当前位置:首页>文档>专题17.4易错易混集训:利用勾股定理求解之四大易错考点(教师版)_初中数学_八年级数学下册(人教版)_重难点专题提优-V8

专题17.4易错易混集训:利用勾股定理求解之四大易错考点(教师版)_初中数学_八年级数学下册(人教版)_重难点专题提优-V8

  • 2026-05-01 11:49:06 2026-03-23 18:08:33

文档预览

专题17.4易错易混集训:利用勾股定理求解之四大易错考点(教师版)_初中数学_八年级数学下册(人教版)_重难点专题提优-V8
专题17.4易错易混集训:利用勾股定理求解之四大易错考点(教师版)_初中数学_八年级数学下册(人教版)_重难点专题提优-V8
专题17.4易错易混集训:利用勾股定理求解之四大易错考点(教师版)_初中数学_八年级数学下册(人教版)_重难点专题提优-V8
专题17.4易错易混集训:利用勾股定理求解之四大易错考点(教师版)_初中数学_八年级数学下册(人教版)_重难点专题提优-V8
专题17.4易错易混集训:利用勾股定理求解之四大易错考点(教师版)_初中数学_八年级数学下册(人教版)_重难点专题提优-V8
专题17.4易错易混集训:利用勾股定理求解之四大易错考点(教师版)_初中数学_八年级数学下册(人教版)_重难点专题提优-V8
专题17.4易错易混集训:利用勾股定理求解之四大易错考点(教师版)_初中数学_八年级数学下册(人教版)_重难点专题提优-V8
专题17.4易错易混集训:利用勾股定理求解之四大易错考点(教师版)_初中数学_八年级数学下册(人教版)_重难点专题提优-V8
专题17.4易错易混集训:利用勾股定理求解之四大易错考点(教师版)_初中数学_八年级数学下册(人教版)_重难点专题提优-V8
专题17.4易错易混集训:利用勾股定理求解之四大易错考点(教师版)_初中数学_八年级数学下册(人教版)_重难点专题提优-V8
专题17.4易错易混集训:利用勾股定理求解之四大易错考点(教师版)_初中数学_八年级数学下册(人教版)_重难点专题提优-V8
专题17.4易错易混集训:利用勾股定理求解之四大易错考点(教师版)_初中数学_八年级数学下册(人教版)_重难点专题提优-V8
专题17.4易错易混集训:利用勾股定理求解之四大易错考点(教师版)_初中数学_八年级数学下册(人教版)_重难点专题提优-V8
专题17.4易错易混集训:利用勾股定理求解之四大易错考点(教师版)_初中数学_八年级数学下册(人教版)_重难点专题提优-V8
专题17.4易错易混集训:利用勾股定理求解之四大易错考点(教师版)_初中数学_八年级数学下册(人教版)_重难点专题提优-V8
专题17.4易错易混集训:利用勾股定理求解之四大易错考点(教师版)_初中数学_八年级数学下册(人教版)_重难点专题提优-V8
专题17.4易错易混集训:利用勾股定理求解之四大易错考点(教师版)_初中数学_八年级数学下册(人教版)_重难点专题提优-V8
专题17.4易错易混集训:利用勾股定理求解之四大易错考点(教师版)_初中数学_八年级数学下册(人教版)_重难点专题提优-V8
专题17.4易错易混集训:利用勾股定理求解之四大易错考点(教师版)_初中数学_八年级数学下册(人教版)_重难点专题提优-V8
专题17.4易错易混集训:利用勾股定理求解之四大易错考点(教师版)_初中数学_八年级数学下册(人教版)_重难点专题提优-V8
专题17.4易错易混集训:利用勾股定理求解之四大易错考点(教师版)_初中数学_八年级数学下册(人教版)_重难点专题提优-V8
专题17.4易错易混集训:利用勾股定理求解之四大易错考点(教师版)_初中数学_八年级数学下册(人教版)_重难点专题提优-V8
专题17.4易错易混集训:利用勾股定理求解之四大易错考点(教师版)_初中数学_八年级数学下册(人教版)_重难点专题提优-V8
专题17.4易错易混集训:利用勾股定理求解之四大易错考点(教师版)_初中数学_八年级数学下册(人教版)_重难点专题提优-V8
