当前位置:首页>文档>专题17.14勾股定理(全章直通中考)(综合练)-(人教版)_初中数学_八年级数学下册(人教版)_专题突破练习-V4

专题17.14勾股定理(全章直通中考)(综合练)-(人教版)_初中数学_八年级数学下册(人教版)_专题突破练习-V4

  • 2026-04-24 10:34:25 2026-03-23 16:30:13

文档预览

专题17.14勾股定理(全章直通中考)(综合练)-(人教版)_初中数学_八年级数学下册(人教版)_专题突破练习-V4
专题17.14勾股定理(全章直通中考)(综合练)-(人教版)_初中数学_八年级数学下册(人教版)_专题突破练习-V4
专题17.14勾股定理(全章直通中考)(综合练)-(人教版)_初中数学_八年级数学下册(人教版)_专题突破练习-V4
专题17.14勾股定理(全章直通中考)(综合练)-(人教版)_初中数学_八年级数学下册(人教版)_专题突破练习-V4
专题17.14勾股定理(全章直通中考)(综合练)-(人教版)_初中数学_八年级数学下册(人教版)_专题突破练习-V4
专题17.14勾股定理(全章直通中考)(综合练)-(人教版)_初中数学_八年级数学下册(人教版)_专题突破练习-V4
专题17.14勾股定理(全章直通中考)(综合练)-(人教版)_初中数学_八年级数学下册(人教版)_专题突破练习-V4
专题17.14勾股定理(全章直通中考)(综合练)-(人教版)_初中数学_八年级数学下册(人教版)_专题突破练习-V4
专题17.14勾股定理(全章直通中考)(综合练)-(人教版)_初中数学_八年级数学下册(人教版)_专题突破练习-V4
专题17.14勾股定理(全章直通中考)(综合练)-(人教版)_初中数学_八年级数学下册(人教版)_专题突破练习-V4
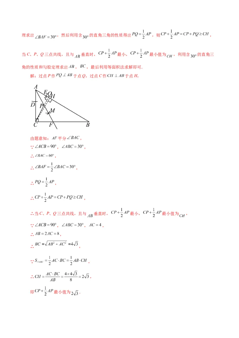
专题17.14勾股定理(全章直通中考)(综合练)-(人教版)_初中数学_八年级数学下册(人教版)_专题突破练习-V4
专题17.14勾股定理(全章直通中考)(综合练)-(人教版)_初中数学_八年级数学下册(人教版)_专题突破练习-V4
专题17.14勾股定理(全章直通中考)(综合练)-(人教版)_初中数学_八年级数学下册(人教版)_专题突破练习-V4
专题17.14勾股定理(全章直通中考)(综合练)-(人教版)_初中数学_八年级数学下册(人教版)_专题突破练习-V4
专题17.14勾股定理(全章直通中考)(综合练)-(人教版)_初中数学_八年级数学下册(人教版)_专题突破练习-V4
专题17.14勾股定理(全章直通中考)(综合练)-(人教版)_初中数学_八年级数学下册(人教版)_专题突破练习-V4
专题17.14勾股定理(全章直通中考)(综合练)-(人教版)_初中数学_八年级数学下册(人教版)_专题突破练习-V4
专题17.14勾股定理(全章直通中考)(综合练)-(人教版)_初中数学_八年级数学下册(人教版)_专题突破练习-V4
专题17.14勾股定理(全章直通中考)(综合练)-(人教版)_初中数学_八年级数学下册(人教版)_专题突破练习-V4
专题17.14勾股定理(全章直通中考)(综合练)-(人教版)_初中数学_八年级数学下册(人教版)_专题突破练习-V4
专题17.14勾股定理(全章直通中考)(综合练)-(人教版)_初中数学_八年级数学下册(人教版)_专题突破练习-V4
专题17.14勾股定理(全章直通中考)(综合练)-(人教版)_初中数学_八年级数学下册(人教版)_专题突破练习-V4
专题17.14勾股定理(全章直通中考)(综合练)-(人教版)_初中数学_八年级数学下册(人教版)_专题突破练习-V4
