当前位置:首页>文档>第八章解析几何(直线与圆、圆锥曲线)-备战2024年高考数学专题测试模拟卷(新高考专用)(解析卷)_2.2025数学总复习_2024年新高考资料_3.2024专项复习

第八章解析几何(直线与圆、圆锥曲线)-备战2024年高考数学专题测试模拟卷(新高考专用)(解析卷)_2.2025数学总复习_2024年新高考资料_3.2024专项复习

  • 2026-04-01 01:28:31 2026-03-26 15:16:48

文档预览

第八章解析几何(直线与圆、圆锥曲线)-备战2024年高考数学专题测试模拟卷(新高考专用)(解析卷)_2.2025数学总复习_2024年新高考资料_3.2024专项复习
第八章解析几何(直线与圆、圆锥曲线)-备战2024年高考数学专题测试模拟卷(新高考专用)(解析卷)_2.2025数学总复习_2024年新高考资料_3.2024专项复习
第八章解析几何(直线与圆、圆锥曲线)-备战2024年高考数学专题测试模拟卷(新高考专用)(解析卷)_2.2025数学总复习_2024年新高考资料_3.2024专项复习
第八章解析几何(直线与圆、圆锥曲线)-备战2024年高考数学专题测试模拟卷(新高考专用)(解析卷)_2.2025数学总复习_2024年新高考资料_3.2024专项复习
第八章解析几何(直线与圆、圆锥曲线)-备战2024年高考数学专题测试模拟卷(新高考专用)(解析卷)_2.2025数学总复习_2024年新高考资料_3.2024专项复习
第八章解析几何(直线与圆、圆锥曲线)-备战2024年高考数学专题测试模拟卷(新高考专用)(解析卷)_2.2025数学总复习_2024年新高考资料_3.2024专项复习
第八章解析几何(直线与圆、圆锥曲线)-备战2024年高考数学专题测试模拟卷(新高考专用)(解析卷)_2.2025数学总复习_2024年新高考资料_3.2024专项复习
第八章解析几何(直线与圆、圆锥曲线)-备战2024年高考数学专题测试模拟卷(新高考专用)(解析卷)_2.2025数学总复习_2024年新高考资料_3.2024专项复习
第八章解析几何(直线与圆、圆锥曲线)-备战2024年高考数学专题测试模拟卷(新高考专用)(解析卷)_2.2025数学总复习_2024年新高考资料_3.2024专项复习
第八章解析几何(直线与圆、圆锥曲线)-备战2024年高考数学专题测试模拟卷(新高考专用)(解析卷)_2.2025数学总复习_2024年新高考资料_3.2024专项复习
第八章解析几何(直线与圆、圆锥曲线)-备战2024年高考数学专题测试模拟卷(新高考专用)(解析卷)_2.2025数学总复习_2024年新高考资料_3.2024专项复习
第八章解析几何(直线与圆、圆锥曲线)-备战2024年高考数学专题测试模拟卷(新高考专用)(解析卷)_2.2025数学总复习_2024年新高考资料_3.2024专项复习
第八章解析几何(直线与圆、圆锥曲线)-备战2024年高考数学专题测试模拟卷(新高考专用)(解析卷)_2.2025数学总复习_2024年新高考资料_3.2024专项复习
第八章解析几何(直线与圆、圆锥曲线)-备战2024年高考数学专题测试模拟卷(新高考专用)(解析卷)_2.2025数学总复习_2024年新高考资料_3.2024专项复习
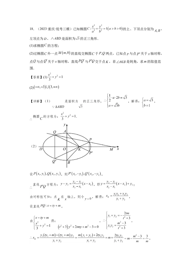