专题17.4易错易混集训:利用勾股定理求解之四大易错考点(教师版)_初中数学_八年级数学下册(人教版)_重难点专题提优-V8
专题17.4易错易混集训:利用勾股定理求解之四大易错考点(教师版)_初中数学_八年级数学下册(人教版)_重难点专题提优-V8
专题17.4易错易混集训:利用勾股定理求解之四大易错考点(教师版)_初中数学_八年级数学下册(人教版)_重难点专题提优-V8
专题17.4易错易混集训:利用勾股定理求解之四大易错考点(教师版)_初中数学_八年级数学下册(人教版)_重难点专题提优-V8

文档信息

文档格式
docx
文档大小
3.081 MB
文档页数
28 页
上传时间
2026-03-23 18:08:33

文档内容

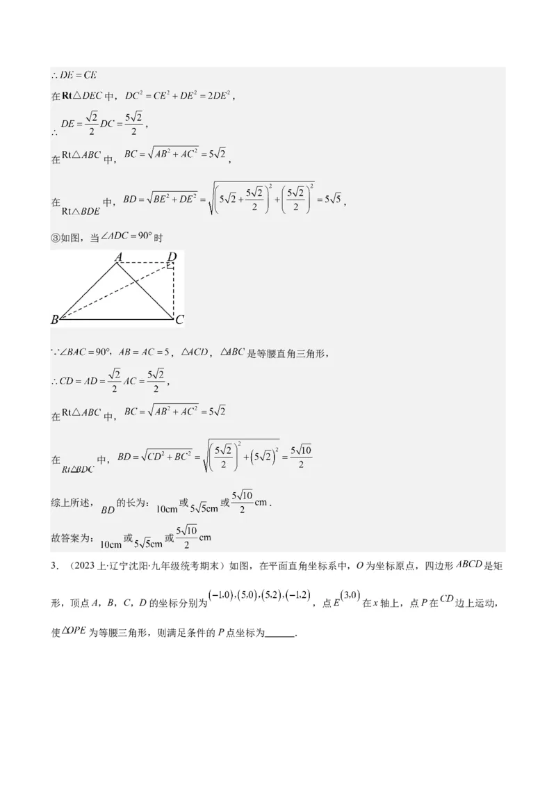
专题 17.4 易错易混集训:利用勾股定理求解之四大易错考点 目录 【典型例题】..............................................................................................................................................................1 【易错一 没有明确斜边或直角时,考虑不全面而漏解】............................................................................1 【易错二 三角形形状不明时,考虑不全面而漏解】....................................................................................4 【易错三 等腰三角形的腰和底不明时,考虑不全面而漏解】....................................................................8 【易错四 求立体图形中两点距离最短时无法找到正确的展开方式】.......................................................19 【典型例题】 【易错一 没有明确斜边或直角时,考虑不全面而漏解】 例题:(2023春·河南安阳·八年级校考期末)若三角形的两边长为4和5,要使其成为直角三角形,则第三 边的长为 . 【答案】3或 / 或3 【分析】根据勾股定理逆定理:如果三角形两条边的平方和等于第三边的平方,那么这个三角形就是直角 三角形,再分5为斜边或第三边为斜边两种情况考虑,即可求出第三边. 【详解】解:当较大的数5为斜边时,第三边 , 当第三边为斜边时,第三边 , 故答案为:3或 . 【点睛】本题考查了勾股定理的逆定理,即如果三角形两条边的平方和等于第三边的平方,那么这个三角 形就是直角三角形,熟练掌握勾股定理的逆定理及分情况考虑是解题关键. 【变式训练】 1.(2023下·新疆阿克苏·八年级期末)若直角三角形的两边长分别为3和4,则第三边长为( ) A.5 B.5或 C. D.5或7【答案】B 【分析】本题主要考查了勾股定理,分当边长为4的边是斜边时,当边长为4的边为直角边时,根据直角 三角形中两直角边的平方和等于斜边的平方进行讨论求解即可. 【详解】解:当边长为4的边是斜边时,则第三边的长为 , 当边长为4的边为直角边时,则第三边的长为 ; 综上所述,第三边长为5或 , 故选B. 2.(2023上·陕西咸阳·八年级咸阳市实验中学校考阶段练习)已知 是某直角三角形的三边长,若 , ,则下列关于c的说法中,正确的是() A.c的值只能为 B.c的值只能为 C.c的值为 或 D.c的值有无限多个 【答案】C 【分析】此题考查了勾股定理;熟练掌握勾股定理,分两种情况讨论是解本题的关键.分两种情况:①当 为直角边时,②当 为直角边,利用勾股定理求出第三边长即可. 【详解】解∶分两种情况∶①当 为直角边时, ; ②当 为直角边, 为斜边时, . 