当前位置:首页>文档>专题17.7勾股定理压轴题综合测试卷(人教版)(教师版)_初中数学_八年级数学下册(人教版)_母题专项-U66_2025版

专题17.7勾股定理压轴题综合测试卷(人教版)(教师版)_初中数学_八年级数学下册(人教版)_母题专项-U66_2025版

  • 2026-04-06 07:12:06 2026-04-06 07:10:11

文档预览

专题17.7勾股定理压轴题综合测试卷(人教版)(教师版)_初中数学_八年级数学下册(人教版)_母题专项-U66_2025版
专题17.7勾股定理压轴题综合测试卷(人教版)(教师版)_初中数学_八年级数学下册(人教版)_母题专项-U66_2025版
专题17.7勾股定理压轴题综合测试卷(人教版)(教师版)_初中数学_八年级数学下册(人教版)_母题专项-U66_2025版
专题17.7勾股定理压轴题综合测试卷(人教版)(教师版)_初中数学_八年级数学下册(人教版)_母题专项-U66_2025版
专题17.7勾股定理压轴题综合测试卷(人教版)(教师版)_初中数学_八年级数学下册(人教版)_母题专项-U66_2025版
专题17.7勾股定理压轴题综合测试卷(人教版)(教师版)_初中数学_八年级数学下册(人教版)_母题专项-U66_2025版
专题17.7勾股定理压轴题综合测试卷(人教版)(教师版)_初中数学_八年级数学下册(人教版)_母题专项-U66_2025版
专题17.7勾股定理压轴题综合测试卷(人教版)(教师版)_初中数学_八年级数学下册(人教版)_母题专项-U66_2025版
专题17.7勾股定理压轴题综合测试卷(人教版)(教师版)_初中数学_八年级数学下册(人教版)_母题专项-U66_2025版
专题17.7勾股定理压轴题综合测试卷(人教版)(教师版)_初中数学_八年级数学下册(人教版)_母题专项-U66_2025版
专题17.7勾股定理压轴题综合测试卷(人教版)(教师版)_初中数学_八年级数学下册(人教版)_母题专项-U66_2025版
专题17.7勾股定理压轴题综合测试卷(人教版)(教师版)_初中数学_八年级数学下册(人教版)_母题专项-U66_2025版
专题17.7勾股定理压轴题综合测试卷(人教版)(教师版)_初中数学_八年级数学下册(人教版)_母题专项-U66_2025版
专题17.7勾股定理压轴题综合测试卷(人教版)(教师版)_初中数学_八年级数学下册(人教版)_母题专项-U66_2025版
专题17.7勾股定理压轴题综合测试卷(人教版)(教师版)_初中数学_八年级数学下册(人教版)_母题专项-U66_2025版
专题17.7勾股定理压轴题综合测试卷(人教版)(教师版)_初中数学_八年级数学下册(人教版)_母题专项-U66_2025版
专题17.7勾股定理压轴题综合测试卷(人教版)(教师版)_初中数学_八年级数学下册(人教版)_母题专项-U66_2025版
专题17.7勾股定理压轴题综合测试卷(人教版)(教师版)_初中数学_八年级数学下册(人教版)_母题专项-U66_2025版
专题17.7勾股定理压轴题综合测试卷(人教版)(教师版)_初中数学_八年级数学下册(人教版)_母题专项-U66_2025版
专题17.7勾股定理压轴题综合测试卷(人教版)(教师版)_初中数学_八年级数学下册(人教版)_母题专项-U66_2025版
专题17.7勾股定理压轴题综合测试卷(人教版)(教师版)_初中数学_八年级数学下册(人教版)_母题专项-U66_2025版
专题17.7勾股定理压轴题综合测试卷(人教版)(教师版)_初中数学_八年级数学下册(人教版)_母题专项-U66_2025版
专题17.7勾股定理压轴题综合测试卷(人教版)(教师版)_初中数学_八年级数学下册(人教版)_母题专项-U66_2025版
专题17.7勾股定理压轴题综合测试卷(人教版)(教师版)_初中数学_八年级数学下册(人教版)_母题专项-U66_2025版
专题17.7勾股定理压轴题综合测试卷(人教版)(教师版)_初中数学_八年级数学下册(人教版)_母题专项-U66_2025版
专题17.7勾股定理压轴题综合测试卷(人教版)(教师版)_初中数学_八年级数学下册(人教版)_母题专项-U66_2025版
专题17.7勾股定理压轴题综合测试卷(人教版)(教师版)_初中数学_八年级数学下册(人教版)_母题专项-U66_2025版
专题17.7勾股定理压轴题综合测试卷(人教版)(教师版)_初中数学_八年级数学下册(人教版)_母题专项-U66_2025版
专题17.7勾股定理压轴题综合测试卷(人教版)(教师版)_初中数学_八年级数学下册(人教版)_母题专项-U66_2025版
专题17.7勾股定理压轴题综合测试卷(人教版)(教师版)_初中数学_八年级数学下册(人教版)_母题专项-U66_2025版
专题17.7勾股定理压轴题综合测试卷(人教版)(教师版)_初中数学_八年级数学下册(人教版)_母题专项-U66_2025版
专题17.7勾股定理压轴题综合测试卷(人教版)(教师版)_初中数学_八年级数学下册(人教版)_母题专项-U66_2025版
专题17.7勾股定理压轴题综合测试卷(人教版)(教师版)_初中数学_八年级数学下册(人教版)_母题专项-U66_2025版
专题17.7勾股定理压轴题综合测试卷(人教版)(教师版)_初中数学_八年级数学下册(人教版)_母题专项-U66_2025版
专题17.7勾股定理压轴题综合测试卷(人教版)(教师版)_初中数学_八年级数学下册(人教版)_母题专项-U66_2025版
专题17.7勾股定理压轴题综合测试卷(人教版)(教师版)_初中数学_八年级数学下册(人教版)_母题专项-U66_2025版
专题17.7勾股定理压轴题综合测试卷(人教版)(教师版)_初中数学_八年级数学下册(人教版)_母题专项-U66_2025版
专题17.7勾股定理压轴题综合测试卷(人教版)(教师版)_初中数学_八年级数学下册(人教版)_母题专项-U66_2025版
专题17.7勾股定理压轴题综合测试卷(人教版)(教师版)_初中数学_八年级数学下册(人教版)_母题专项-U66_2025版
专题17.7勾股定理压轴题综合测试卷(人教版)(教师版)_初中数学_八年级数学下册(人教版)_母题专项-U66_2025版
专题17.7勾股定理压轴题综合测试卷(人教版)(教师版)_初中数学_八年级数学下册(人教版)_母题专项-U66_2025版
专题17.7勾股定理压轴题综合测试卷(人教版)(教师版)_初中数学_八年级数学下册(人教版)_母题专项-U66_2025版