第八章解析几何(直线与圆、圆锥曲线)-备战2024年高考数学专题测试模拟卷(新高考专用)(解析卷)_2.2025数学总复习_2024年新高考资料_3.2024专项复习
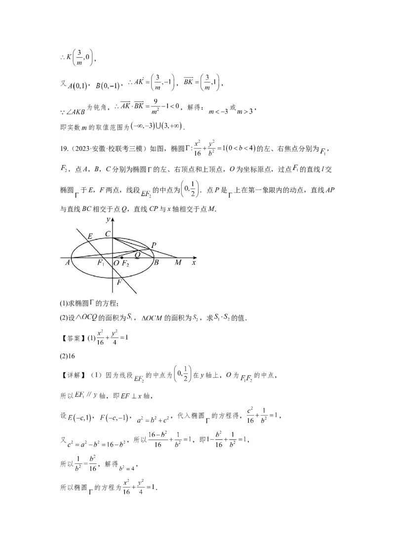
第八章解析几何(直线与圆、圆锥曲线)-备战2024年高考数学专题测试模拟卷(新高考专用)(解析卷)_2.2025数学总复习_2024年新高考资料_3.2024专项复习
第八章解析几何(直线与圆、圆锥曲线)-备战2024年高考数学专题测试模拟卷(新高考专用)(解析卷)_2.2025数学总复习_2024年新高考资料_3.2024专项复习
第八章解析几何(直线与圆、圆锥曲线)-备战2024年高考数学专题测试模拟卷(新高考专用)(解析卷)_2.2025数学总复习_2024年新高考资料_3.2024专项复习

文档信息

文档格式
docx
文档大小
1.241 MB
文档页数
18 页
上传时间
2026-03-26 15:16:48

文档内容

备战2024年高考阶段性检测名校重组卷(新高考) 解析几何 本试卷22小题,满分150分。考试用时120分钟 一、单项选择题:本题共8小题,每小题5分,共40分。在每小题给出的四个选项中,只 有一项是符合题目要求的。 1.(2023·广东·高三统考模拟预测)设 ,则“ ”是“直线 与直线 平行”的( ) A.充分不必要条件 B.必要不充分条件 C.充要条件 D.既不充分也不必要条件 【答案】A 【解析】若直线 与直线 平行, 则 ,解得 或 , 经检验 或 时两直线平行. 故“ ”能得到“直线 与直线 平行”,但是 “直线 与直线 平行”不能得到“ ” 故选:A 2.(2023·南京模拟)已知椭圆的两个焦点分别为F(0,2), F(0,-2),P为椭圆上任意一点, 1 2 若|FF|是|PF|,|PF|的等差中项,则此椭圆的标准方程为( ) 1 2 1 2 A.+=1 B.+=1 C.+=1 D.+=1 【答案】 D 【解析】 由题意|PF|+|PF|=2|FF|=8=2a,故a=4,又c=2,则b=2, 1 2 1 2 焦点在y轴上,故椭圆的标准方程为+=1. 3.(2023·广东江门·统考模拟预测)若直线 与圆 相交于P,Q两点, 且 (其中O为坐标原点),则b的值为( ) A.1 B. C. D. 【答案】C 【解析】 ,圆的半径为1, , 圆心 到直线 的距离 , ,解得 . 故选:C4.(2023·昆明模拟)已知椭圆+=1的两个焦点为F ,F ,过F 的直线交椭圆于M,N两 1 2 2 点,则△FMN的周长为( ) 1 A.2 B.4 C.6 D.8 【答案】 D 【解析】 由+=1得a=2. 因为M,N是椭圆上的点,F,F 是椭圆的焦点, 1 2 所以|MF |+|MF |=2a,|NF |+|NF |=2a, 1 2 1 2 因此△FMN的周长为|MF |+|MN|+|NF |=|MF |+|MF |+|NF |+|NF |=2a+2a=4a=8. 1 1 1 1 2 2 1 5.(2023·湖南长沙·长沙市明德中学校考三模)已知抛物线 的焦点为 ,准线为 , 为 上一点, ,垂足为 , 与 轴交点为 ,若 , 且 的面积为 ,则 的方程为( ) A. B. C. D. 【答案】A 【详解】由抛物线定义知 ,所以 为等边三角形, 为 的中点, 所以 , , 的面积 ,所以 的方程为 . 故选:A. 6.