专题17.14勾股定理(全章直通中考)(综合练)-(人教版)_初中数学_八年级数学下册(人教版)_专题突破练习-V4
专题17.14勾股定理(全章直通中考)(综合练)-(人教版)_初中数学_八年级数学下册(人教版)_专题突破练习-V4
专题17.14勾股定理(全章直通中考)(综合练)-(人教版)_初中数学_八年级数学下册(人教版)_专题突破练习-V4
专题17.14勾股定理(全章直通中考)(综合练)-(人教版)_初中数学_八年级数学下册(人教版)_专题突破练习-V4
专题17.14勾股定理(全章直通中考)(综合练)-(人教版)_初中数学_八年级数学下册(人教版)_专题突破练习-V4
专题17.14勾股定理(全章直通中考)(综合练)-(人教版)_初中数学_八年级数学下册(人教版)_专题突破练习-V4
专题17.14勾股定理(全章直通中考)(综合练)-(人教版)_初中数学_八年级数学下册(人教版)_专题突破练习-V4
专题17.14勾股定理(全章直通中考)(综合练)-(人教版)_初中数学_八年级数学下册(人教版)_专题突破练习-V4
专题17.14勾股定理(全章直通中考)(综合练)-(人教版)_初中数学_八年级数学下册(人教版)_专题突破练习-V4
专题17.14勾股定理(全章直通中考)(综合练)-(人教版)_初中数学_八年级数学下册(人教版)_专题突破练习-V4
专题17.14勾股定理(全章直通中考)(综合练)-(人教版)_初中数学_八年级数学下册(人教版)_专题突破练习-V4

文档信息

文档格式
docx
文档大小
3.369 MB
文档页数
34 页
上传时间
2026-03-23 16:30:13

文档内容

专题17.14 勾股定理(全章直通中考)(综合练) 一、单选题(本大题共10小题,每小题3分,共30分) 1.(2021·山东滨州·统考中考真题)在 中,若 , , ,则点C到直线 AB的距离为( ) A.3 B.4 C.5 D.2.4 2.(2021·西藏·统考中考真题)如图,在Rt△ABC中,∠A=30°,∠C=90°,AB=6,点P是线段AC 上一动点,点M在线段AB上,当AM= AB时,PB+PM的最小值为( ) A.3 B.2 C.2 +2 D.3 +3 3.(2021·山东临沂·统考中考真题)如图,边长为1的正方形网格图中,点 , 都在格点上,若 ,则 的长为( ) A. B. C. D. 4.(2021·四川凉山·统考中考真题)如图, 中, ,将 沿DE翻 折,使点A与点B重合,则CE的长为( )A. B.2 C. D. 5.(2020·四川巴中·统考中考真题)《九章算术》是我国古代数学的经典著作,书中有一个“折竹抵 地”问题:“今有竹高丈,末折抵地,问折者高几何?”意思是:一根竹子,原来高一丈(一丈为十尺), 虫伤有病,一阵风将竹子折断,其竹梢恰好抵地,抵地处离原竹子根部三尺远,问:原处还有多高的竹子? ( ) A.4尺 B.4.55尺 C.5尺 D.5.55尺 6.(2020·广西贺州·统考中考真题)如图,将两个完全相同的Rt△ACB和Rt△A'C′B′拼在一起,其中 点A′与点B重合,点C'在边AB上,连接B′C,若∠ABC=∠A′B′C′=30°,AC=A′C′=2,则B′C的长为( ) A.2 B.4 C.2 D.4 7.(2018·山东淄博·统考中考真题)如图,P为等边三角形ABC内的一点,且P到三个顶点A,B,C 的距离分别为3,4,5,则△ABC的面积为( )A. B. C. D. 8.(2022·广西桂林·统考中考真题)如图,在 ABC中,∠B=22.5°,∠C=45°,若AC=2,则 ABC 的面积是( ) A. B.1+ C.2 D.2+ 9.