当前位置:首页>文档>有机推断题(解析版)_05高考化学_新高考复习资料_2024年新高考资料_一轮复习资料_2024届高三化学一轮复习—专项训练

有机推断题(解析版)_05高考化学_新高考复习资料_2024年新高考资料_一轮复习资料_2024届高三化学一轮复习—专项训练

  • 2026-05-08 14:58:21 2026-03-28 15:25:53

文档预览

有机推断题(解析版)_05高考化学_新高考复习资料_2024年新高考资料_一轮复习资料_2024届高三化学一轮复习—专项训练
有机推断题(解析版)_05高考化学_新高考复习资料_2024年新高考资料_一轮复习资料_2024届高三化学一轮复习—专项训练
有机推断题(解析版)_05高考化学_新高考复习资料_2024年新高考资料_一轮复习资料_2024届高三化学一轮复习—专项训练
有机推断题(解析版)_05高考化学_新高考复习资料_2024年新高考资料_一轮复习资料_2024届高三化学一轮复习—专项训练
有机推断题(解析版)_05高考化学_新高考复习资料_2024年新高考资料_一轮复习资料_2024届高三化学一轮复习—专项训练
有机推断题(解析版)_05高考化学_新高考复习资料_2024年新高考资料_一轮复习资料_2024届高三化学一轮复习—专项训练
有机推断题(解析版)_05高考化学_新高考复习资料_2024年新高考资料_一轮复习资料_2024届高三化学一轮复习—专项训练
有机推断题(解析版)_05高考化学_新高考复习资料_2024年新高考资料_一轮复习资料_2024届高三化学一轮复习—专项训练
有机推断题(解析版)_05高考化学_新高考复习资料_2024年新高考资料_一轮复习资料_2024届高三化学一轮复习—专项训练
有机推断题(解析版)_05高考化学_新高考复习资料_2024年新高考资料_一轮复习资料_2024届高三化学一轮复习—专项训练
有机推断题(解析版)_05高考化学_新高考复习资料_2024年新高考资料_一轮复习资料_2024届高三化学一轮复习—专项训练
有机推断题(解析版)_05高考化学_新高考复习资料_2024年新高考资料_一轮复习资料_2024届高三化学一轮复习—专项训练
有机推断题(解析版)_05高考化学_新高考复习资料_2024年新高考资料_一轮复习资料_2024届高三化学一轮复习—专项训练
有机推断题(解析版)_05高考化学_新高考复习资料_2024年新高考资料_一轮复习资料_2024届高三化学一轮复习—专项训练
有机推断题(解析版)_05高考化学_新高考复习资料_2024年新高考资料_一轮复习资料_2024届高三化学一轮复习—专项训练
有机推断题(解析版)_05高考化学_新高考复习资料_2024年新高考资料_一轮复习资料_2024届高三化学一轮复习—专项训练
有机推断题(解析版)_05高考化学_新高考复习资料_2024年新高考资料_一轮复习资料_2024届高三化学一轮复习—专项训练
有机推断题(解析版)_05高考化学_新高考复习资料_2024年新高考资料_一轮复习资料_2024届高三化学一轮复习—专项训练
有机推断题(解析版)_05高考化学_新高考复习资料_2024年新高考资料_一轮复习资料_2024届高三化学一轮复习—专项训练
有机推断题(解析版)_05高考化学_新高考复习资料_2024年新高考资料_一轮复习资料_2024届高三化学一轮复习—专项训练
有机推断题(解析版)_05高考化学_新高考复习资料_2024年新高考资料_一轮复习资料_2024届高三化学一轮复习—专项训练
有机推断题(解析版)_05高考化学_新高考复习资料_2024年新高考资料_一轮复习资料_2024届高三化学一轮复习—专项训练
有机推断题(解析版)_05高考化学_新高考复习资料_2024年新高考资料_一轮复习资料_2024届高三化学一轮复习—专项训练
有机推断题(解析版)_05高考化学_新高考复习资料_2024年新高考资料_一轮复习资料_2024届高三化学一轮复习—专项训练
有机推断题(解析版)_05高考化学_新高考复习资料_2024年新高考资料_一轮复习资料_2024届高三化学一轮复习—专项训练
有机推断题(解析版)_05高考化学_新高考复习资料_2024年新高考资料_一轮复习资料_2024届高三化学一轮复习—专项训练
有机推断题(解析版)_05高考化学_新高考复习资料_2024年新高考资料_一轮复习资料_2024届高三化学一轮复习—专项训练
有机推断题(解析版)_05高考化学_新高考复习资料_2024年新高考资料_一轮复习资料_2024届高三化学一轮复习—专项训练
有机推断题(解析版)_05高考化学_新高考复习资料_2024年新高考资料_一轮复习资料_2024届高三化学一轮复习—专项训练
有机推断题(解析版)_05高考化学_新高考复习资料_2024年新高考资料_一轮复习资料_2024届高三化学一轮复习—专项训练
有机推断题(解析版)_05高考化学_新高考复习资料_2024年新高考资料_一轮复习资料_2024届高三化学一轮复习—专项训练
有机推断题(解析版)_05高考化学_新高考复习资料_2024年新高考资料_一轮复习资料_2024届高三化学一轮复习—专项训练
有机推断题(解析版)_05高考化学_新高考复习资料_2024年新高考资料_一轮复习资料_2024届高三化学一轮复习—专项训练
有机推断题(解析版)_05高考化学_新高考复习资料_2024年新高考资料_一轮复习资料_2024届高三化学一轮复习—专项训练
有机推断题(解析版)_05高考化学_新高考复习资料_2024年新高考资料_一轮复习资料_2024届高三化学一轮复习—专项训练
有机推断题(解析版)_05高考化学_新高考复习资料_2024年新高考资料_一轮复习资料_2024届高三化学一轮复习—专项训练
有机推断题(解析版)_05高考化学_新高考复习资料_2024年新高考资料_一轮复习资料_2024届高三化学一轮复习—专项训练
有机推断题(解析版)_05高考化学_新高考复习资料_2024年新高考资料_一轮复习资料_2024届高三化学一轮复习—专项训练
有机推断题(解析版)_05高考化学_新高考复习资料_2024年新高考资料_一轮复习资料_2024届高三化学一轮复习—专项训练
有机推断题(解析版)_05高考化学_新高考复习资料_2024年新高考资料_一轮复习资料_2024届高三化学一轮复习—专项训练
有机推断题(解析版)_05高考化学_新高考复习资料_2024年新高考资料_一轮复习资料_2024届高三化学一轮复习—专项训练
有机推断题(解析版)_05高考化学_新高考复习资料_2024年新高考资料_一轮复习资料_2024届高三化学一轮复习—专项训练
