当前位置:首页>文档>期末解答题压轴题—坐标系中几何模型(考题猜想,5种必考题型)教师版_初中数学_八年级数学上册(人教版)_期末专项复习-U276_2025版

期末解答题压轴题—坐标系中几何模型(考题猜想,5种必考题型)教师版_初中数学_八年级数学上册(人教版)_期末专项复习-U276_2025版

  • 2026-04-07 05:57:25 2026-04-07 04:47:05

文档预览

期末解答题压轴题—坐标系中几何模型(考题猜想,5种必考题型)教师版_初中数学_八年级数学上册(人教版)_期末专项复习-U276_2025版
期末解答题压轴题—坐标系中几何模型(考题猜想,5种必考题型)教师版_初中数学_八年级数学上册(人教版)_期末专项复习-U276_2025版
期末解答题压轴题—坐标系中几何模型(考题猜想,5种必考题型)教师版_初中数学_八年级数学上册(人教版)_期末专项复习-U276_2025版
期末解答题压轴题—坐标系中几何模型(考题猜想,5种必考题型)教师版_初中数学_八年级数学上册(人教版)_期末专项复习-U276_2025版
期末解答题压轴题—坐标系中几何模型(考题猜想,5种必考题型)教师版_初中数学_八年级数学上册(人教版)_期末专项复习-U276_2025版
期末解答题压轴题—坐标系中几何模型(考题猜想,5种必考题型)教师版_初中数学_八年级数学上册(人教版)_期末专项复习-U276_2025版
期末解答题压轴题—坐标系中几何模型(考题猜想,5种必考题型)教师版_初中数学_八年级数学上册(人教版)_期末专项复习-U276_2025版
期末解答题压轴题—坐标系中几何模型(考题猜想,5种必考题型)教师版_初中数学_八年级数学上册(人教版)_期末专项复习-U276_2025版
期末解答题压轴题—坐标系中几何模型(考题猜想,5种必考题型)教师版_初中数学_八年级数学上册(人教版)_期末专项复习-U276_2025版
期末解答题压轴题—坐标系中几何模型(考题猜想,5种必考题型)教师版_初中数学_八年级数学上册(人教版)_期末专项复习-U276_2025版
期末解答题压轴题—坐标系中几何模型(考题猜想,5种必考题型)教师版_初中数学_八年级数学上册(人教版)_期末专项复习-U276_2025版
期末解答题压轴题—坐标系中几何模型(考题猜想,5种必考题型)教师版_初中数学_八年级数学上册(人教版)_期末专项复习-U276_2025版
期末解答题压轴题—坐标系中几何模型(考题猜想,5种必考题型)教师版_初中数学_八年级数学上册(人教版)_期末专项复习-U276_2025版
期末解答题压轴题—坐标系中几何模型(考题猜想,5种必考题型)教师版_初中数学_八年级数学上册(人教版)_期末专项复习-U276_2025版
期末解答题压轴题—坐标系中几何模型(考题猜想,5种必考题型)教师版_初中数学_八年级数学上册(人教版)_期末专项复习-U276_2025版
期末解答题压轴题—坐标系中几何模型(考题猜想,5种必考题型)教师版_初中数学_八年级数学上册(人教版)_期末专项复习-U276_2025版
期末解答题压轴题—坐标系中几何模型(考题猜想,5种必考题型)教师版_初中数学_八年级数学上册(人教版)_期末专项复习-U276_2025版
期末解答题压轴题—坐标系中几何模型(考题猜想,5种必考题型)教师版_初中数学_八年级数学上册(人教版)_期末专项复习-U276_2025版
期末解答题压轴题—坐标系中几何模型(考题猜想,5种必考题型)教师版_初中数学_八年级数学上册(人教版)_期末专项复习-U276_2025版
期末解答题压轴题—坐标系中几何模型(考题猜想,5种必考题型)教师版_初中数学_八年级数学上册(人教版)_期末专项复习-U276_2025版
期末解答题压轴题—坐标系中几何模型(考题猜想,5种必考题型)教师版_初中数学_八年级数学上册(人教版)_期末专项复习-U276_2025版
期末解答题压轴题—坐标系中几何模型(考题猜想,5种必考题型)教师版_初中数学_八年级数学上册(人教版)_期末专项复习-U276_2025版
期末解答题压轴题—坐标系中几何模型(考题猜想,5种必考题型)教师版_初中数学_八年级数学上册(人教版)_期末专项复习-U276_2025版
期末解答题压轴题—坐标系中几何模型(考题猜想,5种必考题型)教师版_初中数学_八年级数学上册(人教版)_期末专项复习-U276_2025版
期末解答题压轴题—坐标系中几何模型(考题猜想,5种必考题型)教师版_初中数学_八年级数学上册(人教版)_期末专项复习-U276_2025版
期末解答题压轴题—坐标系中几何模型(考题猜想,5种必考题型)教师版_初中数学_八年级数学上册(人教版)_期末专项复习-U276_2025版
期末解答题压轴题—坐标系中几何模型(考题猜想,5种必考题型)教师版_初中数学_八年级数学上册(人教版)_期末专项复习-U276_2025版