故选∶C. 3.(2023上·河南郑州·八年级郑州市第七十三中学校考阶段练习)若 的两边a,b满足 ,则第三条边c的值是( ) A.5 B. 或 C.5或 D.5或 【答案】C 【分析】本题考查了平方和算术平方根的非负性特点、利用平方根解方程以及勾股定理的应用,先求出a 和b的值,再设第三边为x,讨论斜边情况,利用勾股定理建立方程求解即可.【详解】解:∵ , , 又∵ , ∴ , , ∴ , , 设第三边长为x,由 ,则共有以下两种情况: ①当 时, (负值舍去), ②当 时,即 (负值舍去), ∴第三边长是5或 ; 故选:C. 4.(2023上·四川内江·九年级四川省内江市第二中学校考期中)已知直角三角形两边 的长满足 ,则第三边长为 . 【答案】 或 / 或 【分析】本题主要考查勾股定理、非负数的性质,解题的关键是熟练掌握勾股定理,“如果直角三角形的 两条直角边长分别是a,b,斜边长为c,那么 ”.根据绝对值、算术平方根的非负性分别求出 x、y,分两种情况讨论,根据勾股定理计算,得到答案. 【详解】解:∵x、y为直角三角形的两边长,满足 , ∴ , , 解得: 或 (负值不合题意,舍去), 或 (负值不合题意,舍去), 当6为直角三角形的直角边时,则第三边长为: ; 当6为直角三角形的斜边时,则第三边长为: ; 综上分析可知,直角三角形的第三边长为 或 .故答案为: 或 . 5.(2023上·江苏南京·八年级期末)定义:如图,点C、点D把线段 分割成 、 和 ,若以 、 、 为边的三角形是一个直角三角形,则称点C、点D是线段 的勾股分割点.已知点M、 点N是线段 的勾股分割点, , ,则 【答案】 或 【分析】本题主要考查了勾股定理, 根据题意需分类讨论:①当 为最长线段时,由勾股定理求出 ; ②当 为最长线段时,由勾股定理求出 即可. 【详解】解:①当 为最长线段时, ∵点 M、N是线段 的勾股分割点, ∴ , ②当 为最长线段时, ∵点M、N是线段 的勾股分割点, ∴ ∴ . 综上所述: 或 . 故答案为: 或 . 【易错二 三角形形状不明时,考虑不全面而漏解】 例题:(2023春·湖北孝感·八年级校考阶段练习)已知 是 的边 上的高,若 , , ,则 的长为 . 【答案】 或 / 或 【分析】分 是锐角三角形和 是钝角三角形两种情况,根据勾股定理计算即可. 【详解】解:当 是锐角三角形,如图1,, , 由勾股定理得, , , , , 当 是钝角三角形,如图2, 同理得: , , , 则 的长为 或 , 故答案为: 或 . 【点睛】本题考查的是勾股定理,如果直角三角形的两条直角边长分别是 , ,斜边长为 ,那么 ,解题关键是进行分类讨论求解. 【变式训练】 1.(2023上·山东烟台·七年级统考期中)在 中, , ,高 ,则 等于( ) A.14 B.4或14 C.4 D.9或5 【答案】B 【分析】本题考查了勾股定理的应用,熟知勾股定理,并根据题意分类讨论是解题关键.分高 在 外部和高 在 内部两种情况分类讨论,根据勾股定理求出 , ,即可求出 . 【详解】解:如图1,当高 在 外部时,在 中, , 在 中, , ∴ ; 如图2,当高 在 内部时, 在 中, , 在 中, , ∴ ; ∴ 的长为4或14. 故选:B 2.(2023上·浙江杭州·八年级校考阶段练习)在 中, , , 边上的高为 ,则 的面积是 . 【答案】 或 【分析】本题主要考查了勾股定理;熟练掌握勾股定理,画出图形,分类讨论是解答此题的关键. 分两种情况: ① 为锐角; ② 为钝角,利用勾股定理求出 、 ,即可求出 的长进而求得 的面积. 【详解】解:分两种情况: ① 为锐角时,如图在 中 在 中 的面积为: ; ②当 为钝角时,如图 在 中 在 中 的面积为: ; 故答案为:126或66. 3.(2022·北京·101中学八年级期中)在Rt△ABC中,∠ACB=90°,AC=4,AB=5.点P在直线AC上, 且BP=6,则线段AP的长为__________.