当前位置:首页>文档>专题7.4平面直角坐标系(分层练习)(培优练)-(人教版)_初中数学_七年级数学下册(人教版)_专题突破练习-V4

专题7.4平面直角坐标系(分层练习)(培优练)-(人教版)_初中数学_七年级数学下册(人教版)_专题突破练习-V4

  • 2026-03-27 05:08:44 2026-03-25 16:45:05

文档预览

专题7.4平面直角坐标系(分层练习)(培优练)-(人教版)_初中数学_七年级数学下册(人教版)_专题突破练习-V4
专题7.4平面直角坐标系(分层练习)(培优练)-(人教版)_初中数学_七年级数学下册(人教版)_专题突破练习-V4
专题7.4平面直角坐标系(分层练习)(培优练)-(人教版)_初中数学_七年级数学下册(人教版)_专题突破练习-V4
专题7.4平面直角坐标系(分层练习)(培优练)-(人教版)_初中数学_七年级数学下册(人教版)_专题突破练习-V4
专题7.4平面直角坐标系(分层练习)(培优练)-(人教版)_初中数学_七年级数学下册(人教版)_专题突破练习-V4
专题7.4平面直角坐标系(分层练习)(培优练)-(人教版)_初中数学_七年级数学下册(人教版)_专题突破练习-V4
专题7.4平面直角坐标系(分层练习)(培优练)-(人教版)_初中数学_七年级数学下册(人教版)_专题突破练习-V4
专题7.4平面直角坐标系(分层练习)(培优练)-(人教版)_初中数学_七年级数学下册(人教版)_专题突破练习-V4
专题7.4平面直角坐标系(分层练习)(培优练)-(人教版)_初中数学_七年级数学下册(人教版)_专题突破练习-V4
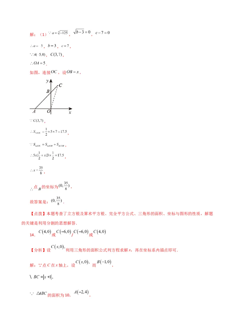
专题7.4平面直角坐标系(分层练习)(培优练)-(人教版)_初中数学_七年级数学下册(人教版)_专题突破练习-V4
专题7.4平面直角坐标系(分层练习)(培优练)-(人教版)_初中数学_七年级数学下册(人教版)_专题突破练习-V4
专题7.4平面直角坐标系(分层练习)(培优练)-(人教版)_初中数学_七年级数学下册(人教版)_专题突破练习-V4
专题7.4平面直角坐标系(分层练习)(培优练)-(人教版)_初中数学_七年级数学下册(人教版)_专题突破练习-V4
专题7.4平面直角坐标系(分层练习)(培优练)-(人教版)_初中数学_七年级数学下册(人教版)_专题突破练习-V4
专题7.4平面直角坐标系(分层练习)(培优练)-(人教版)_初中数学_七年级数学下册(人教版)_专题突破练习-V4
专题7.4平面直角坐标系(分层练习)(培优练)-(人教版)_初中数学_七年级数学下册(人教版)_专题突破练习-V4
专题7.4平面直角坐标系(分层练习)(培优练)-(人教版)_初中数学_七年级数学下册(人教版)_专题突破练习-V4
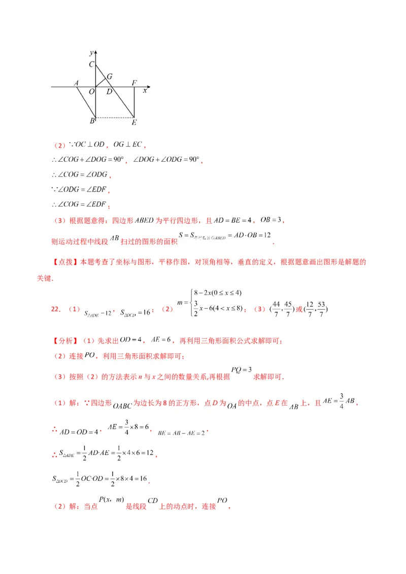
专题7.4平面直角坐标系(分层练习)(培优练)-(人教版)_初中数学_七年级数学下册(人教版)_专题突破练习-V4
专题7.4平面直角坐标系(分层练习)(培优练)-(人教版)_初中数学_七年级数学下册(人教版)_专题突破练习-V4
专题7.4平面直角坐标系(分层练习)(培优练)-(人教版)_初中数学_七年级数学下册(人教版)_专题突破练习-V4
专题7.4平面直角坐标系(分层练习)(培优练)-(人教版)_初中数学_七年级数学下册(人教版)_专题突破练习-V4
专题7.4平面直角坐标系(分层练习)(培优练)-(人教版)_初中数学_七年级数学下册(人教版)_专题突破练习-V4