有机推断题(解析版)_05高考化学_新高考复习资料_2024年新高考资料_一轮复习资料_2024届高三化学一轮复习—专项训练
有机推断题(解析版)_05高考化学_新高考复习资料_2024年新高考资料_一轮复习资料_2024届高三化学一轮复习—专项训练
有机推断题(解析版)_05高考化学_新高考复习资料_2024年新高考资料_一轮复习资料_2024届高三化学一轮复习—专项训练
有机推断题(解析版)_05高考化学_新高考复习资料_2024年新高考资料_一轮复习资料_2024届高三化学一轮复习—专项训练
有机推断题(解析版)_05高考化学_新高考复习资料_2024年新高考资料_一轮复习资料_2024届高三化学一轮复习—专项训练
有机推断题(解析版)_05高考化学_新高考复习资料_2024年新高考资料_一轮复习资料_2024届高三化学一轮复习—专项训练
有机推断题(解析版)_05高考化学_新高考复习资料_2024年新高考资料_一轮复习资料_2024届高三化学一轮复习—专项训练
有机推断题(解析版)_05高考化学_新高考复习资料_2024年新高考资料_一轮复习资料_2024届高三化学一轮复习—专项训练
有机推断题(解析版)_05高考化学_新高考复习资料_2024年新高考资料_一轮复习资料_2024届高三化学一轮复习—专项训练
有机推断题(解析版)_05高考化学_新高考复习资料_2024年新高考资料_一轮复习资料_2024届高三化学一轮复习—专项训练
有机推断题(解析版)_05高考化学_新高考复习资料_2024年新高考资料_一轮复习资料_2024届高三化学一轮复习—专项训练
有机推断题(解析版)_05高考化学_新高考复习资料_2024年新高考资料_一轮复习资料_2024届高三化学一轮复习—专项训练
有机推断题(解析版)_05高考化学_新高考复习资料_2024年新高考资料_一轮复习资料_2024届高三化学一轮复习—专项训练
有机推断题(解析版)_05高考化学_新高考复习资料_2024年新高考资料_一轮复习资料_2024届高三化学一轮复习—专项训练
有机推断题(解析版)_05高考化学_新高考复习资料_2024年新高考资料_一轮复习资料_2024届高三化学一轮复习—专项训练
有机推断题(解析版)_05高考化学_新高考复习资料_2024年新高考资料_一轮复习资料_2024届高三化学一轮复习—专项训练
有机推断题(解析版)_05高考化学_新高考复习资料_2024年新高考资料_一轮复习资料_2024届高三化学一轮复习—专项训练
有机推断题(解析版)_05高考化学_新高考复习资料_2024年新高考资料_一轮复习资料_2024届高三化学一轮复习—专项训练
有机推断题(解析版)_05高考化学_新高考复习资料_2024年新高考资料_一轮复习资料_2024届高三化学一轮复习—专项训练
有机推断题(解析版)_05高考化学_新高考复习资料_2024年新高考资料_一轮复习资料_2024届高三化学一轮复习—专项训练
有机推断题(解析版)_05高考化学_新高考复习资料_2024年新高考资料_一轮复习资料_2024届高三化学一轮复习—专项训练
有机推断题(解析版)_05高考化学_新高考复习资料_2024年新高考资料_一轮复习资料_2024届高三化学一轮复习—专项训练
有机推断题(解析版)_05高考化学_新高考复习资料_2024年新高考资料_一轮复习资料_2024届高三化学一轮复习—专项训练

文档信息

文档格式
docx
文档大小
3.626 MB
文档页数
61 页
上传时间
2026-03-28 15:25:53

文档内容

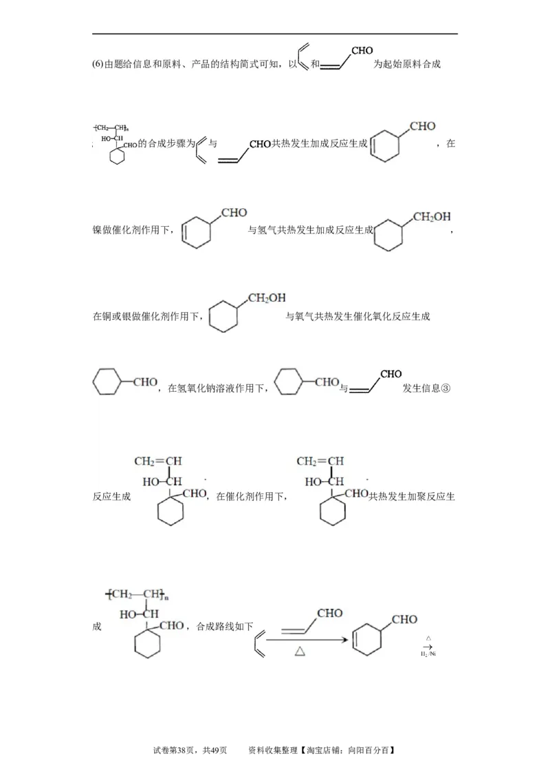
专项训练 有机推断题(解析版) 1.(2023·浙江·统考高考真题)某研究小组按下列路线合成胃动力药依托比利。 已知: 请回答: (1)化合物B的含氧官能团名称是___________。 (2)下列说法不正确的是___________。 A.化合物A能与 发生显色反应 B.A→B的转变也可用 在酸性条件下氧化来实现 C.在B+C→D的反应中, 作催化剂 D.依托比利可在酸性或碱性条件下发生水解反应 (3)化合物C的结构简式是___________。 (4)写出E→F的化学方程式___________。 (5)研究小组在实验室用苯甲醛为原料合成药物 苄基苯甲酰胺( )利用以 上合成线路中的相关信息,设计该合成路线___________(用流程图表示,无机试剂任 选) (6)写出同时符合下列条件的化合物D的同分异构体的结构简式___________。 ①分子中含有苯环 ② 谱和 谱检测表明:分子中共有4种不同化学环境的氢原子,有酰胺基( 试卷第1页,共49页 学科网(北京)股份有限公司)。 【答案】(1)羟基、醛基 (2)BC (3)ClCH CHN(CH ) 2 2 3 2 (4) +2H +H O 2 2 (5) (6) 、 、 、 【分析】由有机物的转化关系可知, 发生催化氧化反应生成 ,碳酸钾作用 下 与ClCH CHN(CH ) 发生取代反应生成 ,则C为 2 2 3 2 ClCH CHN(CH ); 与NH OH反应生成 ,则E为 2 2 3 2 2 试卷第2页,共49页 资料收集整理【淘宝店铺:向阳百分百】;催化剂作用下 与氢气发生还原反应生成 ,则F为 ; 与SOCl 发生取代反应生成 2 ; 与 发生取代反应生成依托比利。 【详解】(1)由结构简式可知,B分子的官能团为羟基、醛基,故答案为:羟基、醛 基; (2)A.由结构简式可知,A分子中含有酚羟基,能与氯化铁溶液发生显色反应,使 溶液变为紫色,故正确; B.酚羟基具有强还原性,由结构简式可知,A分子中含有酚羟基,则A→B的转变不 能用酸性高锰酸钾溶液来实现,故错误; C.由分析可知,B+C→D的反应为碳酸钾作用下 与ClCH CHN(CH ) 发生取代 2 2 3 2 反应生成 ,其中碳酸钾的作用是中和反应生成的氯化氢,提高反应物 的转化率,故错误; D.由结构简式可知,依托比利分子中含有酰胺基,可在酸性或碱性条件下发生水解 反应,故正确; 故选BC; (3)由分析可知,C的结构简式为ClCH CHN(CH ),故答案为: 2 2 3 2 ClCH CHN(CH ); 2 2 3 2 (4)由分析可知,E→F的反应为催化剂作用下 与氢气发生还原反应 试卷第3页,共49页 学科网(北京)股份有限公司生成 ,反应的化学方程式为 +2H 2 +H O,故答案为: +2H 2 2 +H O; 2 (5)由题给信息可知,用苯甲醛为原料合成药物 苄基苯甲酰胺的合成步骤为 与NH OH反应生成 ,催化剂作用下 与氢气发生还原反应生 2 成 ;催化剂作用下, 与氧气发生催化氧化反应生成 , 与 SOCl 发生取代反应生成 , 与 发生取代反应生成 , 2 合成路线为 , 故答案为: ; (6)D的同分异构体分子中含有苯环, 谱和 谱检测表明分子中共有4种不 同化学环境的氢原子,有酰胺基说明同分异构体分子含有醚键或酚羟基,结合对称性, 试卷第4页,共49页 资料收集整理【淘宝店铺:向阳百分百】同分异构体的结构简式为 、 、 、 ,故答案为: 、 、 、 。 