当前位置:首页>文档>专题00高考解答题解题技巧全攻略-2025年高考数学二轮热点题型归纳与变式演练(新高考通用)(原卷版)_02高考数学_2025年新高考资料_二轮复习_一、题型突破_热点题型•解答题攻略

专题00高考解答题解题技巧全攻略-2025年高考数学二轮热点题型归纳与变式演练(新高考通用)(原卷版)_02高考数学_2025年新高考资料_二轮复习_一、题型突破_热点题型•解答题攻略

  • 2026-04-07 07:05:48 2026-04-07 07:03:46

文档预览

专题00高考解答题解题技巧全攻略-2025年高考数学二轮热点题型归纳与变式演练(新高考通用)(原卷版)_02高考数学_2025年新高考资料_二轮复习_一、题型突破_热点题型•解答题攻略
专题00高考解答题解题技巧全攻略-2025年高考数学二轮热点题型归纳与变式演练(新高考通用)(原卷版)_02高考数学_2025年新高考资料_二轮复习_一、题型突破_热点题型•解答题攻略
专题00高考解答题解题技巧全攻略-2025年高考数学二轮热点题型归纳与变式演练(新高考通用)(原卷版)_02高考数学_2025年新高考资料_二轮复习_一、题型突破_热点题型•解答题攻略
专题00高考解答题解题技巧全攻略-2025年高考数学二轮热点题型归纳与变式演练(新高考通用)(原卷版)_02高考数学_2025年新高考资料_二轮复习_一、题型突破_热点题型•解答题攻略
专题00高考解答题解题技巧全攻略-2025年高考数学二轮热点题型归纳与变式演练(新高考通用)(原卷版)_02高考数学_2025年新高考资料_二轮复习_一、题型突破_热点题型•解答题攻略
专题00高考解答题解题技巧全攻略-2025年高考数学二轮热点题型归纳与变式演练(新高考通用)(原卷版)_02高考数学_2025年新高考资料_二轮复习_一、题型突破_热点题型•解答题攻略
专题00高考解答题解题技巧全攻略-2025年高考数学二轮热点题型归纳与变式演练(新高考通用)(原卷版)_02高考数学_2025年新高考资料_二轮复习_一、题型突破_热点题型•解答题攻略
专题00高考解答题解题技巧全攻略-2025年高考数学二轮热点题型归纳与变式演练(新高考通用)(原卷版)_02高考数学_2025年新高考资料_二轮复习_一、题型突破_热点题型•解答题攻略
专题00高考解答题解题技巧全攻略-2025年高考数学二轮热点题型归纳与变式演练(新高考通用)(原卷版)_02高考数学_2025年新高考资料_二轮复习_一、题型突破_热点题型•解答题攻略
专题00高考解答题解题技巧全攻略-2025年高考数学二轮热点题型归纳与变式演练(新高考通用)(原卷版)_02高考数学_2025年新高考资料_二轮复习_一、题型突破_热点题型•解答题攻略
专题00高考解答题解题技巧全攻略-2025年高考数学二轮热点题型归纳与变式演练(新高考通用)(原卷版)_02高考数学_2025年新高考资料_二轮复习_一、题型突破_热点题型•解答题攻略
专题00高考解答题解题技巧全攻略-2025年高考数学二轮热点题型归纳与变式演练(新高考通用)(原卷版)_02高考数学_2025年新高考资料_二轮复习_一、题型突破_热点题型•解答题攻略
专题00高考解答题解题技巧全攻略-2025年高考数学二轮热点题型归纳与变式演练(新高考通用)(原卷版)_02高考数学_2025年新高考资料_二轮复习_一、题型突破_热点题型•解答题攻略
专题00高考解答题解题技巧全攻略-2025年高考数学二轮热点题型归纳与变式演练(新高考通用)(原卷版)_02高考数学_2025年新高考资料_二轮复习_一、题型突破_热点题型•解答题攻略
专题00高考解答题解题技巧全攻略-2025年高考数学二轮热点题型归纳与变式演练(新高考通用)(原卷版)_02高考数学_2025年新高考资料_二轮复习_一、题型突破_热点题型•解答题攻略
专题00高考解答题解题技巧全攻略-2025年高考数学二轮热点题型归纳与变式演练(新高考通用)(原卷版)_02高考数学_2025年新高考资料_二轮复习_一、题型突破_热点题型•解答题攻略
专题00高考解答题解题技巧全攻略-2025年高考数学二轮热点题型归纳与变式演练(新高考通用)(原卷版)_02高考数学_2025年新高考资料_二轮复习_一、题型突破_热点题型•解答题攻略
专题00高考解答题解题技巧全攻略-2025年高考数学二轮热点题型归纳与变式演练(新高考通用)(原卷版)_02高考数学_2025年新高考资料_二轮复习_一、题型突破_热点题型•解答题攻略