专题17.7勾股定理压轴题综合测试卷(人教版)(教师版)_初中数学_八年级数学下册(人教版)_母题专项-U66_2025版
专题17.7勾股定理压轴题综合测试卷(人教版)(教师版)_初中数学_八年级数学下册(人教版)_母题专项-U66_2025版
专题17.7勾股定理压轴题综合测试卷(人教版)(教师版)_初中数学_八年级数学下册(人教版)_母题专项-U66_2025版
专题17.7勾股定理压轴题综合测试卷(人教版)(教师版)_初中数学_八年级数学下册(人教版)_母题专项-U66_2025版
专题17.7勾股定理压轴题综合测试卷(人教版)(教师版)_初中数学_八年级数学下册(人教版)_母题专项-U66_2025版
专题17.7勾股定理压轴题综合测试卷(人教版)(教师版)_初中数学_八年级数学下册(人教版)_母题专项-U66_2025版
专题17.7勾股定理压轴题综合测试卷(人教版)(教师版)_初中数学_八年级数学下册(人教版)_母题专项-U66_2025版
专题17.7勾股定理压轴题综合测试卷(人教版)(教师版)_初中数学_八年级数学下册(人教版)_母题专项-U66_2025版
专题17.7勾股定理压轴题综合测试卷(人教版)(教师版)_初中数学_八年级数学下册(人教版)_母题专项-U66_2025版

文档信息

文档格式
docx
文档大小
2.839 MB
文档页数
47 页
上传时间
2026-04-06 07:10:11

文档内容

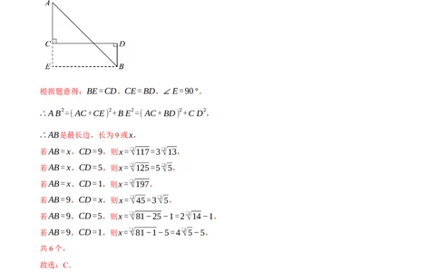
第17章 勾股定理压轴题综合测试卷 【人教版】 参考答案与试题解析 第Ⅰ卷 一.选择题(共10小题,满分30分,每小题3分) 1.(3分)(24-25八年级·浙江绍兴·期末)等腰Rt△ABC,∠BAC=90°,AB=AC=5, ∠BPC=∠APC=135°,则CP=( ) A.3 B.❑√10 C.2❑√3 D.4 【答案】B 【分析】本题考查了等腰直角三角形的判定和性质,全等三角形的判定和性质,勾股定理,旋转的性质, 正确作辅助线是解题的关键. 将线段AP绕点A逆时针旋转90°得到线段AE,连接PE,CE,则AE=AP,∠PAE=90°,得到 ∠APE=∠AEP=45°,可求出∠APB=90°,∠BAP=∠CAE,可证明△CAE≌△BAP(SAS),得到 ∠AEC=∠APB=90°,可证明∠CPE=90°,∠PCE=∠PEC=45°,则PE=PC,得出CE2=2PC2 1 1 ,AE2= PC2 ,则 PC2+2PC2=52 ,求出PC=❑√10,即可得到结论. 2 2 【详解】解:如图,将线段AP绕点A逆时针旋转90°得到线段AE,连接PE,CE, ∵AE=AP,∠PAE=90°, ∴∠APE=∠AEP=45°, ∵∠BAC=90°,AB=AC=5, ∴∠BAC−∠CAP=∠PAE−∠CAP, ∠ABC=∠ACB=45°, ∴∠BAP=∠CAE, ∵∠BPC=∠APC=135°, ∴∠APB=360°−∠BPC−∠APC=90°,{ AE=AP ) 在△AEC和△APB中 ∠CAE=∠BAP , AC=AB ∴△AEC≌△APB(SAS), ∴∠AEC=∠APB=90°, ∴∠PEC=∠AEC−∠AEP=90°−45°=45°, ∵∠APC=135°, ∴∠EPC=∠APC−∠APE=135°−45°=90°, ∴∠PCE=90°−∠PEC=90°−45°=45°, ∴PE=PC, ∴CE2=PE2+PC2=2PC2, ∵PC2=PE2=AE2+AP2=2AE2, 1 ∴AE2= PC2 , 2 ∵AE2+CE2=AC2, 1 PC2+2PC2=52 , 2 ∴PC=❑√10或PC=−❑√10(不符合题意,舍去), 故选:B. 2.(3分)(24-25八年级·福建泉州·期末)四条线段的长分别为1,x,5,9(其中x为正数),用它们拼 成两个直角三角形,且AB与CD是其中的两条线段(如图),则x可能取值的个数为( ) A.2 B.3 C.6 D.4 【答案】C【分析】此题考查了勾股定理的应用.首先过B作BE∥CD交AD的延长线于E,根据题意即可得 BE=CD,CE=BD,∠E=90°,可得AB是最长边,长为9或x,然后由勾股定理可得 AB2=(AC+CE) 2+BE2=(AC+BD) 2+CD2,然后分别从AB=x,CD为9或5或1;AB=9,CD=x 或5或1去分析求解,即可求得答案.此题难度很大,解题的关键是注意数形结合思想,方程思想与分类 讨论思想的应用,小心别漏解. 【详解】解:如图,过B作BE∥CD交AC的延长线于E, 根据题意得:BE=CD,CE=BD,∠E=90°, ∴AB2=(AC+CE) 2+BE2=(AC+BD) 2+CD2, ∴AB是最长边,长为9或x, 若AB=x,CD=9,则x=❑√117=3❑√13, 若AB=x,CD=5,则x=❑√125=5❑√5, 若AB=x,CD=1,则x=❑√197, 若AB=9,CD=x,则x=❑√45=3❑√5, 若AB=9,CD=5,则x=❑√81−25−1=2❑√14−1, 若AB=9,CD=1,则x=❑√81−1−5=4❑√5−5, 共6个, 故选:C. 3.(3分)(24-25八年级·浙江金华·期末)如图,在Rt△ABC中,∠ACB=90°,AC=BC,点D为 AB边上的中点,点E在线段BD上(点E不与点B,点D重合),过点A作AF⊥CE交CE于点F,过点 B作BG⊥CE交CE的延长线于点G.若已知DF的长,则可求出( )A.FG的长 B.AF的长 C.CE的长 D.BG的长 【答案】A 【分析】本题考查了全等三角形的判定和性质,等腰直角三角形的性质,延长FD,交BG的延长线于T, 由ASA可证△ADF≌△BDT,可得AF=BT,DF=DT,由AAS可证△ACF≌△CBG,可得AF=CG, CF=BG,可证FG=TG,由勾股定理可得2FD2=FG2,即可求解.添加恰当辅助线构造全等三角形是 解题的关键. 【详解】解:延长FD,交BG的延长线于T, ∵AF⊥CE,BG⊥CE, ∴AF∥BG, ∴∠DAF=∠DBT, ∵点D是AB的中点, ∴AD=BD, 又∵∠ADF=∠BDT, ∴ △ADF≌△BDT(ASA), ∴AF=BT,DF=DT, ∵∠ACB=90°=∠AFC=∠BGC, ∴∠ACF+∠BCG=90°=∠ACF+∠CAF, ∴∠CAF=∠BCG, ∵AC=BC, ∴ △ACF≌△CBG(AAS), ∴AF=CG,CF=BG, ∴AF=CG=BT, ∴FG=CG−CF=BT−BG=TG, ∵FT2=FG2+TG2, ∴(2FD) 2=FG2+TG2, ∴2FD2=FG2,∵已知DF的长, ∴可求FG的长, 故选:A. 4.