(2022·内蒙古·中考真题)如图,在 中, ,以B为圆心,适当长为半径画弧交 于点M,交 于点N,分别以M,N为圆心,大于 MN的长为半径画弧,两弧相交于点D,射线 交 于点E,点F为 的中点,连接 ,若 ,则 的周长是( ) A.8 B. C. D. 10.(2020·山东烟台·统考中考真题)如图, 为等腰直角三角形,OA =1,以斜边OA 为直角 1 2 边作等腰直角三角形OA A ,再以OA 为直角边作等腰直角三角形OA A ,…,按此规律作下去,则OA 的 2 3 3 3 4 n 长度为( )A.( )n B.( )n﹣1 C.( )n D.( )n﹣1 二、填空题(本大题共8小题,每小题4分,共32分) 11.(2021·江苏宿迁·统考中考真题)《九章算术》中有一道“引葭赴岸”问题:“仅有池一丈,葭 生其中央,出水一尺,适与岸齐.问水深,葭长各几何?”题意是:有一个池塘,其底面是边长为10尺的 正方形,一棵芦苇 生长在它的中央,高出水面部分 为1尺.如果把芦苇沿与水池边垂直的方向拉向 岸边,则水深为 尺. 12.(2023·辽宁·统考中考真题)如图,在 中, ,点D为 的中点,过点C作 交 的延长线于点E,若 , ,则 的长为 . 13.(2023·辽宁沈阳·统考中考真题)如图,在 中, , ,点 在直 线 上, ,过点 作 直线 于点 ,连接 ,点 是线段 的中点,连接 ,则 的长为 .14.(2023·辽宁锦州·统考中考真题)如图,在 中, , , , 按下列步骤作图:①在 和 上分别截取 、 ,使 .②分别以点D和点E为圆心,以大 于 的长为半径作弧,两弧在 内交于点M.③作射线 交 于点F.若点P是线段 上的 一个动点,连接 ,则 的最小值是 . 15.(2023·四川广安·统考中考真题)如图,圆柱形玻璃杯的杯高为 ,底面周长为 ,在杯内 壁离杯底 的点 处有一滴蜂蜜,此时,一只蚂蚁正好在杯外壁上,它在离杯上沿 ,且与蜂蜜相对 的点 处,则蚂蚁从外壁 处到内壁 处所走的最短路程为 .(杯壁厚度不计) 16.(2022·内蒙古鄂尔多斯·统考中考真题)如图,AB⊥BC于点B,AB⊥AD于点A,点E是CD中点, 若BC=5,AD=10,BE= ,则AB的长是 .17.(2022·辽宁锦州·统考中考真题)如图,在 中, ,点D为 的中点, 将 绕点D逆时针旋转得到 ,当点A的对应点 落在边 上时,点 在 的延长线上,连 接 ,若 ,则 的面积是 . 18.(2023·四川遂宁·统考中考真题)如图,以 的边 、 为腰分别向外作等腰直角 、 ,连结 、 、 ,过点 的直线 分别交线段 、 于点 、 ,以下说法:①当 时, ;② ;③若 , , ,则 ;④当直线 时,点 为线段 的中点.正确的有 .(填序号) 三、解答题(本大题共6小题,共58分) 19.(8分)(2023·四川甘孜·统考中考真题)如图,在 中, ,点 在 边 上,连接 ,将 绕点 逆时针旋转 得到 ,连接 , . (1)求证: ; (2)若 时,求 的长; (3)点 在 上运动时,试探究 的值是否存在最小值,如果存在,求出这个最小值;如 果不存在,请说明理由.20.(8分)(2023·山东聊城·统考中考真题)如图,在四边形 中,点E是边 上一点,且 , . (1)求证: ; (2)若 , 时,求 的面积. 21.(10分)(2023·四川达州·统考中考真题)如图,在 中, . (1)尺规作图:作 的角平分线交 于点 (不写做法,保留作图痕迹); (2)在(1)所作图形中,求 的面积.22.(10分)(2023·山东临沂·统考中考真题)如图, . (1)写出 与 的数量关系 (2)延长 到 ,使 ,延长 到 ,使 ,连接 .