(2023·江苏·统考三模)已知F为椭圆C: 的右焦点,P为C上一点,Q为圆 M: 上一点,则PQ+PF的最大值为( ) A.3 B.6 C. D. 【答案】D【详解】圆M: 的圆心为 , 设椭圆的左焦点为 ,如下图,由椭圆的定义知, , 所以 ,所以 , 当且仅当 三点在一条直线上时取等, , , , . 故选:D. 7.(2023·浙江·统考二模)已知 是圆 上一点, 是圆 的直径,弦 的中点为 .若点 在第一象限,直线 、 的斜率之和为0,则直线 的斜率是 ( ) A. B. C. D. 【答案】C 【分析】由题可得圆的方程,设直线 的斜率为 ,则直线 的方程为 ,代 入圆的方程可得 的坐标,从而可得 的坐标,于是根据斜率关系可解得 的值,由于 点 在第一象限,对 的值进行取舍,即可得所求. 【详解】已知 是圆 上一点,所以 设直线 的斜率为 ,则直线 的方程为 ,所以 , 则 , 恒成立,所以 由于 ,所以 ,则 ,由于 是圆 的直径, 所以 ,则弦 的中点为 坐标为因为直线 、 的斜率之和为0,所以 ,整理得 解得 或 ,又点 在第一象限,所以 ,故 ,即直线 的斜率是 . 故选:C. 8.(2022·济南模拟)已知抛物线C:y2=4x,圆F:(x-1)2+y2=1,直线l:y=k(x-1)(k≠0) 自上而下顺次与上述两曲线交于M,M,M,M 四点,则下列各式结果为定值的是( ) 1 2 3 4 A.|MM|·|MM| B.|FM|·|FM| 1 2 3 4 1 4 C.|MM|·|MM| D.|FM|·|MM| 1 3 2 4 1 1 2 【答案】 A 【解析】 如图, 分别设M,M,M,M 四点的横坐标为x,x,x,x, 1 2 3 4 1 2 3 4 由y2=4x得焦点F(1,0),准线l:x=-1, 0 由定义得,|MF|=x+1, 1 1 又|MF|=|MM|+1, 1 1 2 所以|MM|=x, 1 2 1 同理|MM|=x, 3 4 4 由消去y, 整理得k2x2-(2k2+4)x+k2=0(k≠0), 设M(x,y),M(x,y), 1 1 1 4 4 4 则xx=1,即|MM|·|MM|=1. 1 4 1 2 3 4二、多项选择题:本题共4小题,每小题5分,共20分。在每小题给出的选项中,有多项 符合题目要求。全部选对的得5分,部分选对的得2分,有选错的得0分。 9.(2023·广东肇庆·统考一模)已知圆 ,直线 ,则( ) A.直线 过定点 B.直线 与圆 可能相离 C.圆 被 轴截得的弦长为 D.圆 被直线 截得的弦长最短时,直线 的方程为 【答案】AC 【解析】直线 ,由 ,得 ,即l恒过定点 ,故A正确; 点 与圆心 的距离 ,故直线l与圆C恒相交,故B错误; 令 ,则 ,可得 ,故圆C被y轴截得的弦长为 ,故 C正确; 要使直线l被圆C截得弦长最短,只需 与圆心 连线垂直于直线 , 所以直线l的斜率 ,可得 ,故直线l为 ,故D错误. 故选:AC. 10.(2023·安徽马鞍山·统考三模)已知抛物线 : 的焦点为 ,点 为 坐标原点,点 在抛物线上,直线 与抛物线 交于点 ,则( ) A. 的准线方程为 B. C.直线 的斜率为 D. 【答案】CD 【详解】由题意可知, ,得 ,则抛物线方程为 ,所以抛物线的准线方 程为 ,故A错误; 抛物线的焦点 , ,则直线 的方程为 ,与抛物线方程联立 ,得 , 设 , ,,则 ,故B错误,C正确; ,得 或 , 当 时, ,当 时, , 即 , , ,故D正确. 