(3分)(24-25八年级·浙江绍兴·期末)如图,在Rt△ABC中,∠C=90°,AD平分∠CAB交BC于 2 点D,点E在边AB上,AE=BE=BD,DE= ,则AD的长度为( ) 3 4 3 A.❑√2 B. C. D.❑√3 3 2 【答案】A 【分析】本题考查了全等三角形的判定和性质,等腰直角三角形的判定和性质,勾股定理,过A作 2 AG∥BC交DE的延长线于G,过A作AH⊥EG于H,可得△AEG≌△BED(AAS),即得EG=DE= 3 1 1 ,AG=BD,得到AG=AE,得到EH= EG= ,∠GAH=∠EAH, 得到DH=1,进而根据角平分 2 3 线可得∠DAH=45°,得到△DAH是等腰直角三角形,利用勾股定理即可求解,正确作出辅助线是解题 的关键. 【详解】解:过A作AG∥BC交DE的延长线于G,过A作AH⊥EG于H,∴∠G=∠BDE,∠C+∠GAC=180°, ∵∠C=90°, ∴∠CAG=90°, 在△AEG与△BED中, { ∠G=∠BDE ) ∠AEG=∠BED , BE=AE ∴△AEG≌△BED(AAS), 2 ∴EG=DE= ,AG=BD, 3 ∵BE=AE, ∴AG=AE, ∵AH⊥EG, 1 1 ∴EH= EG= ,∠GAH=∠EAH, 2 3 2 1 ∴DH= + =1, 3 3 ∵AD平分∠CAB, 1 ∴∠DAE= ∠CAB, 2 1 ∴∠DAE+∠HAE= ∠CAG=45°, 2 即∠DAH=45°, ∴△DAH是等腰直角三角形, ∴AD=❑√2DH=❑√2, 故选:A. 5.(3分)(24-25八年级·四川眉山·期末)如图,在Rt△ABC中,∠C=90°,AC=3,AB=5.如果D、E分别为BC、AB上的动点,那么AD+DE的最小值是( ) 24 27 A. B.5 C. D.6 5 5 【答案】A 【分析】延长AC到点F,使得AC=CF,则直线BC是线段AF的垂直平分线,连接DF,BF,于是得到 AD=DF,AB=BF,于是AD+DE就变成了DF+DE,根据点到直线的距离以垂线段最短原理,得到 DF+DE的最小值就是△ABF的高,过点F作FG⊥AB于点G,求FG即可. 此题考查了轴对称最短路径问题,垂线段的性质,勾股定理,根据三角形的面积求高等,熟练掌握以上性 质是解本题的关键. 【详解】解:延长AC到点F,使得AC=CF, ∵∠ACB=90°, ∴直线BC是线段AF的垂直平分线, 连接DF,BF, ∴AD=DF,AB=BF, ∴AD+DE就变成了DF+DE, 根据点到直线的距离以垂线段最短原理,得到DF+DE的最小值就是△ABF的高, 过点F作FG⊥AB于点G, ∵∠ACB=90°,AC=3,AB=5, ∴AF=2AC=6,BC=❑√AB2−AC2=4, 1 1 ∴S = AF·BC= AB·FG, △ABF 2 2 ∴6×4=5FG, 24 ∴FG= . 5 故选:A.6.(3分)(24-25八年级·浙江绍兴·期末)某同学类比勾股定理的证明过程,利用三个含有150°的全等 三角形纸片(如图①∠ACB=150°)拼成一个正三角形DEF(如图②),即 △ABC≌△DEG≌△EFM≌△FDN.连接GM,MN,NG,若MN长是2,△≝¿的面积是7❑√3,则 △ABC的面积是( ) 3 4 5 A.❑√3 B. ❑√3 C. ❑√3 D. ❑√3 4 5 6 【答案】A 【分析】本题考查了等边三角形的判定与性质、三角形全等的判定与性质、含30度角的直角三角形的性 质、勾股定理,正确得出△GDN与△FDN的面积相等是解题关键.过点G作GP⊥DN于点P,过点F作 FO⊥DN,交DN延长线于点O,先求出∠FNO=30°和∠NDG=30°,根据含30度角的直角三角形的 1 1 性质可得OF= FN,GP= DG,从而可得OF=GP,根据三角形的面积公式可得S =S ,再证 2 2 △GDN △FDN 出△NDG≌△MFN,△NDG≌△GEM,根据全等三角形的性质可得 S =S =S =S =S =S =S ,然后根据等边三角形的性质和勾股定理求出 △ABC △DEG △EFM △FDN △GDN △MFN △GEM S =❑√3,由此即可得. △GMN 【详解】解:如图②,过点G作GP⊥DN于点P,过点F作FO⊥DN,交DN延长线于点O,∵△ABC≌△DEG≌△EFM≌△FDN,∠ACB=150°, ∴S =S =S =S ,FN=DG,∠FND=∠ACB=150°,∠EDG=∠DFN,DN=FM △ABC △DEG △EFM △FDN , ∴∠FNO=30°, 1 ∴在Rt△FON中,OF= FN, 2 ∵△≝¿是等边三角形, ∴∠EDF=60°, ∴∠NDG=∠EDF−(∠FDN+∠EDG) =60°−(∠FDN+∠DFN) =60°−(180°−∠FND) =60°−(180°−150°) =30°, 1 ∴在Rt△PDG中,GP= DG, 2 ∴OF=GP, ∴S =S , △GDN △FDN 同理可得:∠MFN=30°, 在△NDG和△MFN中, { DG=FN ) ∠NDG=∠MFN=30° , DN=FM ∴△NDG≌△MFN(SAS), ∴NG=MN,S =S , △NDG △MFN 同理可证:△NDG≌△GEM(SAS), ∴NG=GM,S =S , △NDG △GEM ∴S =S =S =S =S =S =S , △ABC △DEG △EFM △FDN △GDN △MFN △GEM又∵NG=MN=2,NG=GM, ∴△GMN是等边三角形, 如图②,过点N作NH⊥GM于点H, 1 1 则MH= GM= ×2=1, 2 2 ∴NH=❑√M N2−M H2=❑√3, 1 1 ∴S = GM⋅NH= ×2×❑√3=❑√3, △GMN 2 2 ∵△≝¿的面积是7❑√3, ∴S +S +S +S +S +S +S =7❑√3, △DEG △EFM △FDN △GDN △MFN △GEM △GMN ∴6S +❑√3=7❑√3, △ABC ∴S =❑√3, △ABC 故选:A. 7.(3分)(2024·天津和平·三模)如图,在边长为2的等边三角形ABC中,D为边BC上一点,且 1 BD= CD.