2.(2023·山东·统考高考真题)根据杀虫剂氟铃脲(G)的两条合成路线,回答下列问题。 已知:Ⅰ.R NH +OCNR → 1 2 2 Ⅱ. 试卷第5页,共49页 学科网(北京)股份有限公司路线: (1)A的化学名称为_____(用系统命名法命名); 的化学方程式为_____;D中含氧 官能团的名称为_____;E的结构简式为_____。 路线二: (2)H中有_____种化学环境的氢,①~④属于加成反应的是_____(填序号);J中原子的 轨道杂化方式有_____种。 【答案】(1) 2,6-二氯甲苯 +2KF +2KCl 酰胺基 (2) 2 ② 2 试卷第6页,共49页 资料收集整理【淘宝店铺:向阳百分百】【分析】路线:根据流程及A的分子式为C HCl,可推出A的结构式为 7 6 2 ,A在氨气和氧气的作用下,生成了B( ),B与KF反应,生成C( ),根据题给信息,C与过氧化氢反 应,生成D( ),D和(COCl) 反应生成E,E的分子式为 2 C HFNO ,推出E的结构式为 ,E与F( 8 3 2 2 试卷第7页,共49页 学科网(北京)股份有限公司)反应生成了氟铃脲(G)。 路线二: 根据流程及F的分子式可推出H的结构式 ,H与氢气反 应生成I( ),I与CF=CF 反应生成F( 2 2 ),F与COCl 反应生成J( 2 ),J与D( ) 试卷第8页,共49页 资料收集整理【淘宝店铺:向阳百分百】反应生成了氟铃脲(G)。 【详解】(1)由分析可知,A为 ,系统命名为2,6-二氯甲苯,B 与KF发生取代反应生成C,化学方程式为 +2KF +2KCl,D为 ,含氧官能团为酰胺基,根 据分析,E为 ,故答案为:2,6-二氯甲苯; 试卷第9页,共49页 学科网(北京)股份有限公司+2KF +2KCl;酰胺基; ; (2)根据分析,H为 ,由结构特征可知,含有2种化学 环境的氢,根据分析流程可知H→I为还原反应,I→F为加成反应,F→J,J→G均为 取代反应,J为 ,C原子的杂化方式有 sp2,sp3两种,NO原子的杂化方式均为sp3,所以J中原子的杂化方式有2种,故答案 为:2;②;2。 3.(2023·湖南·统考高考真题)含有吡喃萘醌骨架的化合物常具有抗菌、抗病毒等生 物活性,一种合成该类化合物的路线如下(部分反应条件已简化): 试卷第10页,共49页 资料收集整理【淘宝店铺:向阳百分百】回答下列问题: (1)B的结构简式为_______; (2)从F转化为G的过程中所涉及的反应类型是_______、_______; (3)物质G所含官能团的名称为_______、_______; (4)依据上述流程提供的信息,下列反应产物J的结构简式为_______; (5)下列物质的酸性由大到小的顺序是_______(写标号): ① ② ③ (6) (呋喃)是一种重要的化工原料,其能够发生银镜反应的同分异构体中。除 HC=C=CH-CHO外,还有_______种; 2 (7)甲苯与溴在FeBr 催化下发生反应,会同时生成对溴甲苯和邻溴甲苯,依据由C到 3 D的反应信息,设计以甲苯为原料选择性合成邻溴甲苯的路线_______(无机试剂任选)。 【答案】(1) (2) 消去反应 加成反应 (3) 碳碳双键 醚键 试卷第11页,共49页 学科网(北京)股份有限公司(4) (5)③>①>② (6)4 (7) 【详解】(1)有机物A与Br 反应生成有机物B,有机物B与有机物E发生取代反应 2 生成有机物F,结合有机物A、F的结构和有机物B的分子式可以得到有机物B的结构 式,即 。 (2)有机物F转化为中间体时消去的是-Br和 ,发生的是消去反应,中间 体与呋喃反应生成有机物G时,中间体中的碳碳三键发生断裂与呋喃中的两个双键发 生加成反应,故答案为消去反应、加成反应。 (3)根据有机物G的结构,有机物G中的官能团为碳碳双键、醚键。 (4)根据上述反应流程分析, 与呋喃反应生成 , 继续与HCl反应生成有机物 试卷第12页,共49页 资料收集整理【淘宝店铺:向阳百分百】J,有机物J的结构为 。 (5)对比三种物质,③中含有电负性较高的F原子,使-CF 变成吸电子基团,将整个 3 有机物的电子云朝着-CF 方向转移,使-SO H基团更容易失去电子,故其酸性最强; 3 3 ②中含有的-CH 为推电子基团,使得整个有机物的电子云朝着-SO H方向移动,使- 3 3 SO H基团更不容易失去电子。因此,上述三种物质的酸性大小为③>①>②。 3 (6)呋喃是一种重要的化工原料,其同分异构体中可以发生银镜反应,说明其同分异 构体中含有醛基,这样的同分异构体共有4种,分别为:CH-C≡C-CHO、CH≡C-CH - 3 2 CHO、 、 。 (7)甲苯和溴在FeBr 的条件下生成对溴甲苯和邻溴甲苯,因题目中欲合成邻溴甲苯, 3 因此需要对甲基的对位进行处理,利用题目中流程所示的步骤将甲苯与硫酸反应生成 对甲基苯磺酸,再将对甲基苯磺酸与溴反应生成 ,再将 中 的磺酸基水解得到目标化合物,具体的合成流程为: 试卷第13页,共49页 学科网(北京)股份有限公司。 4.(2023·湖北·统考高考真题)碳骨架的构建是有机合成的重要任务之一。某同学从 基础化工原料乙烯出发,针对二酮H设计了如下合成路线: 回答下列问题: (1)由A→B的反应中,乙烯的碳碳_______键断裂(填“π”或“σ”)。 (2)D的同分异构体中,与其具有相同官能团的有_______种(不考虑对映异构),其中核 磁共振氢谱有三组峰,峰面积之比为 的结构简式为_______。 (3)E与足量酸性 溶液反应生成的有机物的名称为_______、_______。 (4)G的结构简式为_______。 (5)已知: ,H在碱性溶液 中易发生分子内缩合从而构建双环结构,主要产物为I( )和另一种 α,β-不饱和酮J,J的结构简式为_______。若经此路线由H合成I,存在的问题有 _______(填标号)。 试卷第14页,共49页 资料收集整理【淘宝店铺:向阳百分百】a.原子利用率低 b.产物难以分离 c.反应条件苛刻 d.