专题00高考解答题解题技巧全攻略-2025年高考数学二轮热点题型归纳与变式演练(新高考通用)(原卷版)_02高考数学_2025年新高考资料_二轮复习_一、题型突破_热点题型•解答题攻略
专题00高考解答题解题技巧全攻略-2025年高考数学二轮热点题型归纳与变式演练(新高考通用)(原卷版)_02高考数学_2025年新高考资料_二轮复习_一、题型突破_热点题型•解答题攻略

文档信息

文档格式
docx
文档大小
1.094 MB
文档页数
16 页
上传时间
2026-04-07 07:03:46

文档内容

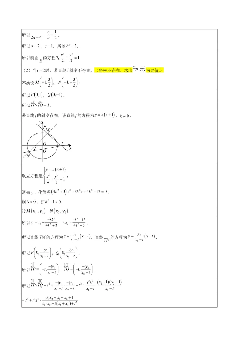
专题 00 高考解答题解题技巧全攻略 目录(Ctrl并单击鼠标可跟踪链接) 方法一 构建答题模板...................................................................................................................................................1 方法二 跳步答题...........................................................................................................................................................4 方法三 分类讨论...........................................................................................................................................................6 方法四 数形结合...........................................................................................................................................................8 方法五 特殊值探路.....................................................................................................................................................10 方法六 正难则反.........................................................................................................................................................12 方法一 构建答题模板 构建答题模板,步步为营,不因缺少步骤或者部分条件而导致扣分,是所有技巧的基础。 【典型例题】 1.(2024·广东江苏·高考真题)记 的内角A、B、C的对边分别为a,b,c,已知 , (1)求B; (2)若 的面积为 ,求c. 【详解】(1)由余弦定理有 , 对比已知 , 可得 ,(注意公式书写和化简) 因为 ,所以 , 从而 , 又因为 ,即 , 注意到 ,(容易忽略)所以 . (2)由(1)可得 , , ,从而 , , 而 , 由正弦定理有 , 从而 , 由三角形面积公式可知, 的面积可表示为 ,(分解分步,步骤得分) 由已知 的面积为 ,可得 ,所以 . 【变式训练】 一、解答题 1.(24-25高三上·江苏·阶段练习)记 的内角 的对边分别为 ,面积为 ,已知 (1)求 ; (2)若 边上的高为1且 ,求 的面积 . 2.(2024·吉林·三模)已知数列 满足 , . (1)证明:数列 为等差数列,并求通项 ; (2)求数列 的前n项和 . 3.(24-25高三上·江苏·阶段练习)如图,在直四棱柱 中, 平面 , , ,其中 , , 是 的中点, 是 的中点.(1)求证: 平面 ; (2)若异面直线 、 所成角的余弦值为 ,求二面角 的余弦值. 4.