求证: . (3)在(2)的条件下,作 的平分线,交 于点 ,求证: . 23.(10分)(2022·青海西宁·统考中考真题)八年级课外兴趣小组活动时,老师提出了如下问题: 将 因式分解. 【观察】经过小组合作交流,小明得到了如下的解决方法: 解法一:原式 解法二:原式 【感悟】对项数较多的多项式无法直接进行因式分解时,我们可以将多项式分为若干组,再利用提公 因式法、公式法达到因式分解的目的,这就是因式分解的分组分解法.分组分解法在代数式的化简、求值 及方程、函数等学习中起着重要的作用.(温馨提示:因式分解一定要分解到不能再分解为止) 【类比】 (1)请用分组分解法将 因式分解; 【挑战】 (2)请用分组分解法将 因式分解; 【应用】(3)“赵爽弦图”是我国古代数学的骄傲,我们利用它验证了勾股定理.如图,“赵爽弦图”是由 四个全等的直角三角形围成的一个大正方形,中间是一个小正方形.若直角三角形的两条直角边长分别是 a和 ,斜边长是3,小正方形的面积是1.根据以上信息,先将 因式分 解,再求值. 24.(12分)(2022·辽宁锦州·统考中考真题)在 中, ,点D在线段 上,连接 并延长至点E,使 ,过点E作 ,交直线 于点F. (1)如图1,若 ,请用等式表示 与 的数量关系:____________. (2)如图2.若 ,完成以下问题: ①当点D,点F位于点A的异侧时,请用等式表示 之间的数量关系,并说明理由; ②当点D,点F位于点A的同侧时,若 ,请直接写出 的长.参考答案: 1.D 【分析】根据题意画出图形,然后作CD⊥AB于点D,根据勾股定理可以求得AB的长,然后根据面积 法,可以求得CD的长. 解:作CD⊥AB于点D,如右图所示, ∵∠ACB=90°,AC=3,BC=4, ∴AB= =5, ∵ , ∴ , 解得CD=2.4, 故选:D. 【点拨】本题考查勾股定理、三角形的面积,解答本题的关键是明确题意,画出相应的图形,利用勾 股定理和面积法解答. 2.B 【分析】作B点关于AC的对称点B',连接B'M交AC于点P,则PB+PM的最小值为B'M的长,过点 B'作B'H⊥AB交H点,在Rt△BB'H中,B'H=3 ,HB=3,可求MH=1,在Rt△MHB'中,B'M=2 , 所以PB+PM的最小值为2 . 解:作B点关于AC的对称点B',连接B'M交AC于点P, ∴BP=B'P,BC=B'C, ∴PB+PM=B'P+PM≥B'M,∴PB+PM的最小值为B'M的长, 过点B'作B'H⊥AB交H点, ∵∠A=30°,∠C=90°, ∴∠CBA=60°, ∵AB=6, ∴BC=3, ∴BB'=BC+B'C=6, 在Rt△BB'H中,∠B'BH=60°, ∴∠BB'H=30°, ∴BH=3, 由勾股定理可得: , ∴AH=AB-BH=3, ∵AM= AB, ∴AM=2, ∴MH=AH-AM=1, 在Rt△MHB'中, , ∴PB+PM的最小值为2 , 故选:B. 【点拨】本题考查轴对称—最短路线问题,涉及到解直角三角形,解题的关键是做辅助线,找出PB+ PM的最小值为B'M的长. 3.B【分析】利用勾股定理求出AB,再减去BC可得AC的长. 解:由图可知: AB= = , ∵BC= , ∴AC=AB-BC= = , 故选B. 【点拨】本题考查了二次根式的加减,勾股定理与网格问题,解题的关键是利用勾股定理求出线段AB 的长. 4.D 【分析】先在RtABC中利用勾股定理计算出AB=10,再利用折叠的性质得到AE=BE,AD=BD=5,设 AE=x,则CE=AC-AE=8-x,BE=x,在Rt△BCE中根据勾股定理可得到x2=62+(8-x)2,解得x,可得CE. 