当前位置:首页>文档>专题00高考解答题解题技巧全攻略-2025年高考数学二轮热点题型归纳与变式演练(新高考通用)(解析版)_02高考数学_2025年新高考资料_二轮复习_一、题型突破_热点题型•解答题攻略

专题00高考解答题解题技巧全攻略-2025年高考数学二轮热点题型归纳与变式演练(新高考通用)(解析版)_02高考数学_2025年新高考资料_二轮复习_一、题型突破_热点题型•解答题攻略

  • 2026-04-07 07:07:28 2026-04-07 07:05:57

文档预览

专题00高考解答题解题技巧全攻略-2025年高考数学二轮热点题型归纳与变式演练(新高考通用)(解析版)_02高考数学_2025年新高考资料_二轮复习_一、题型突破_热点题型•解答题攻略
专题00高考解答题解题技巧全攻略-2025年高考数学二轮热点题型归纳与变式演练(新高考通用)(解析版)_02高考数学_2025年新高考资料_二轮复习_一、题型突破_热点题型•解答题攻略
专题00高考解答题解题技巧全攻略-2025年高考数学二轮热点题型归纳与变式演练(新高考通用)(解析版)_02高考数学_2025年新高考资料_二轮复习_一、题型突破_热点题型•解答题攻略
专题00高考解答题解题技巧全攻略-2025年高考数学二轮热点题型归纳与变式演练(新高考通用)(解析版)_02高考数学_2025年新高考资料_二轮复习_一、题型突破_热点题型•解答题攻略
专题00高考解答题解题技巧全攻略-2025年高考数学二轮热点题型归纳与变式演练(新高考通用)(解析版)_02高考数学_2025年新高考资料_二轮复习_一、题型突破_热点题型•解答题攻略
专题00高考解答题解题技巧全攻略-2025年高考数学二轮热点题型归纳与变式演练(新高考通用)(解析版)_02高考数学_2025年新高考资料_二轮复习_一、题型突破_热点题型•解答题攻略
专题00高考解答题解题技巧全攻略-2025年高考数学二轮热点题型归纳与变式演练(新高考通用)(解析版)_02高考数学_2025年新高考资料_二轮复习_一、题型突破_热点题型•解答题攻略
专题00高考解答题解题技巧全攻略-2025年高考数学二轮热点题型归纳与变式演练(新高考通用)(解析版)_02高考数学_2025年新高考资料_二轮复习_一、题型突破_热点题型•解答题攻略
专题00高考解答题解题技巧全攻略-2025年高考数学二轮热点题型归纳与变式演练(新高考通用)(解析版)_02高考数学_2025年新高考资料_二轮复习_一、题型突破_热点题型•解答题攻略
专题00高考解答题解题技巧全攻略-2025年高考数学二轮热点题型归纳与变式演练(新高考通用)(解析版)_02高考数学_2025年新高考资料_二轮复习_一、题型突破_热点题型•解答题攻略
专题00高考解答题解题技巧全攻略-2025年高考数学二轮热点题型归纳与变式演练(新高考通用)(解析版)_02高考数学_2025年新高考资料_二轮复习_一、题型突破_热点题型•解答题攻略
专题00高考解答题解题技巧全攻略-2025年高考数学二轮热点题型归纳与变式演练(新高考通用)(解析版)_02高考数学_2025年新高考资料_二轮复习_一、题型突破_热点题型•解答题攻略
专题00高考解答题解题技巧全攻略-2025年高考数学二轮热点题型归纳与变式演练(新高考通用)(解析版)_02高考数学_2025年新高考资料_二轮复习_一、题型突破_热点题型•解答题攻略
专题00高考解答题解题技巧全攻略-2025年高考数学二轮热点题型归纳与变式演练(新高考通用)(解析版)_02高考数学_2025年新高考资料_二轮复习_一、题型突破_热点题型•解答题攻略