点E,F分别在边AB, AC上,且∠EDF=90°, M为边EF的中点,连接CM交DF于点N. 2 若DF//AB,则CM的长为( ) 2 3 5 A. ❑√3 B. ❑√3 C. ❑√3 D.❑√3 3 4 6 【答案】C 【分析】根据等边三角形边长为2,在RtΔBDE中求得DE的长,再根据CM垂直平分DF,在RtΔCDN中 求得CN,利用三角形中位线求得MN的长,最后根据线段和可得CM的长. 1 【详解】解:∵等边三角形边长为2,BD= CD, 22 4 ∴BD= ,CD= , 3 3 ∵等边三角形ABC中,DF//AB, ∴∠FDC=∠B=60°, ∵∠EDF=90°, ∴∠BDE=30°, ∴DE⊥BE, ∴BE= 1 BD= 1 ,DE=❑√BD2−BE2=❑ √ (2) 2 −( 1 ) 2 = ❑√3 , 2 3 3 3 3 1 如图,连接DM,则RtΔDEF中,DM= EF=FM, 2 ∵∠FDC=∠FCD=60° , ∴ΔCDF是等边三角形, 4 ∴CD=CF= , 3 ∴CM垂直平分DF, ∴∠DCN=30°, 4 2 2❑√3 ∴RtΔCDN中,DF= ,DN= ,CN= , 3 3 3 ∵EM=FM,DN=FN, 1 ❑√3 ∴MN= ED= , 2 6 2❑√3 ❑√3 5❑√3 ∴CM=CN+MN= + = . 3 6 6 故选:C. 【点睛】本题主要考查了三角形的综合应用,解决问题的关键是掌握等边三角形的性质、勾股定理、平行 线的性质、线段垂直平分线的判定等.熟练掌握这些性质是解题的关键. 8.(3分)(24-25八年级·山东淄博·期末)把一副三角板如图①放置,其中∠ACB=∠DEC=90°,∠A=45°,∠D=30°,斜边AB=4,CD=5,把三角板DCE绕点C顺时针旋转15°得到△D CE (如 1 1 图②),此时AB与CD 交于点O,则线段AD 的长度为( ) 1 1 A.4 B.❑√5 C.2❑√2 D.❑√13 【答案】D 【分析】本题考查了旋转的性质,勾股定理,等腰直角三角形的判定与性质,熟练掌握以上知识点是解题 关键.先求出∠ACD=30°,再根据旋转角可得∠ACD =45°,可判定△ACO是等腰直角三角形,再根 1 1 据等腰直角三角形的性质求出AO=CO= AB,从而得到OD ,最后由勾股定理即可得到AD . 2 1 1 【详解】解:∵∠ACB=∠DEC=90°,∠D=30° ∴∠DCE=90°−30°=60° ∴∠ACD=∠ACB−∠DCE=90°−60°=30° ∵DCE绕点C顺时针旋转15°得到△D CE 1 1 ∴∠ACD =30°+15°=45° 1 又∵∠CAB=45° ∴∠AOC=180°−∠CAB−∠ACD =180°−45°−45°=90° 1 ∴△ACO是等腰直角三角形 ∴AO=CO 又∵AC=BC,CO⊥AB,AB=5 1 1 ∴AO=BO= AB= ×4=2=CO 2 2 ∵CD =CD=5 1 ∴OD =CD −CO=5−2=3 1 1 在Rt△AOD 中,∠AOD =90° 1 1 ∴AD =❑√AO2+OD2=❑√22+32=❑√13 1 1 故选:D.❑√3 9.(3分)(24-25八年级·山东济南·期中)如图所示,已知直线y=− x+1与x、y轴交于B、C两 3 点,A(0,0),在△ABC内依次作等边三角形,使一边在x轴上,另一个顶点在BC边上,作出的等边三角 形分别是第1个△A A B ,第2个△B A B ,第3个△B A B ,…则第2024个等边三角形的边长等于 1 1 1 2 2 2 3 3 ( ) 3 ❑√3 3 ❑√3 A. B. C. D. 22024 22024 22025 22025 【答案】B 【分析】此题主要考查了一次函数图象上点的坐标,等边三角形的性质,含有30度角的直角三角形的性 质,勾股定理,理解一次函数图象上点的坐标的特征,等边三角形的性质,灵活运用含有30度角的直角三 角形的性质,勾股定理进行计算是解决问题的关键,根据计算归纳总结出规律,第n个等边三角形的边长 ❑√3 为 是解决问题的难点.先求出OB=❑√3,OC=1,BC=2,则∠OBC=30°,∠OCA=60°,根据等 2n 边三角形性质得∠COA =90°−∠A OB =30°,则∠OA C=90°,在Rt△OA C中,由勾股定理得 1 1 1 1 1 ❑√3 ❑√3 A B =OA = ,则第1个等边三角形的边长为 ,再分别计算出∠A A B =30°, 1 1 1 2 2 2 1 1 1 ❑√3 ∠A B A =60°,则∠A A B =90°,在Rt△A B A 中,得A B =A B = A B = ,则第2个 2 1 2 1 2 1 1 1 2 2 2 2 1 2 1 1 22 ❑√3 ❑√3 等边三角形的边长为 ,同理第3个等边三角形的边长为 ,……,依次类推,第n个等边三角形的边 22 23 ❑√3 长为 ,由此可得第2024个等边三角形的边长. 2n ❑√3 【详解】解:对于y=− x+1,当x=0时,y=1,当y=0时,x=❑√3, 3∴点B(❑√3,0),点C(0,1), ∴OB=❑√3,OC=1, 在Rt△OBC中,由勾股定理得:BC=❑√OB2+OC2=2, ∴∠OBC=30°,则∠OCA=60°, ∵ △OA B 是等边三角形, 1 1 ∴∠A OB =∠OA B =∠A B O=60°,OA =OB =A B , 1 1 1 1 1 1 1 1 1 1 ∴∠COA =90°−∠A OB =90°−60°=30°, 1 1 1 ∴∠OA C=90°, 1 在Rt△OA C中,∠COA =30°,OC=1, 1 1 1 1 ∴A1C= OC= , 2 2 由勾股定理得:A B =OA =❑√OC2−A C2=❑ √ 12− (1) 2 = ❑√3 , 1 1 1 1 2 2 ❑√3 即第1个等边三角形的边长为: , 2 ∴∠A A B =180°−(∠OA C+∠OA B )=180°−(90°+60°)=30°, 2 1 1 1 1 1 ∵ △A B B 是等边三角形, 2 1 2 ∴∠A B B =∠B A B =∠A B B =60°,A B =B B =A B , 2 1 2 1 2 2 2 2 1 2 1 1 2 2 2 ∴∠A B A =180°−(∠A B O+∠A B B )=180°−(60°+60°)=60°, 2 1 2 1 1 2 2 1 在△A B A 中,∠A A B =180°−(∠A B A +∠A A B )=180°−(60°+30°)=90°, 1 1 2 1 2 1 2 1 2 2 1 1 ❑√3 在Rt△A B A 中,∠A A B =30°,A B = , 1 1 2 2 1 1 1 1 2 1 1 ❑√3 ❑√3 ∴A B =A B = A B = × = , 2 2 2 1 2 1 1 2 2 22 ❑√3 即第2个等边三角形的边长为: , 22 ❑√3 同理:第3个等边三角形的边长为: , 22 ❑√3 ……,依次类推,第n个等边三角形的边长为: , 2n ❑√3 ∴第2024个等边三角形的边长等于 . 