严重污染环境 【答案】(1)π (2) 7 (3) 乙酸 丙酮 (4) (5) ab 【分析】A为CH=CH ,与HBr发生加成反应生成B(CHCHBr),B与Mg在无水 2 2 3 2 乙醚中发生生成C(CHCHMgBr),C与CHCOCH 反应生成D( 3 2 3 3 ),D在氧化铝催化下发生消去反应生成E( ),E和碱性高锰酸钾反应生成F( ),参 考D~E反应,F在氧化铝催化下发生消去反应生成G( ),G与 试卷第15页,共49页 学科网(北京)股份有限公司反应加成反应生成二酮H,据此分析解答。 【详解】(1)A为CH=CH ,与HBr发生加成反应生成B(CHCHBr),乙烯的π 2 2 3 2 键断裂,故答案为:π; (2)D为 ,分子式为C H O,含有羟基的同分异构体分别为: 5 12 共8种,除去D自身,还有7种同分异构体,其中核磁共振氢谱有三组峰,峰面积之 比为 的结构简式为 ,故答案为:7; ; 试卷第16页,共49页 资料收集整理【淘宝店铺:向阳百分百】(3)E为 ,酸性高锰酸钾可以将双键氧化断开,生成 和 ,名称分别为乙酸和丙酮,故答案为:乙酸;丙 酮; (4)由分析可知,G为 ,故答案为: ; (5)根据已知 的反应特征可 知,H在碱性溶液中易发生分子内缩合从而构建双环结构,主要产物为I( ))和J( )。若经此路线由H合成I, 会同时产生两种同分异构体,导致原子利用率低,产物难以分离等问题,故答案为: ;ab。 5.(2023·辽宁·统考高考真题)加兰他敏是一种天然生物碱,可作为阿尔茨海默症的 药物,其中间体的合成路线如下。 试卷第17页,共49页 学科网(北京)股份有限公司回答下列问题: (1)A中与卤代烃成醚活性高的羟基位于酯基的_______位(填“间”或“对”)。 (2)C发生酸性水解,新产生的官能团为羟基和_______(填名称)。 (3)用O 代替PCC完成D→E的转化,化学方程式为_______。 2 (4)F的同分异构体中,红外光谱显示有酚羟基、无N-H键的共有_______种。 (5)H→I的反应类型为_______。 (6)某药物中间体的合成路线如下(部分反应条件已略去),其中M和N的结构简式分别 为_______和_______。 【答案】(1)对 (2)羧基 试卷第18页,共49页 资料收集整理【淘宝店铺:向阳百分百】(3)2 +O 2 +2H O 2 2 (4)3 (5)取代 (6) 【分析】根据有机物A的结构和有机物C的结构,有机物A与CH3I反应生成有机物 B,根据有机物B的分子式可以得到有机物B的结构,即 ;有机 物与BnCl反应生成有机物C,有机物C发生还原反应生成有机物D,有机物D与PCC 发生氧化反应生成有机物E,根据有机物E的结构和有机物D的分子式可以得到有机 物D的结构,即 ;有机物E与有机物有机物F发生已知条件给 的②反应生成有机物G,有机物G发生还原反应生成有机物H,根据有机物H与有机 物G的分子式可以得到有机物G的结构,即 试卷第19页,共49页 学科网(北京)股份有限公司,同时也可得到有机物F的结构,即 ;随后有机物H与HCOOCH CH 反应生成有机 2 3 物I。由此分析解题。 【详解】(1)由有机物A与CHI反应得到有机物B可知,酚与卤代烃反应成醚时, 3 优先与其含有的其他官能团的对位羟基发生反应,即酯基对位的酚羟基活性最高,可 以发生成醚反应,故答案为;对位。 (2)有机物C在酸性条件下发生水解,其含有的酯基发生水解生成羧基,其含有的醚 键发生水解生成酚羟基,故答案为羧基。 (3)O2与有机物D发生催化氧化反应生成有机物E,反应的化学方程式为2 +O 2 +2H O。 2 2 (4)F的同分异构体中不含有N-H键,说明结构中含有 结构,又因红外中含 有酚羟基,说明结构中含有苯环和羟基,固定羟基的位置, 有邻、间、对三 种情况,故有3种同分异构体。 (5)有机物H与HCOOCH CH 反应生成有机物I,反应时,有机物H中的N-H键发 2 3 生断裂,与HCOOCH CH 中断裂的醛基结合,故反应类型为取代反应。 2 3 (6)根据题目中给的反应条件和已知条件,利用逆合成法分析,有机物N可以与 NaBH 反应生成最终产物,类似于题中有机物G与NaBH 反应生成有机物H,作用位 4 4 试卷第20页,共49页 资料收集整理【淘宝店铺:向阳百分百】置为有机物N的N=C上,故有机物N的结构为 ,有机物 M可以发生已知条件所给的反应生成有机物N,说明有机物M中含有C=O,结合反应 原料中含有羟基,说明原料发生反应生成有机物M的反应是羟基的催化氧化,有机物 M的结构为 ,故答案为 、 。 6.(2023·全国·统考高考真题)奥培米芬(化合物J)是一种雌激素受体调节剂,以下是 一种合成路线(部分反应条件己简化)。 已知: 回答下列问题: (1)A中含氧官能团的名称是_______。 (2)C的结构简式为_______。 试卷第21页,共49页 学科网(北京)股份有限公司(3)D的化学名称为_______。 (4)F的核磁共振谱显示为两组峰,峰面积比为1∶1,其结构简式为_______。 (5)H的结构简式为_______。 (6)由I生成J的反应类型是_______。 (7)在D的同分异构体中,同时满足下列条件的共有_______种; ①能发生银镜反应;②遇FeCl 溶液显紫色;③含有苯环。 3 其中,核磁共振氢谱显示为五组峰、且峰面积比为2∶2∶2∶1∶1的同分异构体的结构简式 为_______。 【答案】(1)醚键和羟基 (2) (3)苯乙酸 (4) (5) (6)还原反应 (7) 13 【分析】有机物A与有机物B发生反应生成有机物C,有机物C与有机物D在多聚磷 酸的条件下反应生成有机物E,根据有机物E的结构可以推测,有机物C的结构为 试卷第22页,共49页 资料收集整理【淘宝店铺:向阳百分百】,进而推断出有机物D的结构为 ;有机物E与有机物F反应生成有机物G,有机物G根据已知条件发生 反应生成有机物H,有机物H的结构为 ,有机物H 发生两步反应得到目标化合物J(奥培米芬);据此分析解题。 【详解】(1)根据有机物A的结构,有机物A中的含氧官能团是醚键和羟基。 (2)根据分析,有机物C的结构简式为 。 试卷第23页,共49页 学科网(北京)股份有限公司(3)根据分析,有机物D的结构为 ,其化学名称为苯乙酸。 (4)有机物F的核磁共振氢谱显示未两组峰,封面积比为1:1,说明这4个H原子被 分为两组,且物质应该是一种对称的结构,结合有机物F的分子式可以得到,有机物 F的结构简式为 。 (5)根据分析,有机物H的结构简式为 。 (6)根据流程,有机物I在LiAlH /四氢呋喃的条件下生成有机物J,LiAlH 是一种非 4 4 常强的还原剂能将酯基中的羰基部分还原为醇,该反应作用在有机物I的酯基上得到 醇,因此该反应为还原反应。 (7)能发生银镜反应说明该结构中含有醛基,能遇FeCl 溶液显紫色说明该结构中含 3 有酚羟基,则满足这三个条件的同分异构体有13种。