期末解答题压轴题—坐标系中几何模型(考题猜想,5种必考题型)教师版_初中数学_八年级数学上册(人教版)_期末专项复习-U276_2025版
期末解答题压轴题—坐标系中几何模型(考题猜想,5种必考题型)教师版_初中数学_八年级数学上册(人教版)_期末专项复习-U276_2025版
期末解答题压轴题—坐标系中几何模型(考题猜想,5种必考题型)教师版_初中数学_八年级数学上册(人教版)_期末专项复习-U276_2025版
期末解答题压轴题—坐标系中几何模型(考题猜想,5种必考题型)教师版_初中数学_八年级数学上册(人教版)_期末专项复习-U276_2025版
期末解答题压轴题—坐标系中几何模型(考题猜想,5种必考题型)教师版_初中数学_八年级数学上册(人教版)_期末专项复习-U276_2025版
期末解答题压轴题—坐标系中几何模型(考题猜想,5种必考题型)教师版_初中数学_八年级数学上册(人教版)_期末专项复习-U276_2025版
期末解答题压轴题—坐标系中几何模型(考题猜想,5种必考题型)教师版_初中数学_八年级数学上册(人教版)_期末专项复习-U276_2025版
期末解答题压轴题—坐标系中几何模型(考题猜想,5种必考题型)教师版_初中数学_八年级数学上册(人教版)_期末专项复习-U276_2025版
期末解答题压轴题—坐标系中几何模型(考题猜想,5种必考题型)教师版_初中数学_八年级数学上册(人教版)_期末专项复习-U276_2025版
期末解答题压轴题—坐标系中几何模型(考题猜想,5种必考题型)教师版_初中数学_八年级数学上册(人教版)_期末专项复习-U276_2025版
期末解答题压轴题—坐标系中几何模型(考题猜想,5种必考题型)教师版_初中数学_八年级数学上册(人教版)_期末专项复习-U276_2025版
期末解答题压轴题—坐标系中几何模型(考题猜想,5种必考题型)教师版_初中数学_八年级数学上册(人教版)_期末专项复习-U276_2025版
期末解答题压轴题—坐标系中几何模型(考题猜想,5种必考题型)教师版_初中数学_八年级数学上册(人教版)_期末专项复习-U276_2025版
期末解答题压轴题—坐标系中几何模型(考题猜想,5种必考题型)教师版_初中数学_八年级数学上册(人教版)_期末专项复习-U276_2025版
期末解答题压轴题—坐标系中几何模型(考题猜想,5种必考题型)教师版_初中数学_八年级数学上册(人教版)_期末专项复习-U276_2025版
期末解答题压轴题—坐标系中几何模型(考题猜想,5种必考题型)教师版_初中数学_八年级数学上册(人教版)_期末专项复习-U276_2025版
期末解答题压轴题—坐标系中几何模型(考题猜想,5种必考题型)教师版_初中数学_八年级数学上册(人教版)_期末专项复习-U276_2025版
期末解答题压轴题—坐标系中几何模型(考题猜想,5种必考题型)教师版_初中数学_八年级数学上册(人教版)_期末专项复习-U276_2025版
期末解答题压轴题—坐标系中几何模型(考题猜想,5种必考题型)教师版_初中数学_八年级数学上册(人教版)_期末专项复习-U276_2025版
期末解答题压轴题—坐标系中几何模型(考题猜想,5种必考题型)教师版_初中数学_八年级数学上册(人教版)_期末专项复习-U276_2025版
期末解答题压轴题—坐标系中几何模型(考题猜想,5种必考题型)教师版_初中数学_八年级数学上册(人教版)_期末专项复习-U276_2025版
期末解答题压轴题—坐标系中几何模型(考题猜想,5种必考题型)教师版_初中数学_八年级数学上册(人教版)_期末专项复习-U276_2025版
期末解答题压轴题—坐标系中几何模型(考题猜想,5种必考题型)教师版_初中数学_八年级数学上册(人教版)_期末专项复习-U276_2025版
期末解答题压轴题—坐标系中几何模型(考题猜想,5种必考题型)教师版_初中数学_八年级数学上册(人教版)_期末专项复习-U276_2025版
期末解答题压轴题—坐标系中几何模型(考题猜想,5种必考题型)教师版_初中数学_八年级数学上册(人教版)_期末专项复习-U276_2025版
期末解答题压轴题—坐标系中几何模型(考题猜想,5种必考题型)教师版_初中数学_八年级数学上册(人教版)_期末专项复习-U276_2025版
期末解答题压轴题—坐标系中几何模型(考题猜想,5种必考题型)教师版_初中数学_八年级数学上册(人教版)_期末专项复习-U276_2025版
期末解答题压轴题—坐标系中几何模型(考题猜想,5种必考题型)教师版_初中数学_八年级数学上册(人教版)_期末专项复习-U276_2025版
期末解答题压轴题—坐标系中几何模型(考题猜想,5种必考题型)教师版_初中数学_八年级数学上册(人教版)_期末专项复习-U276_2025版
期末解答题压轴题—坐标系中几何模型(考题猜想,5种必考题型)教师版_初中数学_八年级数学上册(人教版)_期末专项复习-U276_2025版
期末解答题压轴题—坐标系中几何模型(考题猜想,5种必考题型)教师版_初中数学_八年级数学上册(人教版)_期末专项复习-U276_2025版