专题7.4平面直角坐标系(分层练习)(培优练)-(人教版)_初中数学_七年级数学下册(人教版)_专题突破练习-V4
专题7.4平面直角坐标系(分层练习)(培优练)-(人教版)_初中数学_七年级数学下册(人教版)_专题突破练习-V4
专题7.4平面直角坐标系(分层练习)(培优练)-(人教版)_初中数学_七年级数学下册(人教版)_专题突破练习-V4
专题7.4平面直角坐标系(分层练习)(培优练)-(人教版)_初中数学_七年级数学下册(人教版)_专题突破练习-V4
专题7.4平面直角坐标系(分层练习)(培优练)-(人教版)_初中数学_七年级数学下册(人教版)_专题突破练习-V4
专题7.4平面直角坐标系(分层练习)(培优练)-(人教版)_初中数学_七年级数学下册(人教版)_专题突破练习-V4
专题7.4平面直角坐标系(分层练习)(培优练)-(人教版)_初中数学_七年级数学下册(人教版)_专题突破练习-V4
专题7.4平面直角坐标系(分层练习)(培优练)-(人教版)_初中数学_七年级数学下册(人教版)_专题突破练习-V4
专题7.4平面直角坐标系(分层练习)(培优练)-(人教版)_初中数学_七年级数学下册(人教版)_专题突破练习-V4
专题7.4平面直角坐标系(分层练习)(培优练)-(人教版)_初中数学_七年级数学下册(人教版)_专题突破练习-V4
专题7.4平面直角坐标系(分层练习)(培优练)-(人教版)_初中数学_七年级数学下册(人教版)_专题突破练习-V4

文档信息

文档格式
docx
文档大小
3.381 MB
文档页数
33 页
上传时间
2026-03-25 16:45:05

文档内容

专题7.4 平面直角坐标系(分层练习)(培优练) 一、单选题(本大题共10小题,每小题3分,共30分) 1.(2022下·上海嘉定·七年级校考期末)如图,卡通形象“大白”深受大家喜爱,将“大白”放在平 面直角坐标系 中,如果右眼 的坐标是 ,那么这只“大白”的左眼 的坐标是( ) A. B. C. D. 2.(2023下·重庆铜梁·七年级铜梁二中校考期中)在平面直角坐标系 中,点 , , ,若 平分 , 轴, 轴,且 ,则 的值为( ) A.9 B. C. D. 3.(2023下·河南郑州·七年级统考期末)已知点Q的坐标为 ,点P的坐标为 ,若 直线 轴,则点P的坐标为( ) A. B. C. D. 4.(2019下·浙江杭州·九年级期末)已知点 位于第二象限,并且 ,a,b均为整数, 则满足条件的点A个数有( ) A.4个 B.5个 C.6个 D.7个 5.(2019下·江苏南京·八年级南京市宁海中学校考期中)如图,在平面直角坐标系中, 的顶 点坐标分别为 , , , ,则 的值为( )A.8 B.9 C.12 D.11 6.(2023下·重庆沙坪坝·八年级重庆一中校考阶段练习)如图所示,在平面直角 坐标系中,点A、B 分别是坐标轴上的点,将 沿x轴正方向平移 个单位长度得到 ,若 , ,则 四边形 的面积是( ) A. B. C. D. 7.(2023下·北京海淀·七年级人大附中校考阶段练习)已知 ,点P的坐标为 , 点Q的坐标为 ,O为坐标原点,则 满足( ) A.大于135小于180° B.等于135° C.大于90°小于135° D.大于0°小于90° 8.(2022下·河南商丘·七年级校考期中)如图,平移线段AB,则平移过程中AB扫过的面积为( ) A.13 B.14 C.15 D.16 9.(2022下·山东德州·七年级校考阶段练习)下列依次给出点的坐标 , , ,…,依此规律,则第 个点的坐标为( ) A. B. C. D. 10.(2022下·福建龙岩·七年级统考期末)如图,平面直角坐标系 中,点A坐标为 ,过点A 作 轴于点B,过点A作 轴于点C.