此时可能是情况有,固定醛基、 酚羟基的位置处在邻位上,变换甲基的位置,这种情况下有4种可能;固定醛基、酚 羟基的位置处在间位上,变换甲基的位置,这种情况下有4种可能;固定醛基、酚羟 基的位置处在对位上,变换甲基的位置,这种情况下有2种可能;将醛基与亚甲基相 连,变换酚羟基的位置,这种情况下有3种可能,因此满足以上条件的同分异构体有 4+4+2+3=13种。其中,核磁共振氢谱显示为五组峰,且峰面积比为2:2:2:1:1, 说明这总同分异构体中不能含有甲基且结构为一种对称结构,因此,这种同分异构体 试卷第24页,共49页 资料收集整理【淘宝店铺:向阳百分百】的结构简式为: 。 7.(2023·全国·统考高考真题)莫西赛利(化合物K)是一种治疗脑血管疾病的药物, 可改善脑梗塞或脑出血后遗症等症状。以下为其合成路线之一。 回答下列问题: (1)A的化学名称是_______。 (2)C中碳原子的轨道杂化类型有_______种。 (3)D中官能团的名称为_______、_______。 (4)E与F反应生成G的反应类型为_______。 (5)F的结构简式为_______。 (6)I转变为J的化学方程式为_______。 (7)在B的同分异构体中,同时满足下列条件的共有_______种(不考虑立体异构); ①含有手性碳;②含有三个甲基;③含有苯环。 其中,核磁共振氢谱显示为6组峰,且峰面积比为 的同分异构体的结构 简式为_______。 【答案】(1)3-甲基苯酚(间甲基苯酚) (2)2 (3) 氨基 羟基 (4)取代反应 试卷第25页,共49页 学科网(北京)股份有限公司(5) (6) +H O 2 +HCl+N ↑ 2 (7) 9 【分析】根据流程,A与2-溴丙烷发生取代反应生成B,B与NaNO 发生反应生成 2 C,C与NH HS反应生成D,D与乙酸酐[(CH CO) O]反应生成E,结合E的结构简式 4 3 2 和D的分子式可知,D为 ;E与F反应生成G,结合E和G的 试卷第26页,共49页 资料收集整理【淘宝店铺:向阳百分百】结构简式和F的分子式可知,F为 ;G发生两步反应生成H,H 再与NaNO /HCl反应生成I,结合I的结构和H的分子式可知,H为 2 ;I与水反应生成J,J与乙酸酐[(CH CO) O]反应 3 2 生成K,结合K的结构简式和J的分子式可知,J为 ;据此分析解题。 【详解】(1)根据有机物A的结构,有机物A的化学名称为3-甲基苯酚(间甲基苯酚)。 (2)有机物C中含有苯环,苯环上的C原子的杂化类型为sp2杂化,还含有甲基和异 丙基,甲基和异丙基上的C原子的杂化类型为sp3杂化,故答案为2种。 (3)根据分析,有机物D的结构为 ,其官能团为氨基和羟基。 (4)有机物E与有机物F发生反应生成有机物G,有机物中的羟基与有机物F中的Cl 发生取代反应生成有机物G,故反应类型为取代反应。 (5)根据分析,有机物F的结构简式为 。 试卷第27页,共49页 学科网(北京)股份有限公司(6)有机物I与水反应生成有机物J,该反应的方程式为 +H O 2 +HCl+N ↑。 2 (7)连有4个不同原子或原子团的碳原子称为手性碳原子。在B的同分异构体中,含 有手性碳、含有3个甲基、含有苯环的同分异构体有9种,分别为: 、 、 、 、 、 、 、 、 ;其中,核磁共振氢谱显示为 试卷第28页,共49页 资料收集整理【淘宝店铺:向阳百分百】6组峰,且峰面积比为3:3:3:2:2:1的同分异构体的结构简式为 。 8.(2023·全国·统考高考真题)阿佐塞米(化合物L)是一种可用于治疗心脏、肝脏和肾 脏病引起的水肿的药物。L的一种合成路线如下(部分试剂和条件略去)。 已知:R-COOH R-COCl R-CONH 2 回答下列问题: (1)A的化学名称是_______。 (2)由A生成B的化学方程式为_______。 (3)反应条件D应选择_______(填标号)。 a.HNO/H SO b.Fe/HCl c.NaOH/C HOH d.AgNO/NH 3 2 4 2 5 3 3 (4)F中含氧官能团的名称是_______。 (5)H生成I的反应类型为_______。 (6)化合物J的结构简式为_______。 (7)具有相同官能团的B的芳香同分异构体还有_______种(不考虑立体异构,填标号)。 a.10 b.12 c.14 d.16 其中,核磁共振氢谱显示4组峰,且峰面积比为2:2:1:1的同分异构体结构简式为 _______。 【答案】(1)邻硝基甲苯(2-硝基甲苯) 试卷第29页,共49页 学科网(北京)股份有限公司(2) +Cl +HCl 2 (3)b (4)羧基 (5)消去反应 (6) (7) d 【分析】根据有机物C的结构,有机物B被酸性高锰酸钾氧化为C,则有机物B为 ,有机物B由有机物A与Cl 发生取代反应得到的,有机物A为 2 ,有机物E为有机物C发生还原反应得到的,有机物E经一系列反 应得到有机物G,根据已知条件,有机物G发生两步反应得到有机物H,有机物G与 试卷第30页,共49页 资料收集整理【淘宝店铺:向阳百分百】SOCl 发生第一步反应得到中间体 ,中间体 2 与氨水发生反应得到有机物H,有机物H的结构为 ,有机物I与有机物J发生反应得到有机物K,根据有机物I、K 的结构和有机物J的分子式可以得到有机物J的结构,有机物J的结构为 ,有机物K经后续反应得到目标化合物阿佐塞米(有机物L),据此分析 解题。 【详解】(1)根据分析,有机物A的结构式为 ,该有机物的化学 名称为邻硝基甲苯(2-硝基甲苯)。 (2)根据分析,有机物A发生反应生成有机物B为取代反应,反应的化学方程式为 试卷第31页,共49页 学科网(北京)股份有限公司+Cl +HCl。 2 (3)根据分析,有机物C发生生成有机物E的反应为还原反应,根据反应定义,该反 应为一个加氢的反应,因此该反应的反应条件D应为b:Fe/HCl,a一般为硝化反应 (取代反应)的反应条件,c一般为卤代烃的消去反应的反应条件,d一般为醛基的鉴别 反应(银镜反应)的反应条件,故答案为b。 (4)有机物F中的含氧官能团为-COOH,名称为羧基。 (5)有机物H反应生成有机物I的反应作用在有机物H的酰胺处,该处于POCl 发生 3 消去反应脱水得到氰基,故答案为消去反应。 (6)根据分析可知有机物J的结构简式为 。 (7)与分子式为C HClNO 的芳香同分异构体且含有-Cl、-NO 两种官能团共有17种, 7 6 2 2 分别为: (有机物B)、 、 、 、 、 、 试卷第32页,共49页 资料收集整理【淘宝店铺:向阳百分百】、 、 、 、 、 、 、 、 、 、 ,除有机物B外,其同分异构体的个 数为16个;在这些同分异构体中核磁共振氢谱的峰面积比为2:2:1:1,说明其结构 中有4种化学环境的H原子,该物质应为一种对称结结构,则该物质为 。 