期末解答题压轴题—坐标系中几何模型(考题猜想,5种必考题型)教师版_初中数学_八年级数学上册(人教版)_期末专项复习-U276_2025版
期末解答题压轴题—坐标系中几何模型(考题猜想,5种必考题型)教师版_初中数学_八年级数学上册(人教版)_期末专项复习-U276_2025版
期末解答题压轴题—坐标系中几何模型(考题猜想,5种必考题型)教师版_初中数学_八年级数学上册(人教版)_期末专项复习-U276_2025版
期末解答题压轴题—坐标系中几何模型(考题猜想,5种必考题型)教师版_初中数学_八年级数学上册(人教版)_期末专项复习-U276_2025版
期末解答题压轴题—坐标系中几何模型(考题猜想,5种必考题型)教师版_初中数学_八年级数学上册(人教版)_期末专项复习-U276_2025版

文档信息

文档格式
docx
文档大小
6.809 MB
文档页数
59 页
上传时间
2026-04-07 04:47:05

文档内容

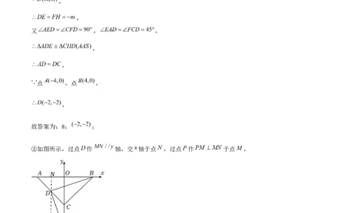
期末解答题压轴题—坐标系中几何模型 (考题猜想,5 种必考题型) 题型一:三垂直模型(共7题) 1.(2024春•仓山区校级月考)在平面直角坐标系中,点 ,点 均在坐标轴上,点 是 轴 负半轴上的一动点,连接 , . (1)若 的面积为16,在线段 上存在点 ; ①如图1,填空: 的面积为 ,点 的坐标为 ; ②如图2,点 在 轴负半轴上,连接 , ,若 ,求点 的坐标; (2)如图3,若 ,在第四象限内有一动点 ,连接 , , ,且 .求证: .【分析】(1)①过点 作 于点 , 轴于点 ,求出 ,证明 , 得出 ,则可得出答案; ②过点 作 轴,交 轴于点 ,过点 作 于点 ,证明 ,得 出 , ,则可得出答案; (2)在 上取点 , ,证明 得出 ,则可得出结论. 【解答】(1)解:①过点 作 于点 , 轴于点 , 点 ,点 均在坐标轴上, , , 的面积为16, , 则 . , ,, , 又 , , , , 点 ,点 , , 故答案为:8; ; ②如图所示,过点 作 轴,交 轴于点 ,过点 作 于点 , 点 , ,又 , , , , , ; (2)证明: , , , 又 , , 是等边三角形, 如图所示,在 上取点 , , , 则 是等边三角形, , , , 在 和 中,, , . 【点评】本题是三角形综合题,考查了等边三角形的性质、坐标与图形的性质、全等三角形的判定与的质 等知识,解题的关键是灵活运用所学知识解决问题,学会添加常用辅助线,利用全等三角形的性质解决问 题. 2.(2023秋•武昌区期末)如图,在△ 中, , ,点 在第一象限,点 在 轴的负半轴上, 交 轴于 , 交 轴于 , ,点 在 轴上,且在点 的 上方. (1)如图1,求证: 平分 ; (2)如图2,连接 ,求证: ; (3)直接写出点 的坐标 (用含 的式子表示). 【分析】(1)根据三角形外角的性质和平角的定义可得出 即可; (2)作 于 , 轴于 ,作 轴于 ,交 于点 ,根据角平分线性质得 ,根据平行线的性质得 ,由(1)得 ,得出 ,根据 证明△ △ 得 ,进一步可得出结论; ( 3 ) 作 轴 于 , 轴 于 , 过 作 于 , 证 明 △ △ , 得,再根据 ,求出 ,即可表示出点 的坐标. 【解答】(1)证明:设 ,则 . 在 △ 中, , , 平分 ; (2)作 于 , 轴于 ,作 轴于 ,交 于点 , , , 平分 , , 轴, , 又 , , , △ △ , , , , 垂直平分 , ;(3)作 轴于 , 轴于 ,过 作 于 , , , , , . , , , , , △ △ , . , . , , , 故答案为: . 【点评】本题主要考查了坐标与图形,三角形外角性质,角平分线性质定理,全等三角形的判定与性质, 等腰三角形的判定与性质图形的面积等知识,正确作出辅助线构造全等三角形是解答本题的关键.3.(2023秋•东莞市校级期末)【积累经验】 (1)萌萌学完全等三角形的知识后,遇到了这样一个问题:如图 1, 于点 , 于点 , 点 在线段 上,连接 , , ,且 .求证: , .萌萌发现 只需证明△ △ 即可; 【类比应用】 (2)如图2,在平面直角坐标系中,在 中, , ,已知点 的坐标为 ,点 的坐标为 ,求点 的坐标; 【拓展提升】 (3)如图3,在平面直角坐标系中,点 的坐标为 ,点 为 轴正半轴上一动点,分别以 , 为边在第一,第二象限中分别作等腰直角 ,等腰直角 , ,连接 交 轴于点 ,当点 在 轴上移动时, 的长度是否发生改变?若不变,求出 的值;若变化,求 的取值范围. 【分析】(1)根据同角的余角相等得到 ,证明 ; (2)过点 作 轴于点 ,根据(1)的结论求出 、 ,进而求出点 的坐标; (3)过点 作 轴于点 ,证明 ,根据全等三角形的性质解答即可. 