点E从点O出发,以每秒1个单位长度的速度沿y轴正方 向运动,同时,点D从点B出发,以每秒2个单位长度的速度沿x轴负方向运动,设运动时间为 ,当 时,则t应满足( ) A. B. C. 或 D. 或 二、填空题(本大题共8小题,每小题4分,共32分) 11.(2022下·四川绵阳·七年级统考期末)法国数学家笛卡尔最早引入坐标系,开始用坐标描述图形 中点的位置.如图,中国象棋棋盘的一部分,若其中 的坐标为 , 的坐标为 ,则 的坐标为 . 12.(2021·江苏泰州·校考模拟预测)已知点 、 、 的坐标分别 、 、 若点在 的平分线上,且 ,则点 的坐标为 . 13.(2021下·广西玉林·七年级统考期中)如图,在平面直角坐标系中,已知点 , ,连 接 ,交y轴于B,且 , ,则点B坐标为 . 14.(2021上·陕西西安·八年级西安市曲江第一中学校考期中)已知, 、 ,点C在x 轴上, 的面积为10,请在图中所示的平面直角坐标系内画出 ,并写出C的坐标: . 15.(2022下·浙江台州·七年级校联考期中)已知 , ,…, ,…,(k为正整 数),且满足 , ,则A 的坐标为 . 2022 16.(2023·江苏无锡·模拟预测)已知一平面直角坐标系内有点 ,点 ,点 ,若 在该坐标系内存在一点D,使 轴,且 ,点D的坐标为 . 17.(2022上·七年级单元测试)如图,点O,M,A,B,C在同一平面内.若规定点A的位置记为 ,点B的位置记为 ,则点C的位置应记为 .18.(2022下·浙江台州·七年级统考期末)在平面直角坐标系中,A( ,4),B( ,3),C (1,0), . (1)三角形ABC的面积为 ; (2)将线段AB沿AC方向平移得到线段DP,若P点恰好落在x轴上,则D点的坐标为 . 三、解答题(本大题共6小题,共58分) 19.(8分)(2023下·天津河西·七年级统考期末)在平面直角坐标系中,已知点 , . 如图①,若 ,已知点 . (1)连接 ,当 轴,求 的值; (2)若 的面积是 ,求 的值;20.(8分)(2022下·湖北武汉·七年级校考阶段练习)如图,在平面直角坐标系中, , ,点 在线段 上,且 : : 已知 . (1)求点 、 的坐标; (2)已知点 且 ,平移线段 到 ,点 对应点 , ,求点 的坐标; (3)已知点 且 , ,则 的取值范围是______. 21.(10分)(2023下·辽宁铁岭·七年级校考期末)如图, 点坐标为 点坐标为 . (1)作图,将 沿 轴正方向平移4个单位,得到 ,延长 交 轴于点C,过点 作 ,垂足为 ; (2)在(1)的条件下,求证: ; (3)求运动过程中线段 扫过的图形的面积.22.(10分)(2023下·辽宁大连·七年级统考期末)如图,在平面直角坐标系中,四边形 为边 长为8的正方形,点D为 的中点,点E在 上,且 .点 是线段 和 上的动点, 点 是线段 上的动点,连接PQ. (1)求三角形 和三角形 的面积; (2)用等式表示m与x之间的数量关系; (3)直接写出线段 的长等于3时,点Q的坐标. 23.(10分)(2023下·吉林·七年级统考期末)如图,四边形 是长方形,边 在 轴上, 轴. 已知点 坐标为 ,点 坐标为 . 动点 从点 出发,以每秒 个单位长度的速度 沿折线 向终点 运动,设点 的运动时间为 . (1)点 坐标为 ;(2)连接 ,当直线 将长方形 的面积分为 的两部分时,求 的值; (3)连接 , ,直接写出三角形 的面积为3时,点 的坐标. 24.(12分)(2023下·天津南开·七年级统考期末)如图1,在平面直角坐标系中,点B在第一象限 内. 