化为关于 的函数,利用导数进行求解. 1.(2023·湖北武汉·统考二模)已知直线 与函数 的图象恰有两个切点, 设满足条件的 所有可能取值中最大的两个值分别为 和 ,且 ,则( ) A. B. C. D. 【答案】B 【详解】 对于任意 , , , 的范围恒定, 只需考虑 的情况, 设 对应的切点为 , , , 设 对应的切点为 , , , , , , 只需考虑 , ,其中 的情况, 则 ,,其中 , ; 又 , , , ; 令 ,则 , 在 上单调递增,又 , ,又 , , ; 令 ,则 , 令 ,则 , 在 上单调递增, , 即 , 在 上单调递减, , , ; 综上所述: .故选:B. 2.(2022·四川成都·统考一模)已知 ,且 ,则下列说法正确的有( ) ① ; ② ;③ ; ④ . A.①②③ B.②③④ C.②④ D.③④ 【答案】B 【详解】令 ,则 , 当 时, ;当 时, ; 故 在 上为增函数,在 上为减函数, 而 , ,故 , 而 ,故 ,故①错误. 又 ,故 , 故②正确, 此时 ,故④正确. 设 , 则 (不恒为零), 故 在 上为增函数, 故 ,必有 即 , 所以 ,即 , 由 的单调性可得 即 ,故③成立. 故选:B. 【点睛】思路点睛:导数背景下不等关系的讨论,注意根据等式或不等式的关系构建新函数,并结合单调 性来比较大小关系,在不等式关系的讨论中,注意利用极值点偏移来处理大小关系.(多选)3.(2022·广东广州·统考一模)已知 ,则( ) A. B. C. D. 【答案】BCD 【详解】对于A选项,当 时, . 设 ,其中 . 则 ,故 在 上单调递增. 又 , ,则 ,使 . 即存在 , ,使 . 但此时, .故A错误. 对于B选项, .设 ,其中 .则 . 得 在 上单调递增. 注意到 . 则 .又 在 上递增, 则有 .故B正确.对于C选项,由B选项可知 ,则由 , 有 .故C正确. 对于D选项,因 , , 则 .设 ,其中 . 则 . 设 ,其中 .则 , 得 在 上单调递增. (1)若 ,注意到 , ,则 ,使 .即 , 则 ,设 ,则 , 得 在 上单调递减,则 . (2)当 , ,注意到 . 则 ,此时 . (3)当 ,注意到 则 ,又由(1)分析可知 在 上单调递增. 则 . 综上,有 .故D正确. 故选:BCD(多选)1.(2022·全国·模拟预测)已知方程 有两个不同的根 , ,则下列 结论一定正确的是( ) A. B. C. D. 【答案】AC 【详解】A,B选项:方程 等价于方程 , 构造函数 ,则 , 当 时, , 单调递减, 当 时, , 单调递增, 则 ,因此只需满足 ,即 . 当 时, , , 由以上可知,当 时, 分别在 , 上各有一个零点,(零点存在定理的应用) 则方程 有两个不同的根 , ,因此选项A正确,选项B错误; C选项:构造函数 ,则 , 因此 在 上单调递减,易知 ,假设 ,则 ,即 成立, 又 ,则 ,因此 ,即 ,因此选项C正确; D选项:由 即 ,得 ,不一定成立,故选项D错误.故选:AC (多选)2.(2022·云南·统考模拟预测)函数 ,则下列说法正确的是( ) A. B. C.若 ,x、y均为正数,则 D.若 有两个不相等的实根 ,则 【答案】ABD 【详解】由 得: 令 得, 当x变化时, , 变化如下表: x 0 单调递增 极大值 单调递减 故, 在 上递增,在 上递减, 是极大值也是最大值, 时, 时, ,且 时 , 时, , . 对于A,因为 在 上递减,所以 ,故A对; 对于B,因为 ,且 在 单调递增,所以 ,即 ,所以 ,即 ,故B正确; 对于C,设 ,且x,y均为正数,则 ,,故C错误. 对于D,因为 有两个不相等的零点 不妨设 要证: ,即要证: 在 单调递增,∴只需证: 即: 只需证: 令 ,则 当 时, 在 单调递增 .即: ,故D正确. 故选:ABD. 3.(2023·全国·模拟预测)若对于 , ,使得不等式 恒成立,则实数x的范围为______. 