解:∵∠ACB=90°,AC=8,BC=6, ∴AB= =10, ∵△ADE沿DE翻折,使点A与点B重合, ∴AE=BE,AD=BD= AB=5, 设AE=x,则CE=AC-AE=8-x,BE=x, 在Rt△BCE中 ∵BE2=BC2+CE2, ∴x2=62+(8-x)2,解得x= , ∴CE= = , 故选:D. 【点拨】本题考查了折叠的性质:折叠前后两图象全等,即对应角相等,对应边相等.也考查了勾股 定理. 5.B 【分析】竹子折断后刚好构成一直角三角形,设竹子折断处离地面x尺,则斜边为(10-x)尺.利用勾股定理解题即可. 解:设竹子折断处离地面x尺,则斜边为 尺, 根据勾股定理得: , 解得: . 所以,原处还有4.55尺高的竹子. 故选:B. 【点拨】此题考查了勾股定理的应用,解题的关键是利用题目信息构造直角三角形,从而运用勾股定 理解题. 6.A 【分析】先根据直角三角形的性质可得 ,再根据勾股定理和角的和差可 得 ,最后在 中,利用勾股定理即可得. 解:∵ , ∴ , ∴ , , 则在 中, , 故选:A. 【点拨】本题考查了含30度角的直角三角形的性质、勾股定理等知识点,熟练掌握含30度角的直角 三角形的性质是解题关键. 7.A 解:分析:将△BPC绕点B逆时针旋转60°得△BEA,根据旋转的性质得BE=BP=4,AE=PC=5, ∠PBE=60°,则△BPE为等边三角形,得到PE=PB=4,∠BPE=60°,在△AEP中,AE=5,延长BP,作AF⊥BP 于点F.AP=3,PE=4,根据勾股定理的逆定理可得到△APE为直角三角形,且∠APE=90°,即可得到∠APB 的度数,在直角△APF中利用三角函数求得AF和PF的长,则在直角△ABF中利用勾股定理求得AB的长, 进而求得三角形ABC的面积. 详解:∵△ABC为等边三角形, ∴BA=BC, 可将△BPC绕点B逆时针旋转60°得△BEA,连EP,且延长BP,作AF⊥BP于点F.如图,∴BE=BP=4,AE=PC=5,∠PBE=60°, ∴△BPE为等边三角形, ∴PE=PB=4,∠BPE=60°, 在△AEP中,AE=5,AP=3,PE=4, ∴AE2=PE2+PA2, ∴△APE为直角三角形,且∠APE=90°, ∴∠APB=90°+60°=150°. ∴∠APF=30°, ∴在直角△APF中,AF= AP= ,PF= AP= . ∴在直角△ABF中,AB2=BF2+AF2=(4+ )2+( )2=25+12 . 则△ABC的面积是 •AB2= •(25+12 )=9+ . 故选A. 点睛:本题考查了等边三角形的判定与性质、勾股定理的逆定理以及旋转的性质:旋转前后的两个图 形全等,对应点与旋转中心的连线段的夹角等于旋转角,对应点到旋转中心的距离相等. 8.D 【分析】如图,过点A作AD⊥AC于A,交BC于D,过点A作AE⊥BC于E,先证明 ADC是等腰直 △ 角三角形,得AD=AC=2,∠ADC=45°,CD= AC=2 ,再证明AD=BD,计算AE和BC的长,根 据三角形的面积公式可解答. 解:如图,过点A作AD⊥AC于A,交BC于D,过点A作AE⊥BC于E,∵∠C=45°, ∴△ADC是等腰直角三角形, ∴AD=AC=2,∠ADC=45°,CD= AC=2 , ∵∠ADC=∠B+∠BAD,∠B=22.5°, ∴∠DAB=22.5°, ∴∠B=∠DAB, ∴AD=BD=2, ∵AD=AC,AE⊥CD, ∴DE=CE, ∴ ∴△ABC的面积 . 故选:D. 【点拨】本题考查的是勾股定理,等腰直角三角形的性质,三角形的面积,熟知掌握等腰三角形的性 质是解本题的关键. 9.D 【分析】由尺规作图可知,BE为∠ABC的平分线,结合等腰三角形的性质可得BE⊥AC,AE= CE= AC= 2,利用勾股定理求出AB、 BC的长度,进而可得EF= AB=2 , CF= BC= ,即可得出答案. 