【解答】解:(1) , , , , , 在 和 中,, , 故答案为: , ; (2)如图2,过点 作 轴于点 , , , , , 由(1)可知: , , , , 点 的坐标为 ; (3) 的长度不发生改变. 理由如下:如图3,过点 作 轴于点 , , , 由(1)可知: , , , , , 在 和 中, , , .【点评】本题考查的是等腰直角三角形的性质、三角形全等的判定和性质,掌握全等三角形的判定定理是 解题的关键. 4.(2023秋•东莞市期末)综合与实践: 如图,在平面直角坐标系中,点 , 分别是 轴、 轴上的两个动点,以 为直角边作等腰直角三角 形 , 交 轴于点 ,斜边 交 轴于点 . 问题解决: (1)如图①, ,点 的坐标为 ,求点 的坐标. 变式探索: (2)如图②,若将 沿着 折叠,点 恰好落在 轴的点 处,求证:点 是 的中点. 拓展与应用: (3)如图③,点 在 轴负半轴上且 ,分别以 , 为直角边在第二、一象限作等腰直角三角 形 和 ,且 ,连接 交 轴于点 .当点 在 轴的正半轴上运动时, 的长度是否变化?若变化,请说明理由.若不变化,请求出 的长度.【分析】(1)由“ ”可证 ,可得 , ,可求解; (2)由折叠的性质可得 , ,由“ ”可证 ,可得 ,可得结论; (3)由“ ”可证 ,可得 , .由“ ”可证 , 可得 . 【解答】(1)解:如图1,过点 作 轴于点 , 点 的坐标为 , , , , 轴于点 , , , , , ,在 和 中, , , , , , 点 的坐标为 ; (2)证明: 是等腰直角三角形, , 将 沿着 折叠, , , , , , 又 , , , , 点 是 的中点; (3)解: 的长度不会改变,理由如下: 过点 作 轴于点 ., . , . , , , , . , . , , , . 【点评】本题属于几何变换综合题,考查了等腰直角三角形的性质,坐标与图形的性质,全等三角形的判 和性质,解题的关键是正确寻找全等三角形解决问题,属于中考压轴题. 5.(2023秋•赤壁市期末)如图1,在平面直角坐标系中,在 轴上有两点 、 ,在 轴负半轴上有一 点 , , ,以 为顶点作等腰直角 ,点 在第三象限, , . (1)填空: 点的坐标为: ; 点的纵坐标为: ; (2)如图2,连接 , ,求 的度数; (3)如图3,过点 作 于点 ,交 于点 ,点 在 上且 ,连接 . ①求证: ; ②直接写出线段 、 、 之间的数量关系为: . 【分析】(1)作 轴于点 ,求得 ,进而证明 ,而,所以 ,则 ,所以 ,由 ,得点 的 纵坐标为 ,于是得到问题的答案; ( 2 ) 作 轴 于 点 , 由 , 得 , 则 , 则 , 由 , , 得 ,则 ; (3)①由 , ,证明 是等边三角形,则 , ,所以 , , 而 , ,所以 ,即可根据“ ”证明 ; ②由(2)得 , ,则 ,求得 , 所以 ,则 ,于是得到问题的答案. 【解答】解:(1)如图1,作 轴于点 ,则 , , , 在 和 中, , , , , , , , , , , 点 的纵坐标为 ,故答案为: , . (2)如图2,作 轴于点 , , , , 由(1)得 , , , , , , , 的度数是 . (3)①证明:如图3, , , 是等边三角形, , , , , , , 于点 , , , , 在 和 中, , . ②由(2)得 , , , , ,, 故答案为: . 【点评】此题重点考查图形与坐标、等边三角形的判定与性质、等腰直角三角形的性质、全等三角形的判 定与性质、三角形的一个外角等于与它不相邻的两个内角的和、直角三角形中 角所对的直角边等于斜 边的一半等知识,此题综合性强,难度较大,属于考试压轴题. 6.(2023秋•武汉期末)如图,在平面直角坐标系中,点 是 轴正半轴上一点,点 是 轴正 半轴上一点,且 , 是多项式 中一次项的系数. (1)直接写出 , 两点的坐标: , , , . (2)如图1,点 为线段 上一点(点 不与 、 重合)且满足: ,连 ,点 为 轴上 一点(点 在点 的右边),若 ,求证: . (3)如图2,过点 作 于点 ,以 为边在 轴左侧作等边 ,连接 交 于点 , 请探究线段 、 、 三者之间的数量关系并证明你的结论.【分析】(1)根据整式的运算求出 , 的值即可得解; (2)如图 1,在 上取一点 ,使 ,过点 作 的延长线于点 ,过点 作 的延长线于点 ,根据等腰直角三角形的性质与判定求出 , , 、 、 三点共线,利用 证明 ,根据全等三角形的性质得 出 ,再利用 证明 ,则 ,结合直角三角形的性质及平角定义 求出 ,根据垂直的定义即可得解; (3)在 上取 ,连接 并延长交 轴于点 ,根据等边三角形的性质、等腰三角形的性质 及角的和差求出 , , , ,利用 证 明 ,根据全等三角形的性质得出 , ,根据角的和差求出 ,再根据含 角的直角三角形的性质求解即可. 