【答案】 . 【详解】 恒成立, 等价于 . 令 , ,则 , 注意到 时, , , 时, .则 在 上单调递减,在 上单调递增,则 . 则 ,则 . 令 , . 当 , ,故 满足条件; 当 ,则 在 上单调递减,故 . 令 , . 则 ,得 在 上单调递增, 时, ,因 此时无最值,且 , . 则 不合题意; 当 , 在 上单调递增,故 . 令 . 则 . 令 , . 则 ,故 在 上单调递减, 则 ,则 在 上单调递增,则 ,则 符合题意. 综上, . 故答案为: . 【题型八】 构造函数求参 1.构造函数法求解函数解析式,利用导数研究函数增减性,常用以下方法: (1)利用含导数方程还原原表达式需要结合导数四则运算特征,如本题中同乘 移项后就得到除法对应导 数公式; (2)利用导数研究函数增减性,如遇导数不能判断正负的情况下,往往需要再次求导,通过二阶导数判断 一阶导数的正负,再通过一阶导数的正负判断原函数的增减. 2.几种导数的常见构造: 对于 ,构造 若遇到 ,构造 对于 ,构造 对于 ,构造 对于 或 ,构造 对于 ,构造 对于 ,构造 1.已知函数 的导函数为 ,任意 均有 ,且 ,若函数 在 上有两个零点,则实数 的取值范围是( ) A. B. C. D. 【答案】D 【详解】解:设函数 ,则 , 因为 ,则 , 设 ,则 ,所以 ,即 , , , 则 在 单调递减,在 单调递增, , 要使函数 有两个零点,等价于曲线 与 有两个交点, ,所以实数 的取值范围为 .故选:D. 2.)若定义域 的函数 满足 且 ,若 恒成立,则m的取 值范围为( ) A. B. C. D. 【答案】D 【详解】函数 满足 , ,则 , 可设 ,c为常数,故 , , ,故 , , , 令 , ,则 , 时, ,故 单调递减; 时, ,故 单调递增, 在 时 取得最小值 , 恒成立, 在 成立,故 在 上递增,又 ,所以不等式 即 ,根据单调性得 ,解得 .故选:D. 3.设奇函数 的定义域为 ,且 的图象是连续不间断, ,有 ,若 ,则 的取值范围是( ). A. B. C. D. 【答案】D 【详解】令 , ,因为 为奇函数,所以 , 则函数 是定义在 上的奇函数,则 , 因为当 时, ,所以 , 则函数 在 上单调递减,则函数 在 上是奇函数且单调递减, 又因为 等价于 ,即 , 所以 ,且 ,所以 .故选:D. 1.(2023·广东深圳·统考二模)已知 , ,且 ,则下列关系式恒成立的 为( ) A. B. C. D. 【答案】A 【详解】构造 , , 则 , 当 时, , , 所以 在 单调递增, 因为 , 当 , 时,则 ,所以 所以 单调递增,所以 ; 当 , 时 ,所以 所以 ,单调递减,所以 . 故选:A 2.(2023·四川乐山·统考三模)已知函数 有两个零点 、 ,函数 有两个零点 、 ,给出下列 个结论:① ;② ;③ ;④ .其中所有正确结论的序号 是( ) A.①② B.②③ C.①②③ D.①②④ 【答案】D 【详解】在同一坐标系作出 与 的图象, 设 在 处的切线方程过原点, , 则曲线 在 处的切线方程为 , 将原点代入切线解得 ,故 在 处的切线方程为 , 有两个零点,则 , 由于 与 , 与 互为反函数, 故 有两个零点,则 , 设函数 与 图象交点坐标分别为 、 ; 与 图象交点坐标分别为 、 .其中点 、 关于直线 对称, 、 关于直线 对称, 则 , ,且 , 对于③,构造函数 ,其中 ,则 , 所以,函数 在 上单调递增,则 , 故当 时, , 构造函数 ,其中 ,则 , 当 时, ,此时函数 单调递增, 当 时, ,此时函数 单调递减, 故当 时, ,即 (当且仅当 时,等号成立), 若 ,则 ,又因为 ,可得 , 所以, ,与④矛盾,③错. 故选:D. 3.(2023·山东日照·统考二模)已知 ,则( ) A. B. C. D. 【答案】A 【详解】令 ,若 ,则 , 若 ,则 ,则函数 在 上单调递减,在 上单调递 增.