轴交y轴于点A, 轴交x轴于点C,线段 和 的长分别为m和n,且 ,点D的坐标为 .(1)点B的坐标为____________; (2)点M从D点出发,以每秒6个单位长度的速度沿x轴向右运动,设点M的运动时间为 秒, 连接 ,若记 为 , 为β, 为 . ①如图2,点M在线段 (不包含线段的端点O,C)上运动时,直接写出t的取值范围:并证明: ; ②若在点M开始运动的同时,点N从点A出发以每秒4个单位长度的速度沿轴向上运动,当 时,求t的值,并直接写出相应的 ,β, 之间的关系. 参考答案: 1.C【分析】根据右眼 的坐标是 ,向左平移一格即可得出点 的坐标. 解: 的坐标是 ,左移1个单位得到点 的坐标 , 故选:C. 【点拨】本题考查了平面直角坐标系中点的坐标的确定,从平移角度考虑点的坐标更简便. 2.D 【分析】由题意可知 在一、三象限或二、四象限的平分线上即 ,则有 或 (不合题意,舍去), 在第一象限,结合 轴得 即可求解. 解:由题意可知, 平分 , 轴, 轴,且 , 可知 在一、三象限或二、四象限的平分线上, , 即 或 (不合题意,舍去), 解得: , , 故: 在第一象限, 轴, , , 故选:D. 【点拨】本题考查了坐标系内点的特点;解题的关键是结合题意得到 在一、三象限或二、四 象限的平分线上,从而求解. 3.C 【分析】利用直角坐标系中垂直于 轴或平行于 轴的直线上的点的纵坐标相同的特点进行计算即可. 解:∵点Q的坐标为 ,点P的坐标为 ,直线 轴,∴ , ∴ , ∴ , ∴点P的坐标为 . 故选:C. 【点拨】本题考查了坐标与图形的性质,解题的关键是掌握坐标系中点的坐标的特点和图形的性质. 4.B 【分析】根据第二象限的点的特点可知 ,即可得 , ,计算可得 ;a,b均为整数,所以 或 ;据此分别可求出A点的坐标,即可得本题答案. 解:∵点 位于第二象限, ∴ , ∴ , , ∴ ∴ , ∵a,b均为整数, ∴ 或 , 当 时, , ; 当 时, , 或 或 或 ; 综上所述,满足条件的点A个数有5个. 故选:B. 【点拨】本题主要考查第二象限点的坐标特点及解不等式的知识;熟练掌握个象限点坐标的符号特点, 是解决本题的关键. 5.C 【分析】利用中点坐标公式,构建方程求出a,b的值即可. 解:如图,连接AC、BD交于点F,∵四边形ABCD是平行四边形, ∴AF=CF,BF=DF, ∵ , , , , ∴ , ∴ , ∴ . 故选:C. 【点拨】本题考查的知识点是坐标与图形的性质以及平行四边形的性质,掌握以上知识点是解此题的 关键. 6.C 【分析】根据平移的性质,求出 ,四边形 的面积等于四边形 的面积,求出四边形 的面积是 ,即可的答案. 解: 沿x轴正方向平移 个单位长度得到 , , 四边形 的面积等于四边形 的面积, , , 四边形 的面积 ,四边形 的面积是 , 故选:C. 【点拨】本题考查了平移的性质,解题的关键是求出四边形 的面积. 7.C 【分析】先判断出 ,则点P在第三象限,再证明 ,即点P到y轴的距 离大于点P到x轴的距离,则点P在第三象限的平分线 的上方,且在x轴的下方,由此即可得到答案. 解:∵ , ∴ , , ∴点P在第三象限, ∵ , , ∴ , ∵ , , ∴ , , ∴ , ∴点P到y轴的距离大于点P到x轴的距离, ∴点P在第三象限的平分线 的上方,且在x轴的下方, ∵ , ∴ , 故选C.【点拨】本题主要考查了坐标与图形,算术平方根和立方根,正确得到点P在第三象限的平分线 的上方,在x轴的下方是解题的关键. 8.C 【分析】先证明四边形 是平行四边形,再求出 和 底边 上的高:2−(−1)=3, 从而即可求解. 