【答案】 或 【解析】 【分析】 根据题意,作出图形,分类讨论,根据勾股定理求解即可. 【详解】 解:如图, ∠ACB=90°,AC=4,AB=5 在 中, 或 故答案为: 或 【点睛】 本题考查了勾股定理,根据题意作出图形,分类讨论是解题的关键. 4.(2023春·黑龙江齐齐哈尔·八年级校考阶段练习)已知等边 的边长为6, 为 的中点,如果 点 是射线 上的一点,且 ,那么 的长为 . 【答案】 或 / 或 【分析】分两种情况,利用勾股定理求解即可. 【详解】解:等边 的边长为6, 为 的中点 则 , 平分 , ∴ ,∴ 由题意可得: 当点 在 的内部时,如图1, 由勾股定理可得: ∴ 当点 在 的外部时,如图2, 由勾股定理可得: ∴ 故答案为: 或 【点睛】此题考查了等边三角形的性质,勾股定理,解题的关键是熟练掌握相关基础性质,学会分类讨论 的思想求解问题. 【易错三 等腰三角形的腰和底不明时,考虑不全面而漏解】 例题:(2023春·辽宁抚顺·八年级统考阶段练习)如图,在 中, , , ,动点 从点 出发,沿射线 以 的速度移动,设运动的时间为 ,当 为等腰三角 形时, 等于 .【答案】 或 或 【分析】根据 为等腰三角形进行分类讨论,分别求出 的长,即可求出t. 【详解】解:在 中, , 由勾股定理得: (cm), 由题意可知共三种情况,如下: ① 时, ,则 , ∴ ,解得 ; ②当 时, , 所以 , ③当 时,即 , 所以 , 综上所述,当t的值为 或 或 ; 故答案为: 或 或 【点睛】本题主要考查了直角三角形的勾股定理以及等腰三角形的分类讨论思想,能够正确地分类是解决 本题的关键.【变式训练】 1.(2023上·江苏南京·八年级校考期中)如图,已知在 中, 于点D, , , ,动点P从点A出发,向终点B运动,速度为每秒1个单位,运动时间为t秒.当t的值是 秒, 是等腰三角形. 【答案】5或6或 【分析】本题考查了等腰三角形的定义、勾股定理等知识点,分类讨论 是解题关键. 【详解】解:∵ , , ∴ 时: ∵ , ∴ ∵ ∴ , 解得: ; 时: ∵ ∴ , 解得: ; 时: ∵ , 又∴ 解得: 故答案为:5或6或 2.(2023上·江西抚州·八年级校考期中)在 中, , ,以 为一边, 在 外部作等腰直角 ,则线段 的长为 . 【答案】 或 或 【分析】本题考查了勾股定理,化为最简二次根式,等腰三角形的性质,分类讨论是解题的关键.根据题 意分类讨论,① ,② ,③ ,分别作出图形,再结合已知条件勾股定理 求解即可. 【详解】解:①如图,当 时, , 是等腰直角三角形, , ; ②如图,当 时,过点 作 ,交 的延长线于点 , , , 是等腰直角三角形, , 又 是等腰直角三角形在 中, , , 在 中, , 在 中, , ③如图,当 时 , , 是等腰直角三角形, , 在 中, 在 中, 综上所述, 的长为: 或 或 . 故答案为: 或 或 3.(2023上·辽宁沈阳·九年级统考期末)如图,在平面直角坐标系中,O为坐标原点,四边形 是矩 形,顶点A,B,C,D的坐标分别为 ,点E 在x轴上,点P在 边上运动, 使 为等腰三角形,则满足条件的P点坐标为 .【答案】 或 或 【分析】本题考查了等腰三角形的性质,垂直平分线,勾股定理.分情况讨论是解题的关键. 由题意知,分 为底, 为腰两种情况求解:设 ,则 ,分①当 为底,则 在 的 垂直平分线与 的交点;②当 为腰,且 时, ;当 为腰,且 时, ;分别计算求出满足要求的解即可. 【详解】解:由题意知,分 为底, 为腰两种情况求解: 设 ,则 , ①当 为底,则 在 的垂直平分线与 的交点, ∴ ; ②当 为腰,且 时, ∴ , 解得, 或 (舍去), ∴ ; 当 为腰,且 时, ∴ , 解得, 或 (舍去), ∴ ;综上所述, 点坐标为 或 或 , 故答案为: 或 或 . 4.(2023上·江苏苏州·八年级苏州工业园区星湾学校校考期中) 中, ,过点 的直线把 分割成两个三角形,使其中只有一个是筹腰三角形, 则这个等腰三角形的面积是 . 