9.(2023·四川遂宁·统考模拟预测)有机物M在有机化工生产中应用广泛,其合成路 试卷第33页,共49页 学科网(北京)股份有限公司线如下: 已知: ①M的核磁共振氢谱图显示分子中有4种不同化学环境的氢,峰面积比为 。 ② ③ 回答下列问题: (1)A的名称为___________。 (2)B结构简式为___________;M中官能团名称为___________。 (3)C→D的化学方程式为___________。 (4)E的同分异构体中,满足下列条件的有___________种。 ①苯环上含有3个取代基②遇 溶液显紫色③能发生水解反应 (5) 的反应中,使用浓 能大大提高M的产率,请从原理角度分析原因 ___________。 (6)以 和 为起始原料合成 的合成路线为 ___________。(其它无机试剂任选) 试卷第34页,共49页 资料收集整理【淘宝店铺:向阳百分百】【答案】 邻二甲苯 酯基 +3H 2 10 浓硫酸是该反应的催化剂,能加快反应速率;浓硫酸具有 吸水性,吸收生成的水促进平衡右移 【分析】由有机物的转化关系可知,石油裂解制得乙烯,乙烯与 发生加成反应 试卷第35页,共49页 学科网(北京)股份有限公司生成 ,则B为 ;在氢氧化钠溶液作用下, 与HCHO发生信息③反应 生成 ,则C为 ;在镍做催化剂作用下, 与氢气共热 发生加成反应生成 ,则D为 ;石油催化重整生成 ,则A为 ; 与酸性高锰酸钾溶液发生氧化反应 生成 ,在浓硫酸作用下, 与 共热发生酯化反应生 成 ,则M为 。 【详解】(1)由分析可知,A的结构简式为 ,名称为邻二甲苯,故答案为: 邻二甲苯; (2)由分析可知,B的结构简式为 ;M的结构简式为 , 试卷第36页,共49页 资料收集整理【淘宝店铺:向阳百分百】官能团为酯基,故答案为: ;酯基; (3)C→D的反应为在镍做催化剂作用下, 与氢气共热发生加成反应生成 ,反应的化学方程式为 +3H ,故答案为: 2 +3H ; 2 (4)E的同分异构体遇氯化铁溶液显紫色说明分子中含有酚羟基,能发生水解反应说明 分子中含有—OOCH结构,则苯环上含有的3个取代基为—OH、—CHO和—OOCH; E的同分异构可以视作羟基苯甲醛分子中苯环上的氢原子被—OOCH取代所得衍生物, 其中邻羟基苯甲醛和间羟基苯甲醛分子中苯环上的氢原子被—OOCH取代都能得到4 种结构,对羟基苯甲醛分子中苯环上的氢原子被—OOCH取代得到2种结构,共10种, 故答案为:10; (5)D+E→M的反应为在浓硫酸作用下, 与 共热发生酯化反应 生成 和水,反应中浓硫酸是反应的催化剂,能够加快反应 速率,酯化反应为可逆反应,浓硫酸具有吸水性,吸收反应生成的水,减小生成物的浓 度,使平衡向正反应方向移动,有利于提高酯的产率,故答案为:浓硫酸是该反应的 催化剂,能加快反应速率;浓硫酸具有吸水性,吸收生成的水促进平衡右移; 试卷第37页,共49页 学科网(北京)股份有限公司(6)由题给信息和原料、产品的结构简式可知,以 和 为起始原料合成 的合成步骤为 与 共热发生加成反应生成 ,在 镍做催化剂作用下, 与氢气共热发生加成反应生成 , 在铜或银做催化剂作用下, 与氧气共热发生催化氧化反应生成 ,在氢氧化钠溶液作用下, 与 发生信息③ 反应生成 ,在催化剂作用下, 共热发生加聚反应生 成 ,合成路线如下 试卷第38页,共49页 资料收集整理【淘宝店铺:向阳百分百】,故答案为: 。 10.(2023·广东深圳·翠园中学校考模拟预测)2022年诺贝尔化学奖授予在点击化学 和生物正交化学方面做出贡献的科学家。点击化学反应是快速、高效连接分子的一类 反应,例如铜催化的Huisgen环加成反应: 利用该反应设计合成具有特殊结构的聚合物F并研究其水解反应,合成路线如图所示: 试卷第39页,共49页 学科网(北京)股份有限公司已知:R-CHO+R′-NH R-CH=N-R′+H O 2 2 回答下列问题: (1)化合物A的官能团名称是___________。 (2)下列说法正确的是___________(填标号)。 a.Huisgen环加成反应是原子利用率100%的反应 b.B中含有1个手性碳原子 c.可用酸性高锰酸钾溶液检验C中含有碳碳三键 d.D存在顺反异构 (3)B→C的化学方程式可以表示为B=C+Z。已知Z是一种酮,其同分异构体中能与新 制Cu(OH) 悬浊液反应产生砖红色沉淀的有___________种。写出其中核磁共振氢谱只 2 有2组峰的分子的结构简式___________。 (4)C→D涉及两步反应。第一步的反应类型为加成反应,第二步的反应类型为 ___________。 (5)水解产物G的结构简式为___________。 (6)根据以上信息,以炔基修饰末端的DNA片段(用 表示)和对苯二甲醇为原料,设计合成环状DNA(含 片段)的 路线___________(无机试剂任选)。 【答案】(1)醛基、碳溴键 (2)ad (3) 4 (CH )CCHO 3 3 (4)消去反应 (5) 试卷第40页,共49页 资料收集整理【淘宝店铺:向阳百分百】(6) 【分析】A( )与 在钯催化剂作用下发生反应,生成B( )和HBr;B在KOH溶液中发生反应,生成C( )和CHCHCOCH CH;C与 作用,生成D( 3 2 2 3 );D与NaN 反应,生成E( 3 )和NaF;E在Cu催化作用下发生聚合反应,生 成聚合物F为 或 或 ;F发生水解反应生成G为 。 【详解】(1)化合物A为 ,官能团名称是醛基、碳溴键。 (2)a.Huisgen环加成反应,只有一种产物,是原子利用率100%的反应,a正确; 试卷第41页,共49页 学科网(北京)股份有限公司b.B为 ,与-OH相连碳原子上连有2个-CH,不是手性碳 3 原子,则B分子中不含有手性碳原子,b不正确; c.C为 ,醛基和碳碳三键都能被酸性高锰酸钾溶液氧化,不 能用酸性高锰酸钾溶液检验C中含有碳碳三键,c不正确; d.D为 ,形成双键的N原子最外层有1个孤电子 对,C原子连接的2个原子或原子团不相同,所以D分子存在顺反异构,d正确; 故选ad。 (3)由分析可知,B( )→C( ),同时 生成Z(CHCHCOCH CH)。Z的同分异构体中,能与新制Cu(OH) 悬浊液反应产生砖 3 2 2 3 2 红色沉淀的有机物为醛,可能为CHCHCHCHCHO、CHCH(CH )CHCHO、 3 2 2 2 3 3 2 CHCHCH(CH )CHO、(CH)CCHO,共有4种。其中核磁共振氢谱只有2组峰的分子 3 2 3 3 3 的结构简式为(CH)CCHO。 3 3 (4)C( )→D( )涉及两步反 应。