解:∵平移线段AB得线段 , ∴ , , ∴四边形 是平行四边形, ∵B(−2,−1), (3,−1),A (0,2), ∴ , 底边 上的高:2−(−1)=3, ∴平移过程中AB扫过的面积为5×3=15, 故选: . 【点拨】本题主要考查了平移的性质及坐标与图形,熟练掌握平移的性质是解题的关键. 9.D 【分析】分别找出横坐标的规律与纵坐标的规律即可求出结果; 解:由 , , , 的规律分析可知: 第 个点的横坐标为 ,纵坐标为: 当 时 , ∴第 个点的坐标为 故选:D. 【点拨】本题考查了平面直角坐标系中点的坐标规律;分别找出横坐标的规律与纵坐标的规律是解题 的关键.10.D 【分析】分两种情况,利用运动表示出OD,OE,进而表示出△AOD和△AOE的面积,建立不等式求 解,即可得出结论. 解:∵点A坐标为(6,4), 轴于B, 轴于C,∠COB=90°, ∴四边形ABOC为矩形, ∴AC=OB=6,AB=OC=4, 由运动知, , , 当点D在OB上时,即 , 则 , ∴ , . ∵ , ∴ , ∴ , 即 ; 当点D在BO的延长线上时,即 , 则 , ∴ , . ∵ , ∴ , ∴ . 综上所述,t应满足 或 . 故选:D. 【点拨】本题主要考查了动点问题,点的坐标,三角形的面积,理解利用了坐标系中点的坐标与图形 的线段长度的关系来求解是解答关键. 11.【分析】根据题目中马与兵的坐标,在图中确定原点在马上面三格,再向左一格的位置,然后再确定 炮的位置即可. 解:∵马的坐标为 ,兵的坐标为 , ∴炮的坐标为 , 故答案为: . 【点拨】本题主要考查如何运用直角坐标系确定点的位置,正确得出原点位置是解题关键. 12. 或 【分析】先根据 、 、 三点的坐标判断 的位置与大小,再根据点 在 的平分线上, 且 ,判断点 的位置,并写出点 的坐标. 解: 、 、 ,且 如图,以 为圆心, 长为半径画弧,交 的平分线于两点 点 在 的平分线上,且 当点 在点 处时, 的坐标为 当点 在第一象限内时,由 是等腰直角三角形,可知 的坐标为 故答案为: 或 【点拨】本题主要考查了坐标与图形性质,解决问题的关键是在平面坐标内根据作图找出点 的位置. 13. 【分析】由立方根及算术平方根、完全平方式求出 ,的值,得出 , 两点的坐标,连接 , 设 ,根据三角形 的面积可求出 的值,则答案可求出.解:(1) , , , , , , , . 如图,连接 ,设 , , , , , , 点 的坐标为 , 故答案是: . 【点拨】本题考查了立方根及算术平方根、完全平方公式、三角形的面积、坐标与图形的性质,解题 的关键是利用分割的思想解答. 14. 或 / 或 【分析】设 利用三角形的面积公式列方程求解x,再在坐标系内描点即可. 解:∵点C在x轴上,设 而 , 的面积为10, ,解得: 或 或 画图如下: 故答案为: 或 【点拨】本题考查的是坐标与图形,三角形的面积的计算,掌握“利用面积公式列绝对值方程”是解 本题的关键. 15. /(0.5,0) 【分析】根据 ,yk=1﹣yk ,求出前几个点的坐标会发现规律,这些点每6个为一个循环, ﹣1 根据规律求解即可. 解:∵A(2,1),A(﹣1,0),…,Ak(xk,yk),…,(k为正整数),且满足 ,yk 1 2 =1﹣yk , ﹣1 ∴A( ,1),A(2,0),A(﹣1,1),A( ,0),A(2,1),A(﹣1,0), 3 4 5 6 7 8 通过以上几个点的坐标可以发现规律,这些点每6个为一个循环, ∵2022=6×337, ∴A 的坐标为( ,0). 2022 故答案为:( ,0). 