【答案】 或 或 【分析】在 中,通过解直角三角形可得出 ,找出所有可能的分割方法,并求出 剪出的等腰梯形的面积即可. 本题考查了勾股定理、等腰三角形的性质以及三角形的面积,找出所有可能的分割方法,并求出剪出的等 腰三角形的面积是解题的关键. 【详解】在 中, 则: 沿过点B的直线把 分割成两个三角形,使其中只有一个是等腰三角形,设该直线与边 交于点 P.以下有三种情况: ①当 时, ∴ ②当 时,③当 且点P在边 上时,过点B作 ,垂足为D. ∴ ∴ ∴ ∴ . 综上所述:等腰三角形的面积可能为 或 或 , 故答案为: 或 或 5.(2023上·江苏南通·九年级校考期末)如图,在等腰梯形 中, , , , ,直角三角板含 角的顶点 放在 边上移动,直角边 始终经过点 ,斜边 与 交 于点 ,若 为等腰三角形,则 的长为 .【答案】 或 或2 【分析】本题考查了等腰梯形的性质,等腰直角三角形的判定和性质,全等三角形的判定和性质,勾股定 理等知识.分三种情况讨论:①当 时,过点D作 于点G,根据等腰梯形的性质,易证四 边形 是矩形,进而证明 ,得到 , 的长,由勾股定理求得 , 然后证明 是等腰直角三角形,再利用勾股定理即可求出 的长;②当 时,利用等腰梯形 的性质、等腰三角形的性质,三角形内角和定理,求得 ,进而得到 ,再利用 ,即可求出 得长;③当 时,利用等腰梯形的性质、等腰三角形的性质,三角形 内角和定理,求得 ,进而利用勾股定理,得出 的长,再利用三角形内角和定理,易证 是等腰直角三角形,得到 ,最后由勾股定理即可求出 的长. 【详解】解:①如图1,当 时,过点D作 于点G, 等腰梯形 中, , , , , , , , 四边形 是矩形, , , , , 在 和 中, ,, , , , , 在 中, , , , , , , 是等腰直角三角形, , 在 中, , ; ②如图2,当 时, , 等腰梯形 中, , ,, , , , , , , , ; ③如图3,当 时, 等腰梯形 中, , , , , , 在 中, , , , , 是等腰直角三角形, , 在 中, ;综上所述,CF的长为 或 或2. 故答案为: 或 或2. 6.(2023上·浙江金华·八年级校联考阶段练习)如图,在长方形 中, , ,E为 的中点.点P从点D出发,以2cm/s的速度沿 路线运动,运动至点A停止,运动时间 为t(s),若 为等腰三角形,则t的值为 . 【答案】2或3或 【分析】分三种情况,分别为 、 、 ,根据等腰三角形的性质求解即可; 此题考查了勾股定理,垂直平分线,等腰三角形的性质,解题的关键是利用分类讨论的思想. 【详解】解:①若 ,由垂直平分线性质可得,点P与C重合, , , ; ②如图,若 , 设 ,则 , , ,,解得 , . ; ③如图,若 , ; , , , , , . 故答案为:2或3或 【易错四 求立体图形中两点距离最短时无法找到正确的展开方式】 例题:(2023秋·广东揭阳·八年级惠来县第一中学校考阶段练习)如图,长方体盒子的长宽高分别为 , , ,在 中点 处有一滴蜜糖,有一只小虫从 点爬到 处去吃,有很多种走法,求出最短 路线长为 . 【答案】 【分析】要求长方体中两点之间的最短路径,最直接的作法,就是将长方体的侧面展开,然后利用两点之间线段最短解答. 【详解】解:①如图,连接 , 在 中, , , 由勾股定理得: ,此时 ; ②如图,连接 , 在 中, , , 由勾股定理得: ; ∵ , ∴从 处爬到 处的最短路程是 . 故答案为: 【点睛】本题考查了平面展开 最短路径问题,关键是画出图形知道求出哪一条线段的长,题目具有一定 的代表性,是一道比较好的题目,切记要进行分类讨论. 【变式训练】 1.(2023上·江苏泰州·八年级统考期中)葛藤是一种多年生草本植物,为获得更多的雨露和阳光,其茎蔓 常绕着附近的树干沿最短路线盘旋而上.