【解答】(1)解: , , , , 是多项式 中一次项的系数, , , 故答案为:4,0;0,4; (2)证明:如图1,在 上取一点 ,使 ,过点 作 的延长线于点 ,过点 作的延长线于点 , 则 是等腰直角三角形, , , , , 同理 , , 、 、 三点共线, 由(1)得, , 又 , , 在 和 中, , , , 在 和 中, ,, , , , , ; (3)解: ,理由如下: 如图2,在 上取 ,连接 并延长交 轴于点 , 在等边 中, , , , , , , , ,, 在等腰直角 中, , , , , 在 和 中, , , , , , , 在 △ 中, , , , . 【点评】此题是三角形综合题,考查了等腰直角三角形的判定与性质、全等三角形的判定与性质、根据含 角的直角三角形的性质等知识,熟练掌握等腰直角三角形的判定与性质、全等三角形的判定与性质、 根据含 角的直角三角形的性质并作出合理的辅助线构建全等三角形是解题的关键. 7.(2023秋•海南期末)在平面直角坐标系中,点 , 分别是 轴、 轴上的动点,连接 作等腰直 角三角形 且 . (1)当点 在 轴负半轴上时, ①如图1,若 ,则 度; ②如图2, 交 轴于点 , 轴与 交于点 ,若 ,求证: 平分 ;(2)如图3,当点 在 轴正半轴上且 时,若 ,取点 ,连接 , 交 轴于点 .当点 运动时, 的长度是否发生改变?若改变,请求出它的变化范围;若不变,求出它的长度. 【分析】(1)根据同角的余角相等即可解决问题; (2)如图2中,证明 ,可得 垂直平分 ,利用等腰三角形的性质即可解决问题; (3)如图3中,过点 作 轴于点 ,证明 ,可得 , , 然后证明 ,即可解决问题. 【解答】(1)解: , , , . 故答案为:20; (2)证明:如图2, , , , , , 在 和 中, ,, , , , , , 垂直平分 , , 平分 ; (3)解: 的长度不变, ,理由如下: 如图3,过点 作 轴于点 , , , , , , , , , , ,, , , , , , , . 【点评】本题是三角形综合题,考查了全等三角形的判定与性质,等腰直角三角形的判定与性质,解决本 题的关键是得到 . 题型二:截长补短模型(共3题) 1.(2024秋•凉州区校级期中)如图,点 , ,满足 . (1)直接写出 的面积为 . (2)如图1,点 在线段 上(不与 、 重合)移动, ,且 ,求 的度 数. (3)如图2, ,点 是 轴上一动点(点 在点 的左边且不与点 重合),在 轴正半轴上取一 点 ,连接 , , ,使 ,试探究线段 , , 之间的数量关系,并给出证明. 【分析】(1)根据非负数的性质得出 , ,可得 ,即可得出答案;(2)延长 至 ,使得 ,连接 ,证明 ,由全等三角形的性质得出 , ,证明 ,由全等三角形的性质得出 ,则可 得出答案. (3)分两种情况,由全等三角形的性质可得出结论. 【解答】解:(1) , , , , , 点 的坐标为 ,点 的坐标为 , , 的面积 , 故答案为:2; (2) . 理由如下:如图1,延长 至 ,使得 ,连接 , , , 在 和 中,, , , , , , 在 和 中, , , , 又 , , ; (3)①如图2,当 在 , 之间时,过点 作 ,交 轴于点 ,连接 , , , , ,, 轴, 轴, , , 四边形 是矩形, , 矩形 是正方形, , , , , , , , 在 与 中, , , , , , , 在 和 中, , , , 即 ; ②如图3,当 在 左侧时,同理可证 ,, 同理可证 , , . 综上所述,线段 , , 之间的数量关系是 或 . 【点评】本题是三角形综合题,考查了非负数的性质,等腰直角三角形的性质,全等三角形的判定和性质, 坐标与图形的性质等知识,添加恰当辅助线构造全等三角形是解题的关键. 2.(2022秋•江岸区期末)如图1所示,在平面直角坐标系中,已知点 , , 垂直 轴 于点 , 轴于点 . (1)求证: ; (2)如图2,连接 , 交于点 ,若 ,求点 的坐标; (3)如图 3,点 是第一象限内一动点,点 是 轴正半轴上一动点,连接 , ,始终保持 且 ,连接 , 为线段 中点,连接 和 ,求证: 的大小为定值.【 分 析 】 ( 1 ) 证 明 , 由 全 等 三 角 形 的 性 质 得 出 , 得 出 ,则可得出结论; (2)证出 ,作 交 于点 ,由(1)可知, ,得出 ,证明 ,由全等三角形的性质得出 ,则可得出答案; (3)延长 至 ,使 ,连接 ,并延长 , 交于点 ,证明 ,由 全等三角形的性质得出 , ,证明 ,由全等三角形的性质 得出 , ,则可得出结论. 【解答】(1)证明: , , , , , , , , ; (2)解: , , , , , 作 交 于点 ,轴, , , 由(1)可知, , , , , , , , , ; (3)证明:延长 至 ,使 ,连接 ,并延长 , 交于点 , , , , ,, , 则 , , , , , , , , , , , , 即 的大小为定值. 