则 ,即 , . 取 ,则 ,即 .取 ,则 ,即 , . 又 ,令 , 则函数 都在 上单调递增,则 . 所以 时, . . 又函数 在 上单调递增,所以 . 即 , . 故选:A 【题型九】 极值点偏移 1.(2023·湖南长沙·雅礼中学校考一模)已知 , , ,则a,b,c的大小 关系是( ) A. B. C. D. 【答案】D 【详解】要比较 , , 等价于比较 的大小,等价于比较 , 即比较 , 构造函数 , , 令 得 ,令 得 , 所以 在 单调递增, 单调递减. 所以 , 因为 , 所以 最大,即 , , 中 最大, 设 , 结合 的单调性得, , 先证明 ,其中 , 即证 , 令 , ,其中 , 则 , 所以,函数 在 上为增函数,当 时, , 所以,当 时, , 则有 ,由 可知 , 所以 , 因为 ,所以 即 , 因为 , 在 单调递增, 所以 ,即 , 因为 所以 所以 , 即 , 因为 , 在 单调递减. 所以 , 即 ,即 , 综上, . 故选:D 2.(2023·江西·校联考模拟预测)已知 , , , ,则 ( ) A. B. C. D. 【答案】D 【详解】对于A, , ,令 ,则 , 所以 在 单调递减,在 上单调递增,且 ,故 . 令则 ,所以 在 上单调递减,且 , , , , 即 ,故选项A错误; 对于B, , 令 , 则 ,所以 在 单调递增,在 上单调递减, 且 ,故 . 令 所以 在 上单调递减,且 , , , , , ,即 ,故选项B错误; 对于C, , , ,又 在 单调递增, , ,故选项C错误; 对于D,由C可知, , 又 在 单调递减 , ,故选项D正确. 故选:D. 3.(2023·四川成都·成都实外校考模拟预测)已知两个不相等的正实数x,y满足 ,则下列结 论一定正确的是( ) A. B.C. D. 【答案】C 【详解】因为 , , 所以 ,则 ,即 , 令 ,则 , , 当 时, ,则 单调递减; 当 时, ,则 单调递增, 所以 , 对于 ,总有 ,即 在 上单调递增, 故 ,即 在 上恒成立, 所以对于 ,对于任意 ,在 上取 , 则 , 所以当 且 趋向于0时, 趋向于无穷大, 当 趋向于无穷大时, 趋向于无穷大, 趋向于0,故 趋向于无穷大, 所以 的大致图像如图所示: .对于AD,因为 , ,不妨设 , 由图象可知, ,故 ,故AD错误; 对于B,假设 成立,取 , 则 ,显然不满足 ,故B错误; 对于C,令 ,又 , 则 , 所以 在 上单调递增, 又 ,则 ,即 , 又 ,则 , 因为 ,所以 ,又 , 在 上单调递增, 所以 ,即 ,故C正确. 故选:C. (多选)1.(2022·河北衡水·衡水市第二中学校考一模)直线 : 与 的图象交于 、 两点 , 在A、B两点的切线交于 , 的中点为 ,则( ) A. B.点 的横坐标大于1 C. D. 的斜率大于0 【答案】BC【详解】 对A,因为直线 与曲线 交于 、 两点 , 有两个不同正根, 即直线 与曲线 有两个不同的交点. 在 上单调递减,在 单调递增, 且 , ,故A错误. 对B,由题意得, ,设 令 在 单调递减. , 在 单调递减, . ,又 , . 的方程: , 的方程: , 联立可解得 , 故选项B正确. 对C,设 , , ,且 , ,设 , , , , , 是 的两个根, 是方程 的两根, ,所以C正确. 对D, ,, 可以利用对数均值不等式证明如下: 对数均值不等式: , , , , , , ,即 <1, , . 所以D错误. 故选:BC (多选)2.(2023·河北·河北衡水中学校考模拟预测)若当实数a变化时,直线 恒与定曲线 相切,且 ,则( ) A. 有一个极大值点 B. C. D. 【答案】AD 【详解】因为直线 恒与定曲线 相切, 则曲线 为坐标平面上挖去诸切线上的点后余下的所有点形成的边界(边界为虚边界),而余下的 不在切线上,故 无解, 设 ,则 , 若 ,则 ,当 时, 无解,此时边界点为若 ,则 ,故 在 上为增函数, 而当 时, , 时, , 故无论 取何值,从而 总有解. 