【点拨】本题主要考查规律型:点的坐标,读懂题意,准确找出点的坐标规律是解答此题的关键.16. 或 / 或 【分析】将点 ,点 ,点 的坐标在平面直角坐标系中标出来,由点A和点B的 坐标可知, 轴,从而可求得 的长;再由点C的坐标及 轴,可知点D的横坐标,设点D 的纵坐标为m;然后根据 ,可得关于m的方程,解得m的值即可. 解:将点 ,点 ,点 的坐标在平面直角坐标系中标出来,如图所示: ∵点 ,点 , ∴ 轴, ∴ , ∵点 , 轴, ∴点D的横坐标为 ,设点D的纵坐标为m, ∵ , ∴ , ∴ 或7.∴点D的坐标为 或 . 故答案为: 或 . 【点拨】本题考查了平面直角坐标系中的坐标与图形的性质,明确平面直角坐标系中点的坐标特点并 数形结合是解题的关键. 17. 【分析】根据已知点的坐标意义得出横坐标为线段长度,纵坐标为其与 夹角的度数即可解答. 解:∵定点A的位置记为 ,点B的位置记为 . ∴图中点C的位置应记为 . 故选: . 【点拨】本题主要考查了用坐标确定位置,理解已知得出点的坐标意义是解题关键. 18. 5 / 【分析】(1)过 分别作 轴的垂线,过点 作 轴的垂线,交点 ,根据题意分别求得 的坐标,然后根据 ,即可求解. (2)设 ,则 ,根据平移可得 向下移动 个单位,向右移动 个单位,得到 ,即 ,求得 ,根据三角形面积求得 ,即可求解. 解:(1)过 分别作 轴的垂线,过点 作 轴的垂线,交于点 ,如图,∵A( ,4),B( ,3),C(1,0), ∴ , , , ∴ , , , 故答案为:5; (2) ,设 ,则 , ∵将线段AB沿AC方向平移得到线段DP,若P点恰好落在x轴上, ∴ 向下移动了 个单位,向右移动了 个单位, ∴ 向下移动 个单位,向右移动 个单位,得到 ,即 , 如图,过点 作 轴,于点 ,则 , 过点 作 轴交 于点 ,∵ , ∴ , ∴ , 根据题意 是 沿 方向平移得到的, ∴ , ∵ , 解得: , ∴ , 故答案为: . 【点拨】本题考查了坐标与图形,平移的性质,掌握平移的性质是解题的关键. 19.(1) ;(2) 或 【分析】(1)根据实数的非负性,确定a,b的值,继而确定点的坐标,根据 轴,判定A,C 的横坐标相同,计算即可. (2)分 两种情况,利用图形的分割法表示三角形的面积计算即可. 解:(1)∵ , ∴ , 解得 , ∴ , ∵ 轴, ∴ ,∵ , ∴ . (2)∵ , ∴ , 当 时, ,此时点 在第四象限,如图所示, 连接 ,∵ , 的面积是 , ∴ , 解得 , 故 ; 当 时, ,此时点 在第二象限,如图所示, 连接 , ∵ , 的面积是 ,∴ , 解得 , 故 ; 故m的值为 或 . 【点拨】本题考查了实数的非负性,平行坐标轴的直线上点的坐标,坐标系中分割法表示三角形的面 积,分类思想,熟练掌握实数的非负性,分割法表示三角形的面积是解题的关键. 20.(1) , ;(2) ;(3) 【分析】(1)根据非负性得出 , ,进而得出坐标即可; (2)设 ,根据三角形的面积关系式得出 ,进而根据平移的性质解答即可; (3)设 交 于点 ,则 ,根据面积公式得出不等式解答即可. (1)解: , , , , , , , (2)解:连接: : , ∴ ,设 , 则 , , ∵ , ∴ ∴ ∵ 即 ∴ 解得: ∵根据平移可得, ; (3)解:如图所示,设 交 于点 ,,则 ∴ , , , , , 故 的取值范围是 . 故答案为: . 【点拨】本题是三角形的综合题,熟练掌握非负性,线段平移的性质是解题的关键. 21.