【点评】本题是三角形综合题,考查了全等三角形的判定和性质,坐标与图形的性质,等腰直角三角形的 性质等知识,灵活运用这些性质解决问题是解题的关键. 3.(2022秋•嘉禾县期末)如图1,点 、 在 轴正半轴上,点 、 分别在 轴上, 平分 与 轴交于 点, . (1)求证: ; (2)如图2,点 的坐标为 ,点 为 上一点,且 ,求 的长; (3)在(1)中,过 作 于 点,点 为 上一动点,点 为 上一动点,(如图 ,当 在 上移动,点 在 上移动时,始终满足 ,试判断 、 、 这 三者之间的数量关系,写出你的结论并加以证明.【分析】(1)根据角平分线得出 ,进而判断出 ,即可得出结论; (2)过点 作 于 ,根据角平分线得出 ,进而判断出 ,得出 ,进而判断出 ,得出 ,再判断出 ,即可得出结论; (3)在 的延长线上取一点 ,使 ,再判断出 ,进而判断出 ,得出 , ,进而判断出 ,进而判断出 ,得出 ,即可得出结论. 【解答】解:(1) 平分 , , 在 和 中, , , ; (2)如图2, 过点 作 于 , 平分 , , , 在 和 中, ,, , 在 和 中, , , , , , , , , , , , ; (3) ; 证明:如图3, 在 的延长线上取一点 ,使 , 平分 , , , , 在 和 中, , , , , ,, 在 和 中, , , , , . 【点评】此题是三角形综合题,主要考查了全等三角形的判定和性质,角平分线定理,等腰三角形的性质, 构造出全等三角形是解本题的关键. 题型三:手拉手旋转模型(共5题) 1.(2023春•九龙坡区校级期末)如图,在平面直角坐标系中,点 ,点 在 轴正半轴上,点 在 轴负半轴上, ,点 是 轴上的一动点(点 不与 、 重合), , ,连接 . (1)如图1,直接写出点 , 的坐标; (2)如图2,当点 在边 上时,求证:① ,② ; (3)当 时,求点 的坐标.【分析】(1)由等腰直角三角形的性质可得出 ,则可得出答案; (2)①证明 ,利用 定理证明 ,根据全等三角形的性质得到 , 进而证明结论; ②全等三角形的性质得出 ,则可得出结论; (3)当点 在线段 上时,求出 ,则可得出答案;当点 在线段 的延长线上时,同理 可求出 ,则可得出答案. 【解答】(1)解: , , , , , , , ; (2)①证明: 和 是等腰直角三角形, , , , ,即 . 在 和 中, , , , ; ② , ,, , , , ; (3)当点 在线段 上, 在 轴右侧时, , , , 由(2)可知 , , ; 当点 在线段 上, 在 轴左侧时,同理可得 ; 当点 在线段 的延长线上, 在 轴上方时, 由(2)可知 , 同理可得 , , , , 当点 在线段 的延长线上, 在 轴下方时,同理可得 ; 综上所述,点 的坐标为 或 或 或 .【点评】本题属于三角形综合题,考查了等腰直角三角形的性质、全等三角形的判定和性质,掌握三角形 全等的判定定理和性质定理是解题的关键. 2.(2023秋•朝天区期末)已知点 在 轴正半轴上,以 为边作等边 , ,其中 是方程 的解. (1)点 的坐标为 ; (2)如图1,点 在 轴正半轴上,以 为边在第一象限内作等边 ,连 并延长交 轴于点 , 求 的度数; (3)如图2,点 为 轴正半轴上一动点,点 在点 的右边,连接 ,以 为边在第一象限内作等 边 ,连 并延长交 轴于点 ,当点 运动时, 的值是否发生变化?若不变,求其值; 若变化,求出其变化的范围. 【分析】(1)解分式方程可得: ,即可得出 ; (2)由等边三角形性质,利用 证明 ,运用全等三角形性质即可求得答案; ( 3 ) 先 证 明 , 得 出 : , , 进 而 得 出 ,故 的值是定值. 【解答】解:(1) , , 解得: , 经检验, 是原方程的解,, 故答案为: ; (2)如图1, , 是等边三角形, , , , , 在 和 中, , , , , , ; (3) 的值是定值,理由如下: , 是等边三角形, , , , , 在 和 中, , , , , , , , , ,, , 的值是定值. 【点评】本题是三角形综合题,考查了分式方程的解法,等边三角形性质,全等三角形的性质和判定的应 用,主要考查学生运用定理进行推理的能力. 3.(2022 秋•霞山区校级期末)已知, ,点 在边 上,点 是边 上一动点, .以线段 为边在 上方作等边 ,连接 、 ,再以线段 为边作等边 (点 、 在 的同侧),作 于点 . (1)如图1, .①依题意补全图形;②求 的度数; (2)如图2,当点 在射线 上运动时,用等式表示线段 与 之间的数量关系,并证明.【分析】(1)①根据题意,即可画出图形; ②根据 ,可得答案; (2)连接 , ,利用 可证明 ,得 , ,再通过导角发现 ,从而解决问题. 【解答】解:(1)①如图所示,即为所求; ② 是等边三角形, , , , ; (2) ,证明如下: 如图,连接 , ,由(2)可知, 是等边三角形, , , 是等边三角形, , , , , , , , , , , , , , 在 中, , . 