若 ,则 时, , , , 故 在 上为减函数,在 上为增函数, 故 , 若 ,则 无解,故 即 , 边界对应的函数为 , . 若 ,因此 时, ,故此时 总有解. 综上, ,故C错误. 当 时, , 当 时, ;当 时, , 故 在 上为增函数,在 为减函数, 故 有唯一的极大值点 ,且极大值为 ,故A正确. 又 的图象如图所示:当 时,由 可得 或 ,即 或 , 有两个不同的解,故B错误. 若 ,则由图象可得 ,不妨设 , 当 时, ,此时 成立; 当 时,令 ,其中 , 则 , 因为 ,故 ,故 , 所以 在 上为减函数,故 , 所以 ,故 , 故 ,而 , 由 的单调性可得 即 ,综上,D成立, 故选:AD. (多选)3.(2022·重庆江北·校考一模)已知函数 则下列结论正确的有( ) A.当 时, 是 的极值点 B.当 时, 恒成立 C.当 时, 有2个零点 D.若 是关于x的方程 的2个不等实数根,则 【答案】ABD 【详解】对于A,当 时, ,则 , 令 ,得 ;令 ,得 ; 所以 在 上单调递增,在 上单调递减, 所以 是 的极大值点,故A正确; 对于B,令 ,得 , 令 ,则 , 令 ,解得 , 故当 , , 单调递增;当 , , 单调递减; 所以 , 因为 ,所以 ,故 ,整理得 ,即 恒成立,故B正确;对于C,令 ,则 ,令 ,解得 ,故 只有1个零点,故C错误; 对于D,因为 是关于 的方程 的2个不等实数根, 所以 ,即 , 所以问题等价于 有两个零点 ,证明 , 不妨设 ,则由 得到 , 要证 ,只需要证明 , 即只需证明: , 只需证明: ,即 , 令 , 只需证明: , 令 , 则 ,即 在 上单调递增, 又 ,所以 ,即 恒成立, 综上所述,原不等式成立,即 成立,故D正确. 故选:ABD. 高考模拟练习1.(2023·浙江台州·统考二模)设函数 ,则( ) A.函数 有且仅有一个零点 B.对 , ,函数 有且仅有一个零点 C. , 恒成立 D. , 恒成立 【答案】D 【详解】对于A, , 则 , 令 , 令 ,则 , 令 ,则 , 当 时, ,函数 递减, 当 时, ,函数 递增, 所以 , 因为 ,所以 , 所以 ,即 , 所以 ,所以 ,所以 ,则 , 所以函数 在 上有零点, 所以 在 上有无数个零点, 即函数 在 上有无数个零点,故A错误; 对于B, , 又 ,所以 , 所以存在 ,使得函数 有两个交点, 即存在 ,使得函数 有 个零点,故B错误; 对于C,当 时, ,则 , 所以当 时, , 所以不存在 , 恒成立,故C错误; 对于D,取 , , 令 ,则 ,所以函数 在 上递增, 所以 , 即 ,所以 , 所以 , 即 , 故可取 , 恒成立,故D正确. 故选:D. 2.(2023·江苏南通·三模)已知宽为 的走廊与另外一条走廊垂直相连,若长为 的细杆能水平地通过拐 角,则另外一条走廊的宽度至少是( ). A. B. C. D. 【答案】D 【详解】由题意如图,设细杆与另外一条走廊一边的夹角为 , 设另一走廊的宽度为 ,则 , , 所以 , 所以 , 令 ,又 ,所以 在 上单调递增, 令 , 且 ,所以 在 上单调递减, 所以 , 故另外一条走廊的宽度至少是 故选:D. 3.(2023·四川成都·成都七中校考模拟预测)函数 与其导函数为 ,满足 ,其中 ;若 , ,其中 ,则下列不等式 一定成立的有( )个 ① ② ③ ④ A.1 B.2 C.3 D.4 【答案】A 【详解】设 ,则 , 所以 在 上单调递减,因为 ,所以 , ,因为 ,所以 ,所以 ,即 ,所以 , 由 得 ,虽说 ,但 、 的符号不确定,则①不正确; 由 得 , 又 ,所以 ,所以 , 又 ,所以 ,所以②不正确; 由 得 ,所以 , 即 ,所以 ,所以③正确; 由 得 ,即 ,所以 , 所以 , 所以 , 所以 ,即 ,所以④不正确. 