(2024·陕西宝鸡·模拟预测)统计显示,我国在线直播生活购物用户规模近几年保持高速增长态势,下 表为 年— 年我国在线直播生活购物用户规模(单位:亿人),其中 年— 年对应的代码 依次为 — . 年份代码 市场规模 , , ,其中 参考公式:对于一组数据 、 、 、 ,其经验回归直线 的斜率和截距的最小 二乘估计公式分别为 , . (1)由上表数据可知,若用函数模型 拟合 与 的关系,请估计 年我国在线直播生活购物用 户的规模(结果精确到 ); (2)已知我国在线直播生活购物用户选择在品牌官方直播间购物的概率 ,现从我国在线直播购物用户中随 机抽取 人,记这 人中选择在品牌官方直播间购物的人数为 ,若 ,求 的数学期 望和方差. 5.(2024高三·全国·专题练习)已知双曲线 的左、右焦点分别为 ,实轴长 为2, 为 的右支上一点,且 . (1)求 的方程;(2)设 的左、右顶点分别为 ,直线 与 交于 两点,与 轴交于点 ,直线 与 交于 点 ,证明:点 在定直线上. 6.(24-25高三上·天津·阶段练习)设函数 ,其中 . (1)若 a=−1,求曲线 在点 处的切线方程; (2)若 , (i) 证明: 函数 恰有两个零点; (ii) 设 为函数 的极值点, 为函数 的零点,且 ,证明: . 方法二 跳步答题 解题过程卡在某一过渡环节上是常见的。这时,我们可以假定某些结论是正确的往后推,看能否得到 结论,或从结论出发,看使结论成立需要什么条件。如果方向正确,就回过头来,集中力量攻克这一卡壳 处。如果时间不允许,那么可以把前面的写下来,再写出证实某步之后,继续有一直做到底,这就是跳步 解答。也许,后来中间步骤又想出来,这时不要乱七八糟插上去,可补在后面。若题目有两问,第一问想 不出来,可把第一问作已知,先做第二问,这也是跳步解答。 【典型例题】 2.(2024·全国·高考真题)如图,平面四边形ABCD中, , , , , ,点E,F满足 , ,将 沿EF翻折至 ,使得 . (1)证明: ; (2)求平面PCD与平面PBF所成的二面角的正弦值. 【详解】(1)由 , 得 ,又 ,在 中, 由余弦定理得 ,所以 ,则 ,即 , 所以 ,又 平面 , 所以 平面 ,又 平面 , 故 ;(可以将第一问证明当作条件应用于第二问) (2)连接 ,由 ,则 , 在 中, ,得 , 所以 ,由(1)知 ,又 平面 , 所以 平面 ,又 平面 , 所以 ,则 两两垂直,建立如图空间直角坐标系 , 则 , 由 是 的中点,得 , 所以 , 设平面 和平面 的一个法向量分别为 , 则 , , 令 ,得 , 所以 , 所以 , 设平面 和平面 所成角为 ,则 , 即平面 和平面 所成角的正弦值为 . 【变式训练】 一、解答题 1.(24-25高三上·河北·期中)已知数列 的前n项和为 ,且 .(1)求证:数列 为等比数列; (2)若 ,求数列 的前n项和 . 2.(2024高三·全国·专题练习)记 的内角 的对边分别为 ,已知 . (1)证明: ; (2)若 ,点 在线段 上,且 , ,求 . 3.(24-25高三上·河北·期中)如图,在平面五边形 中, , , , ,将 沿 翻折,使点 到达点 的位置,得到如图所示的四棱锥 ,且 , 为 的中点. (1)证明: ; (2)若 ,求平面 与平面 夹角的余弦值. 方法三 分类讨论 解题时常常会遇到这样一种情况,解到某一步之后,不能再以统一的方法、统一的式子继续进行下 去,这是因为被研究的对象包含了多种情况,这就需要对各种情况加以分类,并逐类求解,然后综合归纳 得解,这就是分类讨论。 引起分类讨论的原因很多,数学概念本身具有多种情形,数学运算法则、某些定理、公式的限制,图 形位置的不确定性,变化、不等式的求解等均可能引起分类讨论。在分类讨论解题时,要做到标准统一, 不重不漏。 【典型例题】 3.(2024·全国·高考真题)已知函数 . (1)当 时,求 的极值; (2)当 时, ,求 的取值范围.【详解】(1)当 时, , 故 , 因为 在 上为增函数, 故 在 上为增函数,而 , 故当 时, ,当 时, , 故 在 处取极小值且极小值为 ,无极大值. (2) , 设 , 则 ,(注意利用范围端点的性质来确定如何分类) 当 时, ,故 在 上为增函数, 故 ,即 , 所以 在 上为增函数,故 . 当 时,当 时, , 故 在 上为减函数,故在 上 , 即在 上f′(x)<0即 为减函数, 故在 上 ,不合题意,舍. 