【点评】本题是三角形综合题,主要考查了等边三角形的性质,全等三角形的判定与性质,含 角的直 角三角形的性质等知识,证明 是解题的关键. 4.(2023秋•丹江口市期末)如图①,平面直角坐标系 中,已知 , ,且 , 满足. (1)填空: , , ; (2)如图②, 是 轴正半轴上的一个动点,连接 ,将 绕点 逆时针旋转 至 ,问点 是否在某条直线上运动?若是,请求出这条直线;若不是,请说明理由; (3)如图③,当点 与点 关于 轴对称时,在直线 上的一点 满足 ,请判断线段 与 的数量关系,并说明理由. 【分析】(1)利用非负数的性质即可得到 , 的值,进而得出 的形状为等腰直角三角形,由此可 得 的度数; (2)过点 作 轴于点 ,判定△ △ ,即可得到 6,进而得出当 点 在 正半轴上运动时,点 到 轴的距离均为6,即 点在直线 6上运动; (3)过点 作 轴于点 ,交 于点 ,判定△ △ ,即可得到 ,进 而得出 ,由此可得 2 . 【解答】解:(1) , 满足 , , , , 解得 , , , ,, 又 , 是等腰直角三角形, , 故答案为: ,6, ; (2) 点在 6的直线上运动.理由如下: 如图②,过点 作 轴于点 ,则 , 又 , , , 在△ 和△ 中, , △ △ , 6, 即当点 在 正半轴上运动时,点 到 轴的距离均为6, 点在直线 6上运动; (3) .理由如下: 如图③,过点 作 轴于点 ,交 于点 ,则 轴, ,, , , , 点 与点 关于 轴对称, , , , , 在△ 和△ 中, , △ △ , , , , 2 . 【点评】本题属于几何变换综合题,主要考查了全等三角形的判定与性质,等腰直角三角形的性质的综合 运用,解决问题的关键是作辅助线构造全等三角形,利用全等三角形的对应边相等得出结论. 5.(2023秋•鼓楼区校级期末)已知,在平面直角坐标系中, , 为 轴上两点,且 , 满 足: ,点 , , 为线段 上一动点. (1)则 , ; (2)如图1,若点 在 的垂直平分线上,作 ,交 的延长线于点 ,连接 ,求证: 轴; (3)如图2,作点 关于 的对称点 ,连接 ,取 中点 .连接 , ,判断 与 的数量关系,并说明理由.【分析】(1)利用非负数的性质,即可得到 , 的值; (2)利用垂直平分线的性质,即可得到 的度数,进而得出 与 轴的位置关系; (3)连接 并延长至 ,使得 ,连接 , ,构造两对全等三角形,利用全等三角形的性 质,即可得到 与 的数量关系. 【解答】(1)解: , 满足: ,即 , , , , , 故答案为: ,3; (2)证明:如图1,连接 , 点 在 的垂直平分线上, ,即 是等腰三角形, , , , 又 , 垂直平分 , , , , , , ,即 , 又 , 垂直平分 , ,, , 轴; (3)解: 与 的数量关系为 . 理由:如图2,连接 , , 点 关于 的对称点为 , , , , 是等边三角形, , 如图2,连接 并延长至 ,使得 ,连接 , ,则 , 点 是 的中点, , , , , , , , 又 , , 又 , , , , , 又 是 的中点, , , ,, 中, . 【点评】本题属于三角形综合题,主要考查了非负数的性质,线段的垂直平分线的性质,等边三角形的判 定与性质,全等三角形的判定与性质以及含 角的直角三角形的性质的综合运用.作辅助线构造全等三 角形,并熟练运用全等三角形的性质是解题的关键. 题型四:夹半角与三垂直、手拉手(共2题) 1.(2024秋•肇庆期中)如图:已知 、 ,且 、 满足 . (1)如图1,求△ 的面积; (2)如图2,点 在线段 上(不与 、 重合)移动, ,且 ,猜想线段 、 、 之间的数量关系并证明你的结论; (3)如图3,若 为 轴上异于原点 和点 的一个动点,连接 ,将线段 绕点 顺时针旋转 至 ,直线 交 轴于点 ,当 点在 轴上移动时,线段 和线段 中,请判断哪条线段长为定值, 并求出该定值. 【分析】(1)根据非负数的性质得到 , ,求得 , ,得到 , , 于是得到结果; (2)证明:将△ 绕点 逆时针旋转 得到△ 根据已知条件得到 ,由 , , 同 时 代 的 , 求 出 ,推出△ △ ,根据全等三角形的性质得到 ; ( 3 ) 是 定 值 , 作 于 , 在 上 截 取 , 由 , 得 到, ,根据余角的性质得到 ,推出△ ,根据全等三角形的 性质得到 ,于是得到 .即: ,根据等腰直角三角形的性质得到结论. 【解答】(1)解: , , , , , 、 , , , △ 的面积 ; (2)证明:将△ 绕点 逆时针旋转 得到△ , , , , , , , , 在△ 与△ 中, , :△ △ , , ,故 . (3) 是定值,作 于 ,在 上截取 , , , , , , 在△ 与△ 中,, △ , , , 即: , , , , . 【点评】本题考查了全等三角形的判定和性质,坐标与图形的性质,三角形面积的计算,正确的作出辅助 线是解题的关键. 