解:由题意得,BE为∠ABC的平分线, ∵ AB= BC, BE⊥AC, AE= CE= AC = 2, 由勾股定理得, AB= BC= , ∵点F为BC的中点,∴EF= AB= , CF= BC= , ∴ CEF的周长为: +2= 2 + 2. ∆ 故选:D. 【点拨】本题考查尺规作图、等腰三角形的性质、勾股定理,熟练掌握角平分线的作图步骤以及等腰 三角形的性质是解答本题的关键. 10.B 【分析】利用等腰直角三角形的性质以及勾股定理分别求出各边长,依据规律即可得出答案. 解:∵△OA A 为等腰直角三角形,OA =1, 1 2 1 ∴OA = ; 2 ∵△OA A 为等腰直角三角形, 2 3 ∴OA =2= ; 3 ∵△OA A 为等腰直角三角形, 3 4 ∴OA =2 = . 4 ∵△OA A 为等腰直角三角形, 4 5 ∴OA =4= , 5 …… ∴OA 的长度为( )n﹣1, n 故选:B. 【点拨】此题主要考查了等腰直角三角形的性质以及勾股定理,熟练应用勾股定理得出是解题关键. 11.12 【分析】此题主要考查了勾股定理的应用,我们可以将其转化为数学几何图形,根据题意,可知 的长为10尺,则 尺,设出 尺,表示出水深 ,在 中,根据勾股定理建立 方程,是解题的关键. 解:依题意画出图形,设芦苇长 尺,则 尺,尺, 尺 在 中, , 解得 , 即芦苇长13尺, 水深为 (尺), 故答案为:12. 12. / /1.5 【分析】先根据 证明 ,推出 ,再利用勾股定理求出 ,最后根据中 点的定义即可求 的长. 解: , , 点D为 的中点, , 又 , , , 中, , , , . 故答案为: .【点拨】本题考查全等三角形的判定与性质,勾股定理,平行线的性质等,证明 是解 题的关键. 13. 或 【分析】分两种情况当 在 延长线上和当 在 上讨论,画出图形,连接 ,过点 作 于 ,利用勾股定理解题即可 解:当在线段上时,连接 ,过点 作 于 , 当 在线段 上时, , , , , 点 是线段 的中点, , , , , , , , ,, 当 在 延长线上时,则 , 是线段 的中点, , , , , , , , , , , , 的长为 或 . 故答案为: 或 . 【点拨】本题考查等腰直角三角形的判定和性质,勾股定理,正确作出辅助线是解题的关键. 14. 【分析】过点P作 于点Q,过点C作 于点H,先利用角平分线和三角形的内角和定理求出 ,然后利用含 的直角三角的性质得出 ,则 , 当C、P、Q三点共线,且与 垂直时, 最小, 最小值为 ,利用含 的直角三 角的性质和勾股定理求出 , ,最后利用等面积法求解即可. 解:过点P作 于点Q,过点C作 于点H, 由题意知: 平分 , ∵ , , ∴ , ∴ , ∴ , ∴ , ∴当C、P、Q三点共线,且与 垂直时, 最小, 最小值为 , ∵ , , , ∴ , ∴ , ∵ , ∴ , 即 最小值为 .故答案为: . 【点拨】本题考查了尺规作图-作角平分线,含 的直角三角形的性质,勾股定理等知识,注意掌握 利用等积法求三角形的高或点的线的距离的方法. 15.10 【分析】如图(见分析),将玻璃杯侧面展开,作 关于 的对称点 ,根据两点之间线段最短可 知 的长度即为所求,利用勾股定理求解即可得. 解:如图,将玻璃杯侧面展开,作 关于 的对称点 ,作 ,交 延长线于点 ,连接 , 由题意得: , , ∵底面周长为 , , , 由两点之间线段最短可知,蚂蚁从外壁 处到内壁 处所走的最短路程为 , 故答案为:10. 【点拨】本题考查了平面展开——最短路径问题,将图形展开,利用轴对称的性质和勾股定理进行计 算是解题的关键.