22024 故选:B.10.(3分)(24-25八年级·湖北武汉·期中)如图,D是等边三角形ABC外一点,连接AD,BD,CD. 若BD=4❑√7,CD=2❑√3,AD=10,则三角形ABC的面积为( ) A.10❑√3 B.13❑√3 C.12❑√3 D.9+6❑√3 【答案】B 【分析】本题考查旋转的性质及全等三角形的判定和性质,可将△BCD绕点C顺时针旋转60°,再利用勾 股定理逆定理证明直角三角形,最后利用勾股定理即可解决问题. 【详解】解:将△BCD绕点C顺时针旋转60°,则点B与点A重合,点D的对应点为点E,连接DE, 由旋转可知,△ACE≌△BCD,∠DCE=60°, ∴AE=BD=4❑√7,CE=CD=2❑√3, ∴△CDE为等边三角形, ∴DE=CD=2❑√3. 又∵102+(2❑√3) 2=(4❑√7) 2 , 则AD2+DE2=AE2, ∴△ADE是直角三角形,且∠ADE=90°, 过点C作AD的垂线,垂足为G, ∵∠ADE=90°,∠CDE=60°, ∴∠CDG=30°, 1 ∴CG= CD=❑√3, 2 则DG=❑√3CG=3,∴AG=10−3=7, 在Rt△ACG中,AC=❑√72+(❑√3) 2=2❑√13, 1 过点A作BC的垂线,垂足为H,则CH= BC=❑√13, 2 ∴AH=❑√AC2−CH2=❑√39, 1 ∴S = ×2❑√13×❑√39=13❑√3, △ABC 2 故选:B. 二.填空题(共6小题,满分18分,每小题3分) 11.(3分)(24-25八年级·湖北武汉·期末)如图,在△ABC中,AC=2,AB=❑√7,∠ACB=60°,点D 为△ABC外一点,且满足CD∥AB,AC=AD,则BD的长为 . 【答案】❑√13 【分析】此题考查全等三角形的判定与性质、30°直角三角形、勾股定理.作AE⊥BC于点E, CF⊥AB于点F,DH⊥AB交BA的延长线于点H,则∠AEC=∠AEB=∠AFC=∠H=90°,先由两 条平行线之间的距离处处相等得到CF=DH,再证明Rt△AHD≌Rt△AFC(HL)得到AF=AH,然后在 1 △ABC中由AE⊥BC求出CE= AC=1,AE=❑√3,BE=2,BC=BE+CE=3,再利用 2 1 1 3❑√21 ❑√7 S = AE⋅BC= CF⋅AB得到DH=CF= ,接着利用勾股定理依次求出AF=AH= , △ABC 2 2 7 7 8❑√7 BH=AB+AH= ,BD=❑√BH2+DH2=❑√13,于是得到问题的答案. 7 【详解】解:作AE⊥BC于点E,CF⊥AB于点F,DH⊥AB交BA的延长线于点H,则 ∠AEC=∠AEB=∠AFC=∠H=90°,∵CD∥AB, ∴CF=DH, ∵AC=AD, ∴Rt△AHD≌Rt△AFC(HL), ∴AF=AH, ∵AC=2,AB=❑√7,∠ACB=60°, ∴∠CAE=90°−∠ACB=30°, 1 ∴CE= AC=1, 2 ∴AE=❑√AC2−CE2=❑√22−12=❑√3, ∴BE=❑√AB2−AE2=❑√(❑√7) 2 −(❑√3) 2=2, ∴BC=BE+CE=2+1=3, 1 1 ∵S = AE⋅BC= CF⋅AB, △ABC 2 2 AE⋅BC 3×❑√3 3❑√21 ∴DH=CF= = = , AB ❑√7 7 ∴AF=AH=❑√AC2−CF2=❑ √ 22− (3❑√21) 2 = ❑√7 , 7 7 ❑√7 8❑√7 ∴BH=AB+AH=❑√7+ = , 7 7 ∴BD=❑√BH2+DH2=❑ √ (8❑√7) 2 + (3❑√21) 2 =❑√13, 7 7 故答案为:❑√13. 12.(3分)(24-25八年级·山西晋中·期末)如图,直线AB:y=x+b分别与x、y轴交于A,B两点,点 A的坐标为(−4,0),过点B的直线交x轴正半轴于点C,且OB:OC=4:3.点P是y轴上的一点,连接CP ,将△BCP沿直线CP翻折,当点B的对应点B′恰好落在x轴上时,此时点P的坐标为 .( 3) 【答案】 0, 或(0,−6) 2 【分析】本题是一次函数综合题,主要考查了一次函数与几何综合,勾股定理和折叠综合等知识,运用分 类讨论思想是解题的关键. 由直线AB过点A,利用一次函数图象上点的坐标特征可求出b的值,进而可得出点B的坐标及OB的长度, 结合OB:OC=4:3可求出点C的坐标,设OP=x,则PB=PB′=4−x或4+x,在Rt△POB′中,利用勾 股定理可得出关于x的方程,解之即可得出结论. 【详解】∵直线AB:y=x+b过点A(−4,0), ∴0=−4+b, ∴b=4, 当x=0时,y=x+b=b=4, ∴点B的坐标为(0,4),即OB=4, ∵OB:OC=4:3, ∴OC=3, ∵点C在x轴正半轴, ∴点C的坐标为(3,0), 依照题意画出图形,如图所示. 由翻折得,PB=PB′,B′C=BC, ∵OB=4,OC=3,,∴B′C=BC=❑√42+32=5, ∴OB′=5−3=2或OB′=5+3=8, ∴设OP=x,则PB=PB′=4−x或4+x, 在Rt△POB′中,∠POB′=90°, ∴OP2+OB′2=PB′2,即x2+22=(4−x) 2或x2+82=(4+x) 2, 3 解得:x= 或x=6, 2 ( 3) 点P的坐标为 0, 或(0,−6). 2 ( 3) 故答案为: 0, 或(0,−6) 2 13.(3分)(24-25八年级·四川成都·期末)如图,在等腰直角△ABC中,∠ACB=90°,点D在边AC (不含A,C两点)上,连BD,以DB为直角边向右侧作邻腰直角△BDE,∠BDE=90°,连接CE.若 AD=2, CE=❑√5,则线段BE的长为 . 【答案】2❑√5 【分析】本题主要考查了勾股定理,等腰直角三角形,熟练掌握等腰直角三角形的判定和性质,灵活运用 勾股定理进行计算是解决问题的关键,正确地作出辅助线构造全等三角形是解决问题的难点. 