专题00高考解答题解题技巧全攻略-2025年高考数学二轮热点题型归纳与变式演练(新高考通用)(解析版)_02高考数学_2025年新高考资料_二轮复习_一、题型突破_热点题型•解答题攻略
专题00高考解答题解题技巧全攻略-2025年高考数学二轮热点题型归纳与变式演练(新高考通用)(解析版)_02高考数学_2025年新高考资料_二轮复习_一、题型突破_热点题型•解答题攻略
专题00高考解答题解题技巧全攻略-2025年高考数学二轮热点题型归纳与变式演练(新高考通用)(解析版)_02高考数学_2025年新高考资料_二轮复习_一、题型突破_热点题型•解答题攻略
专题00高考解答题解题技巧全攻略-2025年高考数学二轮热点题型归纳与变式演练(新高考通用)(解析版)_02高考数学_2025年新高考资料_二轮复习_一、题型突破_热点题型•解答题攻略
专题00高考解答题解题技巧全攻略-2025年高考数学二轮热点题型归纳与变式演练(新高考通用)(解析版)_02高考数学_2025年新高考资料_二轮复习_一、题型突破_热点题型•解答题攻略
专题00高考解答题解题技巧全攻略-2025年高考数学二轮热点题型归纳与变式演练(新高考通用)(解析版)_02高考数学_2025年新高考资料_二轮复习_一、题型突破_热点题型•解答题攻略
专题00高考解答题解题技巧全攻略-2025年高考数学二轮热点题型归纳与变式演练(新高考通用)(解析版)_02高考数学_2025年新高考资料_二轮复习_一、题型突破_热点题型•解答题攻略
专题00高考解答题解题技巧全攻略-2025年高考数学二轮热点题型归纳与变式演练(新高考通用)(解析版)_02高考数学_2025年新高考资料_二轮复习_一、题型突破_热点题型•解答题攻略
专题00高考解答题解题技巧全攻略-2025年高考数学二轮热点题型归纳与变式演练(新高考通用)(解析版)_02高考数学_2025年新高考资料_二轮复习_一、题型突破_热点题型•解答题攻略
专题00高考解答题解题技巧全攻略-2025年高考数学二轮热点题型归纳与变式演练(新高考通用)(解析版)_02高考数学_2025年新高考资料_二轮复习_一、题型突破_热点题型•解答题攻略
专题00高考解答题解题技巧全攻略-2025年高考数学二轮热点题型归纳与变式演练(新高考通用)(解析版)_02高考数学_2025年新高考资料_二轮复习_一、题型突破_热点题型•解答题攻略
专题00高考解答题解题技巧全攻略-2025年高考数学二轮热点题型归纳与变式演练(新高考通用)(解析版)_02高考数学_2025年新高考资料_二轮复习_一、题型突破_热点题型•解答题攻略
专题00高考解答题解题技巧全攻略-2025年高考数学二轮热点题型归纳与变式演练(新高考通用)(解析版)_02高考数学_2025年新高考资料_二轮复习_一、题型突破_热点题型•解答题攻略
专题00高考解答题解题技巧全攻略-2025年高考数学二轮热点题型归纳与变式演练(新高考通用)(解析版)_02高考数学_2025年新高考资料_二轮复习_一、题型突破_热点题型•解答题攻略
专题00高考解答题解题技巧全攻略-2025年高考数学二轮热点题型归纳与变式演练(新高考通用)(解析版)_02高考数学_2025年新高考资料_二轮复习_一、题型突破_热点题型•解答题攻略
专题00高考解答题解题技巧全攻略-2025年高考数学二轮热点题型归纳与变式演练(新高考通用)(解析版)_02高考数学_2025年新高考资料_二轮复习_一、题型突破_热点题型•解答题攻略
专题00高考解答题解题技巧全攻略-2025年高考数学二轮热点题型归纳与变式演练(新高考通用)(解析版)_02高考数学_2025年新高考资料_二轮复习_一、题型突破_热点题型•解答题攻略