同时也考查了同学们的创造性思维能力. 16.12 【分析】延长BE交AD于点F,由“ASA”可证△BCE≌△FDE,可得DF=BC=5,BE=EF,由勾股定 理可求AB的长. 解:如图,延长BE交AD于点F,∵点E是DC的中点, ∴DE=CE, ∵AB⊥BC,AB⊥AD, ∴AD∥BC, ∴∠ D=∠BCE,∠FED=∠BEC, ∴ △BCE≌△FDE(ASA), ∴DF=BC=5,BE=EF, ∴BF=2BE=13,AF=5, 在Rt△ABF中,由勾股定理可得AB=12. 故答案为:12. 【点拨】本题考查了全等三角形的判定和性质,勾股定理,添加恰当辅助线构造全等三角形是本题的 关键. 17. 【分析】先证明 是等边三角形,再证明 ,再利用直角三角形 角对应的边是斜边 的一般分别求出 和 ,再利用勾股定理求出 ,从进而即可求解. 解:如下图所示,设 与 交于点O,连接 和 , ∵点D为 的中点, ,∴ , , 是 的角平分线, 是 , ∴ , ∴ ∵ , ∴ 是等边三角形, ∴ , ∵ , ∴ , ∴ , ∴ , ∴ , ∴ ∵ ∵ , ∴ ∴ , ∴ . 故答案为: . 【点拨】本题考查等腰三角形、等边三角形和直角三角形的性质,证明 是等边三角形是解本 题的关键. 18.①②④ 【分析】①当 时, 是等边三角形,根据等角对等边,以及三角形的内角和定理即 可得出 ,进而判断①;证明 ,根据全等三角形的性质 判断②;作直线 于点 , 过点 作 于点 ,过点 作 于点 ,证明 , , ,即可得 是 的中点,故④正确,证明,可得 ,在 中, ,在 中, ,得出 ,在 中,勾股定理即可求解. 解:①当 时, 是等边三角形, ∴ ∴ ∵等腰直角 、 , ∴ ∴ ∴ ;故①正确; ②∵等腰直角 、 , ∴ , ∴ ∴ ∴ ;故②正确; ④如图所示,作直线 于点 , 过点 作 于点 ,过点 作 于点 , ∵ , ∴ , 又 , ∴ 又∵ , ∴ 同理得, ,∴ , , , ∵ , ,, ∴ , ∴ ,即 是 的中点,故④正确, ∴ , 设 ,则 在 中, 在 中, ∴ ∴ 解得: ∴ , ∴ , ∴ ∴ 在 中, ∴ ,故③错误 故答案为:①②④. 【点拨】本题考查了等腰直角三角形的性质,勾股定理,全等三角形的性质与判定,等腰三角形的性 质,等边三角形的性质与判定,熟练掌握全等三角形的性质与判定是解题的关键. 19.(1)见分析;(2) ;(3)存在, 【分析】(1)由 即可证明 ; (2)证明 ( ),勾股定理得到 ,在 中,勾股定理即可求解;(3)证明 ,即可求解. (1)解:由题意,可知 , , . . 即 . . (2) 在 中, , . . , , . . . 在 中, . (3)由(2)可知, . 当 最小时,有 的值最小,此时 . 为等腰直角三角形, . . 即 的最小值为 . 【点拨】本题主要考查了图形的几何变换,涉及到等腰直角三角形的判定与性质,全等三角形的判定 与性质,勾股定理,熟练掌握以上知识是解题的关键. 20.(1)见分析;(2) 【分析】(1)由 求出 ,然后利用 证明 ,可得 , 再由等边对等角得出结论; (2)过点E作 于F,根据等腰三角形的性质和含 直角三角形的性质求出 和 ,然后利用勾股定理求出 ,再根据三角形面积公式计算即可. 解:(1)证明:∵ , ∴ ,即 , ∴ , 在 和 中, , ∴ , ∴ , ∴ ; (2)解:过点E作 于F, 由(1)知 , ∵ , ∴ , ∵ , ∴ , ∴ , , ∴ . 【点拨】本题考查了三角形内角和定理,全等三角形的判定和性质,等腰三角形的性质,含 直角 三角形的性质以及勾股定理等知识,正确寻找证明三角形全等的条件是解题的关键. 