过点E作EF⊥AC,交AC的延长线于点F,设DC=a,则BC=AC=2+a,证明△BDC和△≝¿全等得 DC=EF=a,BC=DF=2+a,则CF=2,在Rt△CEF中,由勾股定理可求出a=1,则BC=3,进而得 BD=DE=❑√10,然后在Rt△BDE中,由勾股定理即可求出线段BE的长. 【详解】过点E作EF⊥AC,交AC的延长线于点F,如图所示:∴∠F=90° , 设DC=a, ∵AD=2, ∴AC=AD+DC=2+a, ∵△ABC是等腰直角三角形,∠ACB=90°, ∴BC=AC=2+a, ∴∠BCD=∠F=90°,∠DBC+∠BDC=90°, ∵△BDE是等腰直角三角形,∠BDE=90°, ∴BD=DE,∠EDF+∠BDC=90°, ∴∠DBC=∠EDF, 在△BDC和△≝¿中, {∠BCD=∠F=90° ) ∠DBC=∠EDF , BD=DE ∴△BDC≌△≝(AAS), ∴DC=EF=a,BC=DF=2+a, ∴CF=DF−DC=2+a−a=2, 在Rt△CEF中,由勾股定理得: EF=❑√CE2−CF2=1, 即a=1, ∴BC=2+a=3, 在Rt△BDC中,由勾股定理得: BD=❑√CD2+BC2=❑√10, ∴BD=DE=❑√10, 在Rt△BDE中,由勾股定理得:BE=❑√BD2+DE2=2❑√5. 故答案为:2❑√5. 14.(3分)(24-25八年级·辽宁沈阳·期末)若一个三角形有一边上的中线与这边的长相等,则称这个三 角形为该边上的“完美三角形”.如图在直角坐标系中,正方形ABCO的两边OA、OC分别在坐标轴 上,点B的坐标是(3,3).在正方形ABCO的边上找一点P,使得△POC是OC边上的“完美三角形”,点 P的坐标为 . (3 ) ( 3❑√3) ( 3❑√3) 【答案】 ,3 或 3, 或 0, 2 2 2 【分析】本题主要考查了正方形的性质、勾股定理等知识点,掌握分类讨论思想是解题的关键. (3 ) 利用正方形的性质得到A(0,3),C(3,0),进而得到OC中点D的坐标为 ,0 ,再分当点P在AB上时、当 2 点P在BC上时、当点P在OA上时三种情况,分别利用勾股定理建立方程求解即可. 【详解】解:∵四边形ABCO是正方形,点B的坐标是(3,3), ∴A(0,3),C(3,0), (3 ) ∴OC中点D的坐标为 ,0 , 2 如图所示,当点P在AB上时,设P(m,3); ∵△POC是OC边上的“完美三角形”, ∴PD=OC=3, ∴ ( m− 3) 2 +(3−0) 2=32 ,解得m= 3 . 2 2(3 ) ∴点P的坐标为 ,3 . 2 如图2所示,当点P在BC上时,设P(3,n); ∵△POC是OC边上的“中线三角形”, ∴PD=OC=3, 3❑√3 ∴(n−0) 2+(3−1) 2=32,解得n= (负值舍去), 2 ( 3❑√3) ∴点P的坐标为 3, , 2 如图3所示,当点P在OA上时,设P(0,s); ∵△POC是OC边上的“中线三角形”, ∴PD=OC=3, 3❑√3 ∴(s−0) 2+(0−1) 2=32,解得s= (负值舍去), 2 ( 3❑√3) ∴点P的坐标为 0, ; 2 (3 ) ( 3❑√3) ( 3❑√3) 综上所述,点P的坐标为 ,3 或 3, 或 0, . 2 2 2 (3 ) ( 3❑√3) ( 3❑√3) 故答案为: ,3 或 3, 或 0, . 2 2 2 15.(3分)(24-25八年级·四川成都·期末)如图,在△ABC中,AD平分∠BAC,交边BC于点D,若BD=6,CD=3,∠ADC=45°,则线段AC的长为 . 【答案】3❑√5 【分析】此题主要考查了全等三角形的判定与性质,角平分线,勾股定理,熟练掌握全等三角形的判定与 性质,灵活运用勾股定理及三角形的面积公式进行计算是解决问题的关键. 在AB上截取AE=AC,连接DE,过点A作AH⊥BC交BC的延长线于点H,设AH=a,证明△ADH是 等腰直角三角形得AH=DH=a,则CH=a−3,证明△ACD和△AED全等得CD=DE=3, 9a ∠ADC=∠ADE=45°,进而得DE⊥BC,根据三角形的面积公式得S =9,S = , △BDE △ABC 2 3a S =S = ,再根据S +S +S =S ,解出a=6,进而得AH=6,CH=3,然后在 △ACD △AED 2 △BDE △ACD △AED △ABC 由勾股定理即可求出AC的长. 【详解】解:在AB上截取AE=AC,连接DE,过点A作AH⊥BC交BC的延长线于点H,如图所示: 设AH=a, ∵∠ADC=45°, ∴△ADH是等腰直角三角形, ∴AH=DH=a, ∵BD=6,CD=3, ∴CH=DH−CD=a−3, ∵AD平分∠BAC, ∴∠CAD=∠EAD, { AC=AE ) 在△ACD和△AED中, ∠CAD=∠EAD , AD=AD ∴△ACD≌△AED(SAS),∴CD=DE=3,∠ADC=∠ADE=45°, ∴∠EDC=∠ADC+∠ADE=90°,即DE⊥BC, ∵BD=6,CD=3, ∴BC=BD+CD=9, 1 1 ∴S = BD·DE= ×6×3=9, △BDE 2 2 1 9a S = BC·AH= , △ABC 2 2 1 3a S = CD·AH= , △ACD 2 2 ∵△ACD≌△AED, 3a ∴S =S = , △ACD △AED 2 又∵S +S +S =S , △BDE △ACD △AED △ABC 3a 3a 9a ∴9+ + = , 2 2 2 解得:a=6, ∴AH=a=6,CH=a−3=3, 在Rt△ACH中,由勾股定理得:AC=❑√AH2+CH2=❑√62+32=3❑√5. 故答案为:3❑√5. 16.(3分)(24-25八年级·浙江丽水·期末)如图,在四边形ABCD中,对角线AC⊥BD,F为CD上一 点,连接AF交BD于点E,AF⊥AB,已知∠BAG=∠ABC=45∘,且BC+AG=10❑√2. (1)则AB的长是 ; (2)若AE=2EF,且∠AGD+∠BCD=180∘,则AF= . 【答案】 10 6 【分析】本题主要考查了等腰直角三角形的性质和判定、勾股定理、全等三角形的判定和性质等知识,熟 练掌握相关知识是解题的关键.(1)延长AF交BC的延长线于点H,易得△ABH是等腰直角三角形,可证△ABG≌△HAC,所以 BH=BC+AG=10❑√2,即可得解; (2)由条件易证△AGE ≌△HCF(ASA),得到FH=AE=2x,所以AH=5x=10,即可求解. 