2.(2023秋•荔湾区期末)如图,点 , ,且 , 满足 . (1)如图1,求 的面积;(2)如图2,点 在线段 上(不与 、 重合)移动, ,且 ,猜想线段 、 、 之间的数量关系,并证明你的结论; (3)若点 为 轴正半轴上异于原点 和点 的一个动点,连接 ,将线段 绕点 顺时针旋转 至 ,直线 交 轴于点 ,当点 在 轴正半轴上移动时,线段 和线段 中哪一条线段长为定 值,并求出该定值. 【分析】(1)根据非负数的性质得到 , ,得到 , ,可得到结果; (2)将 绕点 逆时针旋转 得到 ,根据已知条件得到 ,由 , ,可得 ,求出 ,推出 ,根据全等三角形的性质得到 ; (3)作 于 ,在 上截取 ,由 ,得到 , , 根据余角的性质得到 ,推出 ,根据全等三角形的性质得到 ,得到 .即: ,从而由等腰直角三角形的性质得到结论. 【解答】解:(1) , , , , , 、 , , , 的面积 ; (2) ,证明如下: 如图2,将 绕点 逆时针旋转 得到 , , , ,即 , , 共线,, , , , 在 与 中, , , , , ; (3) 是定值,理由如下: 作 于 ,在 上截取 ,如图 将线段 绕点 顺时针旋转 至 , , , , , 在 与 中, , , ,,即 , , , , . 线段 为定值6. 【点评】本题考查了几何变换综合题,需要掌握全等三角形的判定和性质,坐标与图形的性质,三角形面 积的计算等知识点,正确的作出辅助线是解题的关键. 题型五:对角互补与婆罗摩笈多模型(共2题) 1.(2024秋•海珠区校级期中)如图,在平面直角坐标系中,△ 的顶点 , 分别在 轴和 轴上, 且 , . (1)如图1,若点 的坐标 ,点 的坐标 ,求点 的坐标; (2)过点 作 ,交 轴于点 , 是 边上一点,过 作 交射线 于点 .①如图2,若点 与点 重合.求证: ; ②如图 3,过点 作线段 且 ,取 的中点 , 交 于点 ,设 , ,求 的长(用含 , 的式子表示). 【分析】(1)过点 作 轴于 ,则 ,可证得:△ △ ,即可 求得答案; (2)①过点 作 交射线 于 ,可证得△ △ ,即可得出 ; ②过点 作 交 的延长线于 ,过点 作 于 , 于 ,设 交 于 , 可证得△ △ ,△ △ ,△ △ ,可推出 ,进而 得解. 【解答】(1)解: 点 的坐标为 ,点 的坐标为 , , , 如图1,过点 作 轴于 ,则 , , , 在△ 和△ 中, , △ △ ,, , , ; (2)①证明:过点 作 交射线 于 ,如图2, , , , , , , , , , 在△ 和△ 中, , △ △ , ; ②解:如图3,过点 作 交 的延长线于 ,过点 作 于 , 于 ,设 交 于 ,则 , , , 点 是 的中点, , 在△ 和△ 中, , △ △ , , , , , , , , , , , , , , 在△ 和△ 中, ,△ △ , , 且 , , , , 在△ 和△ 中, , △ △ , . 【点评】本题是三角形综合题目,考查了等腰直角三角形的判定与性质、全等三角形的判定与性质、坐标 与图形性质、等腰三角形的判定、直角三角形的性质、平行线的性质等知识,本题综合性强,熟练掌握等 腰直角三角形的判定与性质,证明三角形全等是解题的关键,属于中考常考题型. 2.(2023秋•青山区期中)如图,在平面直角坐标系中, 的顶点 , 分别在 轴和 轴上,且 , . (1)如图1,若点 的坐标 ,点 的坐标 ,求点 的坐标; (2)过点 作 ,交 轴于点 , 是 边上一点,过 作 交射线 于点 . ①如图2,若点 与点 重合.求证: ; ②如图 3,过点 作线段 且 ,取 的中点 , 交 于点 ,设 , ,直接写出 的面积(用含 , 的式子表示).【分析】(1)过点 作 轴于 ,则 ,可证得: ,即可求 得答案; (2)①过点 作 交射线 于 ,可证得 ,即可得出 ; ②过点 作 交 的延长线于 ,过点 作 于 , 于 ,设 交 于 , 可 证 得 , , , 可 推 出 . 【解答】(1)解: 点 的坐标为 ,点 的坐标为 , , , 如图1,过点 作 轴于 ,则 , , ,在 和 中, , , , , , ; (2)①证明:过点 作 交射线 于 ,如图2, , , , , , , , , , 在 和 中, , , ;②解:如图3,过点 作 交 的延长线于 ,过点 作 于 , 于 ,设 交 于 , 则 , , , 点 是 的中点, , 在 和 中, , , , , , , , , , , , , , , , 在 和 中,, , , 且 , , , , 在 和 中, , , , , , , , , , , . 【点评】本题是三角形综合题目,考查了等腰直角三角形的判定与性质、全等三角形的判定与性质、坐标 与图形性质、等腰三角形的判定、直角三角形的性质、平行线的性质等知识,本题综合性强,熟练掌握等 腰直角三角形的判定与性质,证明三角形全等是解题的关键,属于中考常考题型.