故选:A 4.(2023·重庆·统考二模)在数学王国中有许多例如 , 等美妙的常数,我们记常数 为 的零点, 若曲线 与 存在公切线,则实数 的取值范围是( ) A. B. C. D. 【答案】A【详解】由题意可知,曲线 与 存在公切线,设切点分别为 , ,则公切 线为 ,即 , 而切线斜率 , , 则 ,而点 在公切线上,故代入切线方程得, ,化简得 ,其中 , 令 ,其中 , ,可知 在 上单调递减,而 为 的零点, 当 时, , 单调递增;当 时, , 单调递减; 故 ,即 故选:A. 5.(2023·河南郑州·统考二模) 和e是数学上两个神奇的无理数. 产生于圆周,在数学中无处不在, 时至今日,科学家借助于超级计算机依然进行 的计算.而当涉及到增长时,e就会出现,无论是人口、 经济还是其它的自然数量,它们的增长总是不可避免地涉及到e.已知 , , , ,则a,b,c,d的大小关系是( ) A. B. C. D. 【答案】A 【详解】依题意, , , , 令函数 ,求导得 ,函数 在 上单调递增, 则当 时, ,即 ,而 ,因此 ,即 ; 令函数 ,求导得 ,函数 在 上单调递减, 则当 时, ,即 ,因此 ,即 ;令函数 ,求导得 ,函数 在 上单调递增, 则当 时, ,即 , 因此 ,即 , 所以 . 故选:A 6.(2023·河南·校联考二模)已知函数 ,其中 ,若函数满足以下条件: ①函数 在区间 上是单调函数;② 对任意 恒成立; ③经过点 的任意直线与函数 恒有交点,则 的取值范围是( ) A. B. C. D. 【答案】A 【详解】由函数 可知,函数的周期为 , 由条件② 对任意 恒成立,可知 是函数的一条对称轴, 结合条件①函数 在区间 上是单调函数,则有 ,又 ,解得 ,即 , 又因为 ,故 ,解得 ,又 , 从而 或 .当 时, ;当 时, , 由② 对任意 恒成立, ,则 ,由③经过点 的任意直线与函数 恒有交点,得 ,解得 ,易知 , , , 此时由 ,可得 ,从而 , 由 或 ,得 或 , 所以 或 , 故选:A. 7.(2023·河南·洛阳市第三中学校联考模拟预测)已知曲线 ,过曲线上A,B两点分 别作曲线的切线交于点P,AP⊥BP.记A,B两点的横坐标分别为 ,则 ( ) A. B.1 C. D.2 【答案】B 【详解】当 时, ,当 时, , 依题意,曲线 在点A,B处的切线互相垂直,则 在1的两侧,不妨令 , 因此 ,解得 . 故选:B 8.(2023·江西吉安·统考一模)已知 ,且 ,则 的可能取值为( ) (参考数据: , )A. B. C. D. 【答案】D 【详解】由 ,可得 且 ,所以 , 令 ,可得 , 令 ,可得 , 为单调递增函数, 即 单调递增, 又 , 所以存在 ,使得 , 所以 , 设 ,则 , 因为 ,所以 ,所以 在 上单调递减, 所以 , 又因为 , 在 上递增,所以D正确. 故选:D. 9.(2023·山东菏泽·统考一模)定义在实数集 上的函数 ,如果 ,使得 ,则称 为函数 的不动点.给定函数 , ,已知函数 , , 在 上均存在唯一不动点,分别记为 ,则( ) A. B. C. D. 【答案】C【详解】由已知可得, ,则 , 且 ,所以 . 又 , . 令 , ,则 恒成立, 所以, 在 上单调递增,所以 ,所以 . 所以, ,即 . 令 , , 因为函数 在 上单调递增, 在 上单调递减,且 , 根据复合函数的单调性可知,函数 在 上单调递减, 所以 在 上单调递减. 又 , ,所以 . 因为 在 上单调递减, ,所以 . 又 ,所以 ,即 . 令 , ,则 恒成立, 所以, 在 上单调递减. 又 , , 所以 . 综上可得, .故选:C. 10.(2023·河北·河北衡水中学校考模拟预测)过正态分布曲线 上非顶点的一点 作切线, 若切线与曲线仅有一个交点,则 ( ) A. B. C. D. 【答案】A 【详解】因为正态分布曲线 在拐点处切线穿过曲线,与曲线有且仅有一个交点 令 即 故选:A