【详解】解:(1)延长AF交BC的延长线于点H, ∵AF⊥AB , ∴∠BAH=90∘, ∵∠ABC=45∘, ∴∠H=90°−∠ABC=45°=∠ABC, ∴AB=AH,即△ABH是等腰直角三角形, ∴∠AHB=45∘=∠BAG,AH=AB, ∵AC⊥BD, ∴∠CAH=90∘−∠AEG=∠ABG, 在△ABG和△HAC中, {∠BAG=∠AHC ) AB=AH , ∠ABG=∠CAH ∴△ABG≌△HAC(SAS), ∴CH=AG, ∵BC+AG=10❑√2, ∴BC+CH=BH=10❑√2, 在Rt△ABH中,AB2+AH2=BH2, 即2AB2=200, ∴AB=10; 故答案为:10; (2)∵∠AGD+∠BCD=180∘,∠FCH+∠BCD=180∘, ∴∠AGD=∠FCH, ∵∠BAG=45°,∠BAG=∠FHC, ∴∠EAG=45°=∠FHC, 在△AGE和△HCF中,{∠EAG=∠FHC ) AG=CH , ∠AGD=∠FCH ∴△AGE ≌△HCF(ASA), ∴FH=AE, 设EF=x,则FH=AE=2x, ∴AH=AE+EF+FH=5x=10, 解得:x=2, ∴AF=AE+EF=3x=6. 故答案为:6. 第Ⅱ卷 三.解答题(共8小题,满分72分) 17.(6分)(24-25八年级·河北石家庄·期末)如图,在△ABC中,AC=4,BC=3,点P从点A出发, 沿折线A−C−B−A的路径,以每秒1个单位长度的速度运动.设点P的运动时间为t秒(t>0). 【问题探究】 (1)当AB=5时 ①判断△ABC的形状,并说出理由. ②点P在AC边上运动,当BP=4时,求t的值. 【深入探索】 (2)在(1)的条件下①当点P运动到∠CAB的角平分线上时,t的值为_____. ②如图,当点P运动到AB边上时,过点P作PD⊥CP,交边AC于点D,且△BCP是以CP为腰的等腰三 角形,那么PD的长等于_____. 【引发思考】 (3)如图3,以AB为边,在△ABC下方作等腰△ABE,∠AEB=120°,CE的最大值为_____. 16 15 7 7❑√3 【答案】(1)①△ABC为直角三角形;理由见解析;②t=4−❑√7;(2)① ;② 或 ;(3) 3 8 8 3【分析】(1)①根据勾股定理的逆定理进行判断即可; ②根据勾股定理求出CP=❑√7,再求出AP即可; (2)①过点P作PQ⊥AB于点Q,根据角平分线性质得出CP=PQ,证明Rt△APC≌Rt△APQ(HL), 4 得出AQ=AC=4,设CP=PQ=x,则BP=3−x,根据勾股定理得出(3−x) 2=x2+12,求出x= ,即可 3 得出答案; ②分两种情况讨论:当CP=BP时,当CP=CB=3时,分别画出图形,进行求解即可; (3)将CE绕点E逆时针旋转120°到EF,连接AF,CF,过点E作EG⊥CF于点G,证明 △CEB≌△FEA(SAS),得出AF=BC=3,根据三角形三边关系得出CF≤AF+AC=3+4=7,根据等腰 7❑√3 三角形的性质和勾股定理求出CF=2CG=❑√3CE,即可得出❑√3CE≤7,求出CE≤ ,即可求出结 3 果。 【详解】解:(1)①△ABC为直角三角形,理由如下: ∵32+42=25=52, ∴AC2+BC2=AB2, ∴△ABC为直角三角形; ②∵△ABC为直角三角形,∠ACB=90°, ∴BP=4时,CP=❑√BP2−BC2=❑√42−32=❑√7, ∴AP=AC−CP=4−❑√7, ∴t=4−❑√7; (2)①过点P作PQ⊥AB于点Q,如图所示: ∵∠ACB=90°,PQ⊥AB,AP平分∠BAC, ∴CP=PQ, ∵AP=AP, ∴Rt△APC≌Rt△APQ(HL), ∴AQ=AC=4,∴BQ=AB−AQ=5−4=1, 设CP=PQ=x,则BP=3−x, 根据勾股定理得:BP2=BQ2+PQ2, 即(3−x) 2=x2+12, 4 解得:x= , 3 4 16 ∴AC+CP=4+ = , 3 3 16 ∴t= ; 3 ②当CP=BP时,过点P作PM⊥BC于点M,PN⊥AC于点N,如图所示: 则∠PMB=90°, ∵∠ACB=∠PMB=90°, ∴PM∥AC, ∴∠CAB=∠BPM,∠ACP=∠CPM, ∵CP=BP,PM⊥BC, ∴∠BPM=∠CPM, ∴∠ACP=∠CAP, ∴AP=CP, 1 ∴AP=BP=CP= AB=2.5, 2 ∵AP=CP,PN⊥AC, 1 ∴AN=CN= AC=2,∠ANP=∠CNP=90°, 2 ∴PN=❑√CP2−CN2=❑√2.52−22=1.5, 设DN=x,则CD=2+x, ∵DP⊥CP,∴∠CPD=90°, ∴DP2=CD2−CP2=(2+x) 2−2.52, ∵DP2=DN2+PN2=x2+1.52, ∴(2+x) 2−2.52=x2+1.52, 9 解得:x= , 8 ∴PD=❑√PN2+DN2=❑ √ 1.52+ (9) 2 = 15 ; 8 8 当CP=CB=3时,如图所示: ∵CP=CB, ∴∠CPB=∠CBP, ∵DP⊥CP, ∴∠CPD=90°, ∴∠APD+∠CPB=90°, ∵∠CAB+∠ABC=90°, ∴∠CAB=∠APD, ∴AD=DP, 设AD=DP=x,则CD=AC−AD=4−x, ∵CD2=DP2+CP2, ∴(4−x) 2=x2+32, 7 解得:x= , 8 7 即DP= ; 8 15 7 综上分析可知:DP的长为 或 . 8 8(3)将CE绕点E逆时针旋转120°到EF,连接AF,CF,过点E作EG⊥CF于点G,如图所示: 根据旋转可知:EF=CE,∠AEF=120°, ∵∠AEB=120°, ∴∠CEB+∠CEA=∠CEA+∠AEF=120°, ∴∠CEB=∠AEF, ∵AE=BE, ∴△CEB≌△FEA(SAS), ∴AF=BC=3, ∵AC=4, ∴CF≤AF+AC=3+4=7, ∵EG⊥CF,CE=EF, 1 ∴CG=FG,∠CEG=∠FEG= ∠CEF=60°,∠CGE=90°, 2 ∴∠ECG=90°−60°=30°, 1 ∴EG= CE, 2 ∴CG=❑√CE2−EG2=❑ √ CE2− (1 CE ) 2 = ❑√3 CE, 2 2 ∴CF=2CG=❑√3CE, ∴❑√3CE≤7, 7❑√3 ∴CE≤ , 3 7❑√3 ∴CE的最大值为 . 3 【点睛】本题主要考查了勾股定理及其逆定理,等腰三角形的判定和性质,三角形全等的判定和性质,三 角形三边关系的应用,含30度角的直角三角形的性质,解题的关键是作出辅助线,熟练掌握相关的判定和性质. 18.