当 ,此时 在(0,+∞)上恒成立, 同理可得在(0,+∞)上 恒成立,不合题意,舍; 综上, . 【变式训练】 一、解答题 1.(23-24高三上·山东威海·期末)已知函数 .(1)当 时,求 的单调区间; (2)设函数 ,若 是 的极大值点,求 的值. 2.(23-24高二上·浙江宁波·期末)已知数列 的首项 ,且满足 ( ). (1)求证:数列 为等比数列; (2)若 ,令 ,求数列 的前n项和 . 3.(2024高三·全国·专题练习)已知椭圆 : 与椭圆 : 的 离心率相等, 的焦点恰好为 的顶点,圆 分别经过 , 的一个顶点. (1)求 , 的标准方程. (2)过 上任意一点A作 的切线与 交于点M,N,点B是 上与M,N不重合的一点,且 (点O为坐标原点),判断点 是否在定圆上.若是,求出该圆的方程;若不是, 请说明理由. 方法四 数形结合 数形结合法:对于一些含有几何背景的题,若能根据题目中的条件,作出符合题意的图形,并通过对 图形的直观分析、判断,即可快速得出正确结果.这类问题的几何意义一般较为明显,如一次函数的斜率 和截距、向量的夹角、解析几何中两点间距离等. 【典型例题】 4.(2024·上海松江·模拟预测)已知 为坐标原点,对于函数 ,称向㝵 为 函数 的互生向量,同时称函数 为向量 的互生函数. (1)设函数 ,试求 的互生向量 ; (2)记向量 的互生函数为 ,求函数 在 上的严格增区间; (3)记 的互生函数为 ,若函数 在 上有四个零点,求实数 的取值范围.【详解】(1)因为 ,所以 的互生向量 . (2)由题意可得 ,所以 , 令 ,解得 , 因为 ,所以 , 所以函数 在 上的严格增区间为 . (3)由题 ,则 ,(数形结合利用三角函数 性质作出函数图象,由图象即可得解) 若函数 在 上有四个零点,则 在 上有四个实数根, 则函数 与 在 上的图象有四个交点, 因为 , 所以 , 则由三角函数性质作其函数图象如图所示, 由三角函数图象及性质可知k的取值范围为 . 【变式训练】 一、解答题 1.(24-25高三上·江苏·阶段练习)已知函数 . (1)求函数的单调区间;(2)求 的零点个数. (3) 在区间 上有两个零点,求m的范围? 2.(24-25高三上·上海松江·期中)在 中,角A,B,C对应边为 , , ,满足 (1)求 的大小; (2)(i)已知 ,若 在AC上,且 ,求BD的最大值; (ii)延长BC至点 ,使得 .若 求 的大小. 3.(24-25高三上·重庆·开学考试)已知椭圆: 的右焦点 与抛物线 的焦点 重合. (1)求抛物线 的方程; (2)已知 为抛物线 上一个动点,直线 , ,求点 到直线 的距离之和的最小值; (3)若点 是抛物线 上一点(不同于坐标原点 ), 是 的内心,求 面积的取值范围. 方法五 特殊值探路 对于一些定值、定点问题可以利用特殊的点去检验,然后通过方程一般性设值去化简,即使运算量有 些达不到,扣去合并运算的那一步,还是能拿到大部分的分值。特别是在解析几何的位置、距离、特殊 点、特殊值的判断中,不妨转换个角度,根据现有条件猜测和利用数值求出一个可行的答案,再反向论证 即可。还有在数列中求解整数存在可能性,有些题的取值有限,不妨取 等值进行代入运 算,如果发现了几个满足题意的值,只需要再进行检验值的唯一性。 【典型例题】 5.(2024·北京通州·二模)已知椭圆 : ( )的长轴长为4,离心率为 . (1)求椭圆 的方程; (2)直线l过椭圆E的左焦点F,且与E交于 两点(不与左右顶点重合),点 在 轴正半轴上, 直线 交 轴于点P,直线 交 轴于点 ,问是否存在 ,使得 为定值?若存在,求出 的值 及定值;若不存在,请说明理由. 【详解】(1)因为椭圆 的长轴长为 ,离心率为 ,所以 , . 所以 , .所以 . 所以椭圆 的方程为 . (2)当 时,若直线l斜率不存在,(斜率不存在,求出 为定值.) 不妨设 , , 所以 , . 所以 . 若直线 的斜率存在,设直线 的方程为 , . 联立方程组 , 消去 ,化简得 . 则 ,即 , 设M(x ,y ),N(x ,y ), 1 1 2 2 所以 , . 所以直线TM的方程为 ,直线 的方程为 . 所以 , . 所以 , , 所以. 所以当 时, 为定值, 即 (负值舍)时, 有定值 . 综上,当 时, 有定值 . 【变式训练】 一、解答题 1.