第一步-CHO与-NH 发生加成反应,生成-CH(OH)NH-,第二步为-CH(OH)NH-生 2 成-CH=N-和HO,反应类型为消去反应。 2 (5)由分析可知,水解产物G的结构简式为 。 (6)根据题给流程图中A→B的信息,先将 转化为 ,再与HC C- -C CH反应,合成环状 ≡ ≡ DNA(含 片段),合成路线为 试卷第42页,共49页 资料收集整理【淘宝店铺:向阳百分百】。 【点睛】合成有机物时,可采用逆推法。 11.(2023·江苏·校联考模拟预测)物质G是合成一种抗生素药物的中间体,其人工 合成路线如下: (1)A→B所需物质和反应条件是______。 (2)生成C的同时有C的反式异构体生成,写出该反式异构体的结构简式:______。 (3)X的分子式为 ,写出X的结构简式:______。 (4)E的一同分异构体同时满足下列条件,写出该同分异构体的结构简式:______。 ①分子中含有5种不同化学环境的氢原子。 ②酸性条件水解得到2种产物,其中一种是最简单的氨基酸,另一种既能与 溶液 发生显色反应,又能发生银镜反应。 (5)已知: ,R-代表 烃基。写出以 、 、 为原料制备 的合成路线流程图(无机试剂和有机溶剂任用,合成路线流程图 试卷第43页,共49页 学科网(北京)股份有限公司示例见本题题干) _____。 【答案】(1)Cu或Ag催化、加热、 (2) (3) (4) (5) 【详解】(1)A→B是苯甲醇发生催化氧化生成苯甲醛,所需物质和反应条件是Cu或 Ag催化、加热、 。 (2)沿碳碳双键轴方向( )将一端碳原子上的基团对调即可得反式异构 体: 。 (3)将F与G的结构对比,F与X发生取代反应生成G,由G的结构简式逆推,可知 试卷第44页,共49页 资料收集整理【淘宝店铺:向阳百分百】X的结构简式为 。 (4)①分子中含有5种不同化学环境的氢原子,说明结构对称。②酸性条件水解得到 2种产物,水解产物能发生银镜反应,说明含有-CHO;水解产物能与 溶液发生 显色反应,说明含有酚羟基形成的酯基,最简单的氨基酸是甘氨酸( ),所 以该异构体中含有“ ”结构;综合分子式和苯环外缺氢指数可得该异 构体的结构简式为 。 (5)根据题目信息, 和溴发生加成反应生成 , 与 反应生成 , 在酸性条件下 水解为 , 与SOCl 反应生成 , 2 与 反应生成 ,合成路线为 试卷第45页,共49页 学科网(北京)股份有限公司12.(2023·云南楚雄·统考模拟预测)咖啡鞣酸是重要的中药有效成分之一,具有广泛 抗菌作用,它的结构如图所示。 H是合成咖啡鞣酸的中间体,一种合成路线如图所示。 回答下列问题: (1)B的名称是_______(用系统命名法命名),咖啡鞣酸中所含官能团有羟基、酯基和 _______(填名称)。 (2)E→F的反应类型是_______。 (3)E分子中有_______个手性碳原子。提示:与四个互不相同的原子或取代基相连的碳 原子叫手性碳原子。 (4)写出C→D的化学方程式:_______。 (5)W是G的同分异构体,W分子中不含环状结构,W能发生水解反应,完全水解后 只生成羧酸X和醇Y两种有机物,X、Y的核磁共振氢谱均只有2组峰,X的峰面积 比为1:1,Y的峰面积比为2:1。W的结构简式为_______。 (6)4-羟基-1-环己甲酸- -内酯( )是一种有机合成中间体,设计以1,3-丁二烯和 △ 试卷第46页,共49页 资料收集整理【淘宝店铺:向阳百分百】氯乙烯为起始原料合成4-羟基-1-环己甲酸- -内酯的路线_______ (无机试剂任用)。 【答案】(1) 1,2-二溴乙烯 羧基、△碳碳双键 (2)取代反应 (3)2 (4) +3NaOH +3NaBr (5) 、 (6) 【分析】A和B发生碳碳双键的加成反应生成C,C发生卤代烃的水解反应生成D,D 与二氧化碳和水发生加成反应E,E发生溴的取代反应生成F为 ,F 发生水解反应生成G; 【详解】(1)B的母体为乙烯,溴作为取代基,其名称是1,2-二溴乙烯,咖啡鞣酸 中所含官能团有羟基、酯基和羧基、碳碳双键; (2)E发生溴的取代反应生成F为 ,E→F的反应类型是取代反应; (3)连接四种不同基团的碳原子为手性碳原子,E分子中 有2个手性 碳原子; 试卷第47页,共49页 学科网(北京)股份有限公司(4)C发生卤代烃的水解反应生成D,C→D的化学方程式: +3NaOH +3NaBr; (5)W是G的同分异构体,W分子中不含环状结构,W能发生水解反应说明含有酯 基,完全水解后只生成羧酸X和醇Y两种有机物,X、Y的核磁共振氢谱均只有2组 峰,X的峰面积比为1:1,Y的峰面积比为2:1。W的结构简式为 、 ; (6)1,3-丁二烯和氯乙烯发生加成反应生成 ,发生水解反应生成 , 发生D转化为E的反应生成 ,再发生分子内的酯化反应生成4-羟基-1- 环己甲酸- -内酯,合成路线为: △ 。 13.(2023·海南海口·海南华侨中学校考模拟预测)化合物M(奥司他韦)是目前治疗流 感的最常用药物之一,其合成路线如下: 试卷第48页,共49页 资料收集整理【淘宝店铺:向阳百分百】已知:① ;② 的结构简式为 回答问题: (1)A的结构简式为_______;C的化学名称为_______。 (2)E与NaOH溶液共热的化学方程式为_______。 (3) 的核磁共振氢谱有_______组峰。 (4)G→H的反应类型是_______;M中不含氧的官能团的名称是_______。 (5)B有多种同分异构体,同时满足下列条件的同分异构体共有_______种(不考虑立体 异构)。 a.分子结构中含有 b.能与 溶液发生反应产生气体 (6)参照上述合成路线,以 和 为原料设计合成 的路线_______(其它试剂任选)。 【答案】(1) 1,3-丁二烯 (2) (3)1 (4) 消去反应 碳碳双键、氨基 (5)10 试卷第49页,共49页 学科网(北京)股份有限公司(6) 【分析】与 在催化剂作用下反应生成酯类物质B,结合A的分子式可知A 为丙烯酸( );B( )与C反应生成环状化合物D,结 合已知①可知C的结构简式为 ;D与 发生取代反应生成E;E与 在一定条 件下反应生成F;F与 发生取代反应生成G;G在一定条件下发生消去反应生 成H;H在一定条件下转化为M。