21.(1)见分析;(2) 【分析】(1)以A为圆心,任意长为半径画弧,分别交 、 ,在以两交点为圆心,以大于它们长度为半径画弧,交于一点,过A于该点作射线交 于点P,则 即为所求; (2)过点P作 ,根据 和题中条件可求出 的面积,再结合角平分线 的性质即可求解. (1)解:以A为圆心,任意长为半径画弧,分别交 、 ,在以两交点为圆心,以大于它们 长 度为半径画弧,交于一点,过A于该点作射线交 于点P,则 即为所求. (2)解:过点P作 ,如图所示, 由(1)得: , ∵ , ∴ , ∴ , ∵ , ∴ ,即 , ∵ , ∴ , ∴ ; 【点拨】本题主要考查作图—基本作图,解题关键是掌握角平线的尺规作图及角平分线的性质. 22.(1) ;(2)见分析;(3)见分析 【分析】(1)勾股定理求得 ,结合已知条件即可求解;(2)根据题意画出图形,证明 ,得出 ,则 ,即可得证; (3)延长 交于点 ,延长 交 于点 ,根据角平分线以及平行线的性质证明 , 进而证明 ,即可得证. (1)解:∵ ∴ , ∵ ∴ 即 ; (2)证明:如图所示, ∴ ∴ , ∵ , ∴ ∵ , , ∴ ∴ ∴ ∴ (3)证明:如图所示,延长 交于点 ,延长 交 于点 ,∵ , , ∴ , ∴ ∵ 是 的角平分线, ∴ , ∴ ∴ ∵ , ∴ , , ∴ , 又∵ , ∴ , 即 , ∴ , 又 ,则 , 在 中,, ∴ , ∴ 【点拨】本题考查了全等三角形的与判定,等腰三角形的性质与判定,勾股定理,平行线的性质与判 定,熟练掌握全等三角形的性质与判定是解题的关键. 23.(1) ;(2) ;(3) ,9 【分析】(1)直接将前两项和后两项组合,利用平方差公式再提取公因式,进而分解因式即可; (2)先分组,利用完全平方公式再提取公因式,进而分解因式即可; (3)分组,先提取公因式,利用完全平方公式分解因式,再由勾股定理以及面积得到 , ,整体代入得出答案即可. (1)解: ; (2)解: ; (3)解:, ∴根据题意得 , , ∴原式 . 【点拨】此题主要考查了分组分解法以及、提取公因式法、公式法分解因式以及勾股定理的应用,正 确分组再运用公式法分解因式是解题关键. 24.(1) ;(2)① ;② 或 ; 【分析】(1)过点C作CG⊥AB于G,先证明△EDF≌△CDG,得到 ,然后等腰三角形的性 质和含30度直角三角形的性质,即可求出答案; (2)①过点C作CH⊥AB于H,与(1)同理,证明△EDF≌△CDH,然后证明 是等腰直角三角 形,即可得到结论; ②过点C作CG⊥AB于G,与(1)同理,得△EDF≌△CDG,然后得到 是等腰直角三角形,利用 勾股定理解直角三角形,即可求出答案. (1)解:过点C作CG⊥AB于G,如图, ∵ , ∴ , ∵ , , ∴△EDF≌△CDG, ∴ ; ∵在 中, , ,∴ , ∴ , ∴ ; 故答案为: ; (2)解:①过点C作CH⊥AB于H,如图, 与(1)同理,可证△EDF≌△CDH, ∴ , ∴ , 在 中, , , ∴ 是等腰直角三角形, ∴ , ∴ 是等腰直角三角形, ∴ , ∴ ; ②如图,过点C作CG⊥AB于G,与(1)同理可证,△EDF≌△CDG, ∴ , ∵ , 当点F在点A、D之间时,有 ∴ , 与①同理,可证 是等腰直角三角形, ∴ ; 当点D在点A、F之间时,如图: ∴ , 与①同理,可证 是等腰直角三角形, ∴ ; 综合上述,线段 的长为 或 . 【点拨】本题考查了等腰直角三角形的判定和性质,全等三角形的判定和性质,勾股定理解直角三角 形,三角形的内角和定理,解题的关键是熟练掌握所学的知识,正确的作出辅助线,正确得到三角形全 等.