(1)见分析;(2)见分析;(3)12 【分析】(1)根据题意画出相应的图形,如图所示; (2)利用同角的余角相等得到一对角相等,再利用对顶角相等,等量代换即可得证; (3)运动过程中线段 扫过的图形为平行四边形 ,根据平移的距离及 的坐标求出 与 的长,即可求出运动过程中线段 扫过的图形的面积. (1)解:如图所示,(2) , , , , , , ; (3)根据题意得:四边形 为平行四边形,且 , , 则运动过程中线段 扫过的图形的面积 . 【点拨】本题考查了坐标与图形,平移作图,对顶角相等,垂直的定义,根据题意画出图形是解题的 关键. 22.(1) , ;(2) ;(3) 或 【分析】(1)先求出 , ,再利用三角形面积公式求解即可; (2)连接 ,利用三角形面积求解即可; (3)按照(2)的方法表示n与x之间的数量关系,再根据 求解即可. (1)解:∵四边形 为边长为8的正方形,点D为 的中点,点E在 上,且 , ∴ , , , ∴ , . (2)解:当点 是线段 上的动点时,连接 ,, , ∵ , ∴ , ∴ ; 当点 是线段 上的动点时,连接 , , , ∵ , ∴ , ∴ . 综上, , (3)解:连接 , , , ∵ , ∴ ,∴ , 当点 是线段 上的动点时, , 即 , 解得, , , 点Q的坐标为 . 当点 是线段 上的动点时, , 即 , 解得, . , 点Q的坐标为 . 综上,点Q的坐标为 或 . 【点拨】本题考查图形与坐标,解题关键是熟练运用面积得出点的横纵坐标的关系,列出方程解决问 题. 23.(1) ;(2) 或 ;(3)满足条件的点 的坐标为 或 . 【分析】(1)利用矩形的性质求出 , ,可得结论; (2)分两种情形:如图1中,当点 在线段 上时,如图2中,当点 在线段 上时,分别构建 方程求解; (3)当点 与 重合时, 的面积为3,此时 ,过点 作 交 于点 ,此时 , 的面积为3,求出 坐标即可.(1)解: 四边形 是矩形, , , , , , 故答案为: ; (2)解:如图1中,当点 在线段 上时, 由题意, , , . 如图2中,当点 在线段 上时, 由题意, , , . 综上所述,满足条件的 的值为 或 ; (3)解:如图3中,当点 与 重合时, 的面积为3,此时 , 过点 作 交 于点 ,此时 , 的面积为3, , 综上所述,满足条件的点 的坐标为 或 . 【点拨】本题属于四边形综合题,考查了矩形的性质,三角形的面积等知识,解题的关键是学会用分 类讨论的思想思考问题,学会利用参数构建方程解决问题. 24.(1) ;(2)①见分析;② , ; , 【分析】(1)利用非负性求出 的值,即可得到点B的坐标; (2)①根据点M在线段 (不包含线段的端点O,C)上运动,求出 的取值范围,过点M作 ,利用平行线的判定和性质,进行求解即可;②分点M在点C左侧和点M在点C右侧,两种情 况进行讨论求解即可. (1)解:∵ , ∴ , 解得: , ∵ , , ∴ , 故答案: . (2)解:①∵D的坐标为 ,M从D点出发,以每秒6个单位长度的速度沿x轴向右运动, ∴ , ∵ ,∴ , ∴ , ∴ 到达 的时间为: , 到达 的时间为: , ∴当点M在线段 (不包含线段的端点O,C)上运动时: ; 证明∶过点M作 , ∵ , ∴ , ∴ , , ∴ , 即 ; ②∵点N从 出发以每秒4个单位长度的速度沿y轴向上运动, ∴ 当点M在点C左侧时, , ∵ , ∴ , 解得 . 此时 ,如图,点M在点O左侧,过点 作 , ∵ , ∴ , ∴ , ∵ , ∴ ; 当点M在点C右侧时, , ∵ , ∴ , 解得 . 此时 ,如图3,点M在点C右侧, 同法可得: . 【点拨】本题考查坐标与图形,平行线的性质和判定.解题的关键是添加辅助线,构造平行线.