如图,如果把树干看成圆柱体,它的底面周长是 ,当一段葛 藤绕树干盘旋1圈升高为 时,这段葛藤的长为 . 【答案】2.6【分析】此题主要考查了勾股定理的应用.根据题意画出图形,利用圆柱侧面展开图,结合勾股定理求出 即可. 【详解】解:如图所示: , ∴这段葛藤的长 . 故答案为: . 2.(2023上·山东青岛·八年级统考期中)如图,长方体的底面边长分别为 和 ,高为 .如果用 一根细线从点 开始经过4个侧面缠绕1圈到达点 ,那么所用细线最短需要 ;如果从点 开 始经过4个侧面缠绕2圈到达点 ,那么所用细线最短需要 . 【答案】 【分析】本题考查了勾股定理的应用,将长方体展开,连接 、 ,进而根据勾股定理,即可求解. 【详解】解:将长方体展开,连接 , 根据两点之间线段最短, ( ); 如果从点 开始经过 个侧面缠绕 圈到达点 ,相当于直角三角形的两条直角边分别是 和 ,根据勾 股定理可知所用细线最短需要 ( ).故答案为: , . 3.(2023上·山东济南·七年级统考期中)如图,圆柱形玻璃杯,底面周长为16 , 是底面圆的直径, 点P是 上的一点,且 , ,一只蚂蚁从点A出发,沿着圆柱体的表面爬行到点P 的最短距离为 . 【答案】17 【分析】本题考查的是平面展开﹣最短路径问题;先画出圆柱的侧面展开图,再根据勾股定理求解即可. 【详解】解:如图所示, ∵圆柱的底面周长为 , ∴ . ∵ , , ∴ , 在 中, ∴ . 故答案为:17. 4.(2023上·四川成都·八年级校考期中)(1)如图 ,长方体的长为 ,宽为 ,高为 , ,一只蚂蚁如果要沿着长方体的表面从点 爬到点 ,需要爬行的最短路程是 ;(2)如图 ,小明家住 楼,一天他与爸爸去买了一根长 的钢管,如果电梯的长、宽、高分别是 , , ,在不损坏钢管的前提下请你帮小明计算一下这根钢管能否放进电梯内? 【答案】( )20;( )能,理由见解析. 【分析】( )将长方体按不同方式展开,构造直角三角形,分三种情况利用勾股定理求出长,再比较即 可得到答案; ( )利用两点之间线段最短及勾股定理的运用即可; 此题考查了平面展开——最短路径问题,解题的关键是作出辅助线,构造出直角三角形,利用勾股定理求 解. 【详解】解:( ) 如图 ,展开后连接 ,则 就是在表面上 到 的最短距离, 在 中,由勾股定理得: ; 如图 ,展开后连接 ,则 就是在表面上 到 的最短距离, 在 中,由勾股定理得: ; 如图 ,展开后连接 ,则 就是在表面上 到 的最短距离,在 中,由勾股定理得: , ∵ , ∴蚂蚁爬行的最短路程是 , 故答案为: ; 2)如图所示: 由勾股定理得: , ∴ (米)> , ∴钢管能放进电梯. 5.(2022春·贵州黔西·八年级校考阶段练习) (1)如图1,长方体的长、宽、高分别为 , , ,如果用一根细线从点 开始经过4个侧面缠绕一圈 到达点 ,那么所用细线最短需要______ ; (2)如图2,长方体的棱长分别为 , ,假设昆虫甲从盒内顶点 开始以 的速 度在盒子的内部沿棱 向下爬行,同时昆虫乙从盒内顶点 以相同的速度在盒内壁的侧面上爬行,那么 昆虫乙至少需要多长时间才能捕捉到昆虫甲?【答案】(1) (2)昆虫乙至少需要 秒钟才能捕捉到昆虫甲 【分析】(1)将长方体展开,连接 ,结合题意,利用勾股定理求解即可; (2)由题意得最短路径相等,设昆虫甲从顶点沿棱向顶点 爬行的同时,昆虫乙从顶点A按路径 A→E→F爬行,爬行捕捉到昆虫甲需x秒钟,根据勾股定理,列出方程求解即可. 【详解】(1)解:如图,将长方体展开,连接 , ∵长方体的长、宽、高分别为 , , , ∴这根细线最短的长为: m; 故答案为: (2)解:设昆虫甲从顶点 沿棱 向顶点C爬行的同时,昆虫乙从顶点A按路径A→E→F爬行,爬行 捕捉到昆虫甲需x秒钟, 如图,在 中, ∵长方体的棱长分别为 , , ∴ cm, cm, cm, cm,∴ , 解得: . 答:昆虫乙至少需要 秒钟才能捕捉到昆虫甲. 【点睛】本题考查了勾股定理的实际应用,把立体图形转化为平面图形是解本题的关键.