(6分)(24-25八年级·四川达州·阶段练习)如图所示,A、B两块试验田相距200m,C为水源地, AC=160m,BC=120m,为了方便灌溉,现有两种方案修筑水渠. 甲方案:从水源地C直接修筑两条水渠分别到A、B; 乙方案;过点C作AB的垂线,垂足为H,先从水源地C修筑一条水渠到AB所在直线上的H处,再从H 分别向A、B进行修筑. (1)请判断△ABC的形状(要求写出推理过程); (2)两种方案中,哪一种方案所修的水渠较短?请通过计算说明. 【答案】(1)△ABC是直角三角形,理由见解析;(2)(2)甲方案所修的水渠较短;理由见解析 【分析】(1)由勾股定理的逆定理即可得出 ABC是直角三角形; (2)由 ABC的面积求出CH,得出AC+BC△<CH+AH+BH,即可得出结果. 【详解】△解:(1)△ABC是直角三角形; 理由如下: ∴AC2+BC2=1602+1202=40000,AB2=2002=40000, ∴AC2+BC2=AB2, ∴△ABC是直角三角形,∠ACB=90°; (2)甲方案所修的水渠较短; 理由如下: ∵△ABC是直角三角形, 1 1 ∴△ABC的面积= AB•CH= AC•BC, 2 2 AC•BC 160×120 ∴CH= = =96(m), AB 200 ∵AC+BC=160+120=280(m),CH+AH+BH=CH+AB=96+200=296(m), ∴AC+BC<CH+AH+BH, ∴甲方案所修的水渠较短.【点睛】本题考查了勾股定理的应用、勾股定理的逆定理、三角形面积的计算;熟练掌握勾股定理,由勾 股定理的逆定理证出△ABC是直角三角形是解决问题的关键. 19.(8分)(24-25八年级·上海浦东新·期末)【背景介绍】勾股定理是几何学中的明珠,充满着魅力, 千百年来,人们对它的证明精彩粉呈,其中有著名的数学家,也有业余数学爱好者,向常春在1994年构造 发现了一个新的证法. 【小试牛刀】(1)把两个全等的直角三角形如图1放置,∠DAB=∠B=90°,已知AB=AD=a, AE=BC=b,DE=AC=c,AC⊥DE,试证明a2+b2=c2. 【知识运用】 (2)如图2,铁路上A,B两点(看作直线上的两点)相距24千米,C,D为两个村庄(看作两个点), AD⊥AB,BC⊥AB,垂足分别为A、B,AD=23千米,BC=16千米,则两个村庄的距离为 千 米(直接填空); (3)在(2)的背景下,要在AB上建造一个供应站P,使得PC=PD,求AP的长. (4)【知识迁移】借助上面的思考过程与几何模型,求代数式❑√x2+9+❑√(16−x) 2+81的最小值 . 【答案】(1)见解析;(2)25;(3)6.3125千米;(4)20 【分析】(1)根据全等三角形的性质可得AB=AD=a,BC=AE=b,AC=DE=c,则 BE=AB−AE=a−b,分别用含a,b,c的式子,结合图形表示出梯形ABCD、四边形AECD、△EBC 的面积,根据S =S +S ,代入计算即可求解; 梯形ABCD 四边形AECD △BCE (2)如图2所示,连接CD,作CE⊥AD于点E,可得CE,DE的长,在Rt△CDE中,运用勾股定理即 可求解; (3)如图3所示,连接CD,作CD的垂直平分线交AB于P点,则点P即为所求;利用勾股定理得 PD2=AP2+AD2,PC2=PB2+BC2,进而得AP2+AD2=PB2+BC2,再根据AB=40千米, AD=25千米,BC=16千米得PB=AB−AP=(40−AP)千米,即可解答; (4)根据轴对称−最短路线的求法即可求出. 【详解】(1)证明:根据题意,Rt△ABC≌Rt△DAE,AB=AD=a,AC=DE=c,BC=AE=b, 则BE=AB−AE=a−b,1 1 1 1 ∴四边形AECD的面积= ED⋅AF+ ⋅ED⋅CF= DE⋅AC= c2 , 2 2 2 2 ∵S =S +S , 梯形ABCD 四边形AECD △BCE 1 1 1 ∴ a(a+b)= c2+ b(a−b), 2 2 2 ∴a2+b2=c2; (2)解:如图2所示,连接CD,过点C作CE⊥AD于点E, ∵BC⊥AB AD⊥AB , , ∴∠A=∠B=∠CEA=90°, ∴四边形ABCE是矩形, ∴AE=BC=16千米,CE=AB=24千米, ∵AD=23千米, ∴DE=AD−AE=23−16=7(千米), 由勾股定理得:CD=❑√DE2+CE2=❑√72+242=25(千米), 则两个村庄之间的距离为25千米. 故答案为:25; (3)解:如图3所示,连接CD,作线段CD的垂直平分线交AB于P,则点P即为所求; 连接PC,PD, ∴PC=PD, 在Rt△PAD中,由勾股定理得:PD2=AP2+AD2, 在Rt△PBC中,由勾股定理得:PC2=PB2+BC2,∴AP2+AD2=PB2+BC2, 在(2)的背景下,则AB=24千米,AD=23千米,BC=16千米, ∴PB=AB−AP=(24−AP)千米, ∴AP2+232=(24−AP) 2+162, ∴AP=6.3125千米. 即AP的长为6.3125千米; (4)解:如图4,AD⊥AB,BC⊥AB,AD=9,BC=3,AB=16, 设BP=x,则AP=16−x, 先作出点C关于AB的对称点F,连接DF,过点F作EF⊥AD于点E, 则DP=❑√(16−x) 2+81,CP=❑√x2+9, 当点D,P,F三点共线时,DP+PF有最小值, 由轴对称可得:PC=PF, ∴ DP+PC的最小值为❑√x2+9+❑√(16−x) 2+81, 即:DF就是代数式❑√x2+9+❑√(16−x) 2+81的最小值. ∴代数式❑√x2+9+❑√(16−x) 2+81的最小值为❑√DE2+EF2=❑√(AD+BC) 2+AB2=❑√(9+3) 2+162=20. 故答案为:20. 【点睛】此题是三角形综合题,主要考查了证明勾股定理,勾股定理的应用,轴对称−最短路线问题以及 线段的垂直平分线等,证明勾股定理常用的方法是利用面积证明,是解本题的关键.构造出直角三角形 DEF是解本题的难点. 20.(8分)(24-25八年级·福建泉州·期末)小明学习了勾股定理之后,探究“如何用一条已知线段构造 一个直角三角形且使其周长恰好等于线段的长”.1 1 (1)如图1,已知线段AB=12,小明在线段AB上取点M和N,使得AM= AB,MN= AB,再将线段 4 3 AM,MN,BN围成三角形,求证:所围成的三角形是直角三角形; (2)如图2,点P为线段AB上一点,请在线段BP上作点Q,使AP,PQ,QB(PQ