据此分析可得; 【详解】(1)①A与 在催化剂作用下发生酯化反应生成酯类物质B,结合 A的分子式可知A为丙烯酸,则其结构简式为 ,故答案为: ; ②B与C反应生成环状化合物D,结合B、D的结构式以及已知①可知C的结构简式为: ,其名称为1,3-丁二烯,故答案为:1,3-丁二烯; (2)E的结构简式为 ,则能与NaOH反应生成 ,则其方程 试卷第50页,共49页 资料收集整理【淘宝店铺:向阳百分百】式为: +NaOH + ,故答案为: +NaOH + ; (3)由已知①可知 的结构简式为: ,其核磁共振氢谱 只有1组峰,故答案为:1; (4)①G、H的结构简式分别为 、 ,由此可知,G发生 消去反应生成H,故答案为:消去反应; ②由M的结构简式 可知,M中的官能团有醚键、碳碳 双键、酯基、氨基和肽键,其中非含氧官能团有碳碳双键、氨基,故答案为:碳碳双 键、氨基; (5)由B的结构简式 ,可得B的分子式为 ;其同分异构体满 足: a.分子结构中含有 b.能与 溶液发生反应产生气体,则含 ;满足以上条件的同分异构体 有: 、 、 、 、 、 、 、 、 试卷第51页,共49页 学科网(北京)股份有限公司、 共10种,故答案为:10; (6)参考流程中D与 发生取代反应转化为E,可得 由 与 发生取代反应所得产物;由已知①可得 与 反应生成 ; 由 在一定条件下转化而得,由此可得,以 和 为原料设计合成 的路线为 ,故答案为: 。 14.(2023·辽宁沈阳·辽宁实验中学校考模拟预测)布洛芬有解热镇痛、抗炎作用。布 洛芬缓释片既可以减少对胃的刺激,又可以增加药物的释放时间。其中一种缓释布洛 芬的合成路线如图: 试卷第52页,共49页 资料收集整理【淘宝店铺:向阳百分百】(1)有机物A中的官能团名称为_________________,E的化学名称为 _____________________。 (2)反应①的化学方程式为________________________________________。 (3)G→H的反应类型为________________。 (4)写出J(布洛芬)的结构简式____________________________。 (5)满足下列条件的J(布洛芬)的同分异构体有___________种,其中核磁共振氢谱峰面 积比为1:1:2:2:12的结构简式为________________________(写出一种即可)。 ①苯环上有三个取代基,其中的两个烷基完全相同; ②能发生水解反应,且水解产物之一能与 溶液发生显色反应; ③能发生银镜反应。 【答案】(1) 羧基 乙二醇 (2) (3)取代反应 (4) 试卷第53页,共49页 学科网(北京)股份有限公司(5) 12 或 【分析】A与PCl 反应生成B,则A的结构式为 ;根据G和I的结构 3 式推出H的结构式为 ;根据布洛芬的结构式推出K的结构 式为 ;结合I和K结构式推出F结构 式为 ,J结构式为 ;结合F和B的 结构式推出C为 ,D为 。 【详解】(1)A的结构式为 ,官能团为羧基;根据D和F可知E的结 构式为 ,名称为乙二醇; 故答案为:羧基;乙二醇。 (2)根据B和C的结构式分析可知,反应①的化学方程式为 试卷第54页,共49页 资料收集整理【淘宝店铺:向阳百分百】; 故答案为: 。 (3)根据G和H的结构式可知G→H的反应类型为取代反应; 故答案为:取代反应。 (4)J(布洛芬)的结构式 ,结构简式为 ; 故答案为: 。 (5)①苯环上有三个取代基,其中的两个烷基完全相同; ②能发生水解反应,且水解产物之一能与FeCl 溶液发生显色反应,说明分子中含有酯 3 基,并且水解产物的苯环上有-OH; ③能发生银镜反应说明分子中含有HCOO-或-CHO; 综上所述分子中含有苯环,苯环上有HCOO-,还含有两个相同的 或 ;当分子中含有2个 时, ,第2 试卷第55页,共49页 学科网(北京)股份有限公司个 位置有4种情况, ,第2个 位置有2种情况;当分子中含有2个 时, 第2个 位置有4种情况, ,第2个 位置有2种情况; 综上所述一共有12种情况,故有12种同分异构体;其中核磁共振氢谱峰面积比为 1:1:2:2:12的结构简式为 或 ; 试卷第56页,共49页 资料收集整理【淘宝店铺:向阳百分百】故答案为:12; 或 。 15.(2023·海南海口·统考模拟预测)K是某药物的活性成分,一种合成路线如图所示: 已知: ① ② 请回答下列问题: (1)A的分子式是___________,E中含氧官能团的名称为___________。 (2)D的结构简式为___________,G→K的反应类型是___________。 (3)写出A→C的化学方程式:___________。 (4)在B的同分异构体中,既能发生银镜反应,又能与钠反应生成 的结构有 ___________种(不包括立体异构体)。 (5)已知:硝基苯在铁、盐酸作用下生成苯胺。设计以苯、溴乙烷为原料制备有机物 的合成路线:___________(其他无机试剂任选)。 试卷第57页,共49页 学科网(北京)股份有限公司【答案】(1) C HN 羧基和羰基 3 7 (2) 取代反应 (3)CH =CHCHNH + 2 → 2 2 2 +2HCl (4)13 (5) 【分析】A为CH=CHCHNH ,结合C的分子式可知,A中氨基上H原子被取代生成 2 2 2 试卷第58页,共49页 资料收集整理【淘宝店铺:向阳百分百】C,故C为 ;C发生信息②中反应 生成D,结合E的结构可推知D为 ,反应同时有甲醇生 成;D发生酯的水解反应生成E,对比E、G可知F的结构简式为 ,F与苯胺脱水、还原生成G,G发生取代反应反应生成K,同 时生成HCl,以此解答。 【详解】(1)由结构式可知,A的分子式是C HN,E中含氧官能团的名称为羧基和 3 7 羰基。 试卷第59页,共49页 学科网(北京)股份有限公司(2)由分析可知,D的结构简式为 ,由D和K的结构 简式可知,G发生取代反应反应生成K,同时生成HCl。 (3)A和B发生取代反应生成C,化学方程式为:CH=CHCHNH + 2 2 2 2 → +2HCl。 (4)B的同分异构体中,既能发生银镜反应,又能与钠反应生成H,说明其中含有醛 2 基和羟基,满足条件的同分异构体有:HOCHClCH CHCHO、HOCH CHClCH CHO、 2 2 2 2 HOCH CHCHClCHO、CHClCH(OH)CH CHO、CHCHCl(OH)CH CHO、 2 2 2 2 3 2 CHCH(OH)CHClCHO、HOCHClCH(CHO)CH 、CHClCH CH(OH)CHO、 3 3 2 2 CHCHClCH(OH)CHO、CHCHCCl(OH)CHO、HOCH CCl(CHO)CH 、 3 3 2 2 3 HOCH CH(CHO)CH Cl、ClCH C(OH)(CHO)CH ,共13种。 2 2 2 3 (5)由逆向合成法分析, 可由 试卷第60页,共49页 资料收集整理【淘宝店铺:向阳百分百】和溴乙烷发生取代反应得到, 可 以由 发生还原反应得到, 可以由苯 发生硝化反应得到,合成路线为: 试卷第61页,共49页 学科网(北京)股份有限公司