故选:CD 11..(2023·湖北四地联考)已知椭圆C:+=1(a>b>0)的左、右焦点分别为F ,F ,长轴长 1 2 为4,点P(,1)在椭圆C外,点Q在椭圆C上,则( ) A.椭圆C的离心率的取值范围是 B.当椭圆C的离心率为时,|QF|的取值范围是[2-,2+] 1 C.存在点Q使得QF1·QF2=0 D.+的最小值为1 【答案】 BCD 【解析】 由题意得a=2, 又点P(,1)在椭圆C外, 则+>1,解得b<, 所以椭圆C的离心率e==>, 即椭圆C的离心率的取值范围是 ,故A不正确; 当e=时,c=,b==1, 所以|QF|的取值范围是[a-c,a+c], 1 即[2-,2+],故B正确; 设椭圆的上顶点为A(0,b),F(-c,0),F(c,0), 1 2 由于AF1·AF2=b2-c2=2b2-a2<0, 所以存在点Q使得QF1·QF2=0,故C正确; (|QF|+|QF|) =2++≥2+2=4, 1 2 当且仅当|QF|=|QF|=2时,等号成立, 1 2 又|QF|+|QF|=4, 1 2 所以+≥1,故D正确.12.(2023·湖南邵阳·统考三模)已知双曲线C 的左、右焦点分别为 , ,双曲线具有如下光学性质:从右焦点 发出的光线m交双曲线右支于点P,经双曲线 反射后,反射光线n的反向延长线过左焦点 ,如图所示.若双曲线C的一条渐近线的方程 为 ,则下列结论正确的有( ) A.双曲线C的方程为 B.若 ,则 C.若射线n所在直线的斜率为k,则 D.当n过点M(8,5)时,光由 所经过的路程为10 【答案】AC 【详解】对于A ,由题意可知, 因为双曲线C的一条渐近线的方程为 , 所以 ,即 ,所以双曲线的方程为 故A正确; 对于B,由 ,得 ,解得 , 在 中, ,由勾股定理及双曲线的定义知, , 即 ,解得 ,故B错误; 对于C,由题意可知,双曲线的渐近线方程为 , 由双曲线的性质可得射线 所在直线的斜率范围为 ,故C正确; 对于D,由题意可知, ,当 过点 时, 由双曲线定义可得光由 所经过的路程为 ,故D错误. 故选:AC.三、填空题:本大题共4小题,每小题5分,共20分。 13.(2023·浙江台州·统考二模)已知椭圆 经过点 和 , 则椭圆 的离心率为___________. 【答案】 /0.5 【分析】通过已知两个点求出椭圆方程即可得到离心率. 【详解】将两个点代入椭圆方程得: ,解得 ,故 . 故答案为: 14.(2023·浙江·统考二模)已知圆 ,若 被两坐标轴截得的弦 长相等,则 __________. 【答案】 / 【分析】 被两坐标轴截得的弦长相等,则圆心 到两坐标轴的距离相等,即圆心的横纵 坐标的绝对值相等可得答案. 【详解】圆的弦长为 ( 为圆的半径, 为圆心到弦的距离), 若 被两坐标轴截得的弦长相等,则圆心 到两坐标轴的距离相等, 即圆心的横纵坐标的绝对值相等,即 ,解得 . 故答案为: . 15.(2023·长沙模拟)已知抛物线C:y2=16x,倾斜角为的直线l过焦点F交抛物线于A,B 两点,O为坐标原点,则△ABO的面积为________. 【答案】 64 【解析】 方法一 (常规解法) 依题意,抛物线C:y2=16x的焦点为F(4,0), 直线l的方程为x=y+4. 由 消去x,整理得y2-16y-64=0. 设A(x,y),B(x,y), 1 1 2 2 则y+y=16,yy=-64. 1 2 1 2 S =|y-y|·|OF|=2 △OAB 1 2=2=64. 