(2021·北京丰台·二模)已知椭圆 ,过点 的直线 交椭圆 于点 . (1)当直线 与 轴垂直时,求 ; (2)在 轴上是否存在定点 ,使 为定值?若存在,求点 的坐标及 的值;若不存在,说明 理由. 2.(23-24高三下·云南昆明·阶段练习)平面上一动点P(x,y)满足 . (1)求P点轨迹 的方程; (2)已知A(−2,0), ,延长PA交 于点Q,求实数m使得 恒成立,并证明: 为定值 3.(24-25高三上·辽宁·阶段练习)已知椭圆 的长轴长是 , 为右顶点, , , , 是椭圆 上异于顶点的任意四个点,当直线 经过原点 时,直线 和 的斜率之积为 . (1)求椭圆 的方程; (2)当直线 和 的斜率之积为定值 时,直线 是否过一个定点?若过定点,求出该定点坐标;若 不过定点,请说明理由. 方法六 正难则反 如果题目正面求解比较困难,或者说推翻一个结论性的问题,都可以从反面出发,假设反证或是举反例寻找矛盾都可以,这样可以简化题型思路。 【典型例题】 6.(2024·北京·高考真题)已知集合 .给定数列 ,和序 列 ,其中 ,对数列 进行如下变换:将 的第 项均 加1,其余项不变,得到的数列记作 ;将 的第 项均加1,其余项不变,得到数列记作 ;……;以此类推,得到 ,简记为 . (1)给定数列 和序列 ,写出 ; (2)是否存在序列 ,使得 为 ,若存在,写出一个符 合条件的 ;若不存在,请说明理由; (3)若数列 的各项均为正整数,且 为偶数,求证:“存在序列 ,使得 的各项都相 等”的充要条件为“ ”. 【详解】(1)因为数列 , 由序列 可得 ; 由序列 可得 ; 由序列 可得 ; 所以 . (2)由题意可知:对于任意序列,所得数列之和比原数列之和多4, 假设存在符合条件的 ,且 , 因为 ,即序列 共有8项, 由题意可知: , 检验可知:当 时,上式不成立, 即假设不成立,所以不存在符合条件的 . (3)解法一:我们设序列 为 ,特别规定 . 必要性: 若存在序列 ,使得 的各项都相等. 则 ,所以 . 根据 的定义,显然有 ,这里 , . 所以不断使用该式就得到 ,必要性得证.充分性: 若 . 由已知, 为偶数,而 ,所以 也是偶数. 我们设 是通过合法的序列 的变换能得到的所有可能的数列 中,使得 最小的一个. 上面已经说明 ,这里 , . 从而由 可得 . 同时,由于 总是偶数,所以 和 的奇偶性保持不变,从而 和 都是偶数. 下面证明不存在 使得 . 假设存在,根据对称性,不妨设 , ,即 . 情况1:若 ,则由 和 都是偶数,知 . 对该数列连续作四次变换 后,新的 相比原来的 减少 ,这与 的最小 性矛盾; 情况2:若 ,不妨设 . 情况2-1:如果 ,则对该数列连续作两次变换 后,新的 相比原来的 至少减少 ,这与 的 最小性矛盾; 情况2-2:如果 ,则对该数列连续作两次变换 后,新的 相比原来的 至少减少 ,这与 的 最小性矛盾. 这就说明无论如何都会导致矛盾,所以对任意的 都有 .假设存在 使得 ,则 是奇数,所以 都是奇数,设为 . 则此时对任意 ,由 可知必有 . 而 和 都是偶数,故集合 中的四个元素 之和为偶数, 对该数列进行一次变换 ,则该数列成为常数列,新的 等于零,比原来的 更小,这与 的最小性 矛盾. 综上,只可能 ,而 ,故 是常数列,充分性得证. 【变式训练】 一、解答题 1.(24-25高三上·山西吕梁·阶段练习)对于给定的数列 以及正整数m,若 ,使得 成立,则称 为“m阶可分拆数列”. (1)设 ,证明: 为“3阶可分拆数列”; (2)设 的前n项和为 ,若 为“1阶可分拆数列”,求实数a的值; (3)设 ,是否存在m,使得 为“m阶可分拆数列”?若存在,请求出所有m的值;若不 存在,请说明理由. 2.(24-25高三上·山西·期中)在数列 中,若 满足:对于 ,都有 ,则称数 列 为“M类差数列”. (1)设 为等差数列 的前n项和,已知 ,若数列 是“M类差数列” ,且 恒成立,求M的最大值; (2)已知等比数列 是“2类差数列”,且 ,数列 不是“1类差数列”,设 ,若数列 是“3类差数列”: ①求数列 的通项公式; ②证明:数列 中任意三项都不构成等差数列.3.(2024·北京石景山·一模)已知集合 ,对于 , ,定义 与 之间的距离为 . (1)已知 ,写出所有的 ,使得 ; (2)已知 ,若 ,并且 ,求 的最大值; (3)设集合 , 中有 个元素,若 中任意两个元素间的距离的最小值为 ,求证: .