方法二 (活用结论) 依题意,抛物线y2=16x,p=8. 又l的倾斜角α=. 所以S ===64. △OAB 16.(2023·辽宁大连·统考三模)已知 为坐标原点, 是双曲线 的左、右焦点,双曲线 上一点 满足 ,且 ,则双曲线 的渐近线方程为__________.点A是双曲线 上一定点,过点 的动直线 与双曲线 交于 两点, 为定值 ,则当 时实数 的 值为__________. 【答案】 【详解】(1)根据 ,取 的中点 ,易知 , 可知 , ,即△ 为直角三角形. 设 ,依题意有 ,解得 , 根据勾股定理得 ,解得 , 故双曲线为等轴双曲线,渐近线为 . (2)当 时,双曲线 , 设直线 , 联立方程组 ,化简得 , ,, 因为 为定值 ,所以 法一: , , ,解得 , 法二: ,解得 . 故答案为: , 四、解答题:本大题共6小题,共70分,请在答题卡指定区域内作答,解答时应写出文字 说明、证明过程或演算步骤。 17.(2023·衡水模拟)已知椭圆C:+=1(a>b>0)的左、右焦点分别为F ,F ,离心率为,短 1 2 轴顶点分别为M,N,四边形MF NF 的面积为32. 1 2 (1)求椭圆C的标准方程; (2)直线l交椭圆C于A,B两点,若AB的中点坐标为(-2,1),求直线l的方程. 【解析】 (1)因为离心率e==,所以a=c, 因为a2=b2+c2,所以b=c. 因为四边形MF NF 的面积为32,所以2bc=32,所以b=c=4,a=4, 1 2 故椭圆C的标准方程为+=1. (2)由题意得,直线l的斜率存在. 设A(x,y),B(x,y),则 1 1 2 2 两式相减得+=0, 所以=-·. 因为AB的中点坐标为(-2,1)在椭圆内部,所以=1,所以直线l的斜率为1, 故直线l的方程为y-1=x+2,即x-y+3=0.18.(2023·重庆·统考三模)已知椭圆 的上、下顶点分别为 , 左顶点为 , 是面积为 的正三角形. (1)求椭圆 的方程; (2)过椭圆 外一点 的直线交椭圆 于 两点,已知点 与点 关于 轴对称, 点 与点 关于 轴对称,直线 与 交于点 ,若 是钝角,求 的取值范 围. 【答案】(1) (2) 【详解】(1) 是面积为 的正三角形, ,解得: , 椭圆 的方程为: . (2) 设 ,则 , 直线 方程为: ,即 ; 由对称性可知:点 在 轴上,则令 ,解得: , 设直线 , 由 得: , , ,, 又 , , , , 为钝角, ,解得: 或 , 即实数 的取值范围为 . 19.(2023·安徽·校联考三模)如图,椭圆 的左、右焦点分别为 , ,点A,B,C分别为椭圆 的左、右顶点和上顶点,O为坐标原点,过点 的直线l交 椭圆 于E,F两点,线段 的中点为 .点P是 上在第一象限内的动点,直线AP 与直线BC相交于点Q,直线CP与x轴相交于点M. (1)求椭圆 的方程; (2)设 的面积为 , 的面积为 ,求 的值. 【答案】(1) (2)16 【详解】(1)因为线段 的中点为 在y轴上,O为 的中点, 所以 轴,即 轴, 设 , , ,代入椭圆 的方程得, , 又 ,所以 ,即 , 所以 ,解得 , 所以椭圆 的方程为 .(2)由题意可得 , ,所以直线BC的方程的截距式为 ,即为 . 设直线AP的斜率为k,点P的坐标为 ,则AP的方程为 , 联立 得 , 所以 ,即 , . 所以 .直线CP的方程为 , 设点M,Q的坐标分别为 , , 在 中,令 得 . 解 得 . 所以 . 20.(2023·安徽蚌埠·统考三模)已知 , 是双曲线 的左、右顶点, 为双 曲线上与 , 不重合的点. (1)设直线 , 的斜率分别为 , ,求证: 是定值; (2)设直线 与直线 交于点 , 与 轴交于点 ,点 满足 ,直线 与 双曲线 交于点 (与 , , 不重合).判断直线 是否过定点,若直线 过定 点,求出该定点坐标;若直线 不过定点,请说明理由. 【答案】(1)证明见解析 (2)直线MN过定点 【详解】(1)设 ,由题意 ,且 , 所以 (2)设 , , ,BN的斜率为 ,由 知:,由(1)知: 所以 设MN: ,与双曲线 联立, 得: , 所以 , 所以 , 即 ﹐ 则 整理得 ,解得 或 (舍), 故直线MN过定点 . 21.(2023·山西运城·统考三模)已知抛物线 的焦点为 , 分别为 上两个不同的动点, 为坐标原点,当 为等边三角形时, . (1)求 的标准方程; (2)抛物线 在第一象限的部分是否存在点 ,使得点 满足 ,且点 到直线 的距离为2?若存在,求出点 的坐标及直线 的方程;若不存在,请说明理由. 【答案】(1) (2)存在,点 ,直线 的方程为 . 【详解】(1)由对称性可知当 为等边三角形时, 两点关于 轴对称, 当 为等边三角形时, 的高为 , 由题意知点 在 上,代入 ,得 ,解得 , 所以 的标准方程为 . (2)由(1)知 ,根据题意可知直线 的斜率不为0, 设直线 的方程为 , , , ,联立 ,得 , 所以 ,即 ,且 , , 所以 , 由 ,得 , 所以 ,所以 ,即 , 又点 在 上,所以 ,即 ,① 所以 ,解得 , 又点 在第一象限,所以 ,所以 . 又点 到直线 的距离 ,化简得 ,② 联立①②解得 ,或 (舍去),或 (舍去). 此时点 ,直线 的方程为 . 22.(2023·山东淄博·统考二模)“工艺折纸”是一种把纸张折成各种不同形状物品的艺术 活动,在我国源远流长.某些折纸活动蕴含丰富的数学内容,例如:用一张圆形纸片,按如 下步骤折纸(如图) 步骤1:设圆心是 ,在圆内异于圆心处取一点,标记为 ; 步骤2:把纸片折叠,使圆周正好通过点 ; 步骤3:把纸片展开,并留下一道折痕; 步骤4:不断重复步骤2和3,就能得到越来越多的折痕.则这些折痕所围成的图形是一个椭 圆. 现取半径为 的圆形纸片,定点 到圆心 的距离为 ,按上述方法折纸.以向量 的方向为 轴正方向,线段 中点为原点建立平面直角坐标系. (1)求折痕围成的椭圆 的标准方程;(2)已知点 是圆 上任意一点,过点 做椭圆 的两条切线,切点分别是 ,求 面积的最大值,并确定此时点 的坐标. 注:椭圆: 上任意一点 处的切线方程是: . 【答案】(1) ; (2) , . 【分析】(1)利用椭圆的定义结合条件即得; (2)由题可得直线 的方程是 ,然后利用韦达定理法结合条件可表示出 ,然后利用换元法利用导数求函数的最值即得. 【详解】(1)设 为椭圆上一点, 则 , 所以 点轨迹是以 为焦点,长轴长为 的椭圆,设椭圆的方程为 , 所以 ,则 , 所以椭圆方程为 ; (2)设 ,则 , 切线 方程: ,切线 方程: ,两直线都经过点 , 所以,得 , ,从而直线 的方程是: , 由 ,得 , 由韦达定理,得 , , 点 到直线 的距离 , ,其中 , 令 ,则 , 令 ,则 , 在 上递增, ,即 时, 的面积取到最大值 ,此时点 .