专题00高考解答题解题技巧全攻略-2025年高考数学二轮热点题型归纳与变式演练(新高考通用)(解析版)_02高考数学_2025年新高考资料_二轮复习_一、题型突破_热点题型•解答题攻略
专题00高考解答题解题技巧全攻略-2025年高考数学二轮热点题型归纳与变式演练(新高考通用)(解析版)_02高考数学_2025年新高考资料_二轮复习_一、题型突破_热点题型•解答题攻略
专题00高考解答题解题技巧全攻略-2025年高考数学二轮热点题型归纳与变式演练(新高考通用)(解析版)_02高考数学_2025年新高考资料_二轮复习_一、题型突破_热点题型•解答题攻略
专题00高考解答题解题技巧全攻略-2025年高考数学二轮热点题型归纳与变式演练(新高考通用)(解析版)_02高考数学_2025年新高考资料_二轮复习_一、题型突破_热点题型•解答题攻略
专题00高考解答题解题技巧全攻略-2025年高考数学二轮热点题型归纳与变式演练(新高考通用)(解析版)_02高考数学_2025年新高考资料_二轮复习_一、题型突破_热点题型•解答题攻略
专题00高考解答题解题技巧全攻略-2025年高考数学二轮热点题型归纳与变式演练(新高考通用)(解析版)_02高考数学_2025年新高考资料_二轮复习_一、题型突破_热点题型•解答题攻略
专题00高考解答题解题技巧全攻略-2025年高考数学二轮热点题型归纳与变式演练(新高考通用)(解析版)_02高考数学_2025年新高考资料_二轮复习_一、题型突破_热点题型•解答题攻略
专题00高考解答题解题技巧全攻略-2025年高考数学二轮热点题型归纳与变式演练(新高考通用)(解析版)_02高考数学_2025年新高考资料_二轮复习_一、题型突破_热点题型•解答题攻略
专题00高考解答题解题技巧全攻略-2025年高考数学二轮热点题型归纳与变式演练(新高考通用)(解析版)_02高考数学_2025年新高考资料_二轮复习_一、题型突破_热点题型•解答题攻略
专题00高考解答题解题技巧全攻略-2025年高考数学二轮热点题型归纳与变式演练(新高考通用)(解析版)_02高考数学_2025年新高考资料_二轮复习_一、题型突破_热点题型•解答题攻略
专题00高考解答题解题技巧全攻略-2025年高考数学二轮热点题型归纳与变式演练(新高考通用)(解析版)_02高考数学_2025年新高考资料_二轮复习_一、题型突破_热点题型•解答题攻略
专题00高考解答题解题技巧全攻略-2025年高考数学二轮热点题型归纳与变式演练(新高考通用)(解析版)_02高考数学_2025年新高考资料_二轮复习_一、题型突破_热点题型•解答题攻略
专题00高考解答题解题技巧全攻略-2025年高考数学二轮热点题型归纳与变式演练(新高考通用)(解析版)_02高考数学_2025年新高考资料_二轮复习_一、题型突破_热点题型•解答题攻略
专题00高考解答题解题技巧全攻略-2025年高考数学二轮热点题型归纳与变式演练(新高考通用)(解析版)_02高考数学_2025年新高考资料_二轮复习_一、题型突破_热点题型•解答题攻略
专题00高考解答题解题技巧全攻略-2025年高考数学二轮热点题型归纳与变式演练(新高考通用)(解析版)_02高考数学_2025年新高考资料_二轮复习_一、题型突破_热点题型•解答题攻略
专题00高考解答题解题技巧全攻略-2025年高考数学二轮热点题型归纳与变式演练(新高考通用)(解析版)_02高考数学_2025年新高考资料_二轮复习_一、题型突破_热点题型•解答题攻略

文档信息

文档格式
docx
文档大小
3.058 MB
文档页数
43 页
上传时间
2026-04-07 07:05:57

文档内容

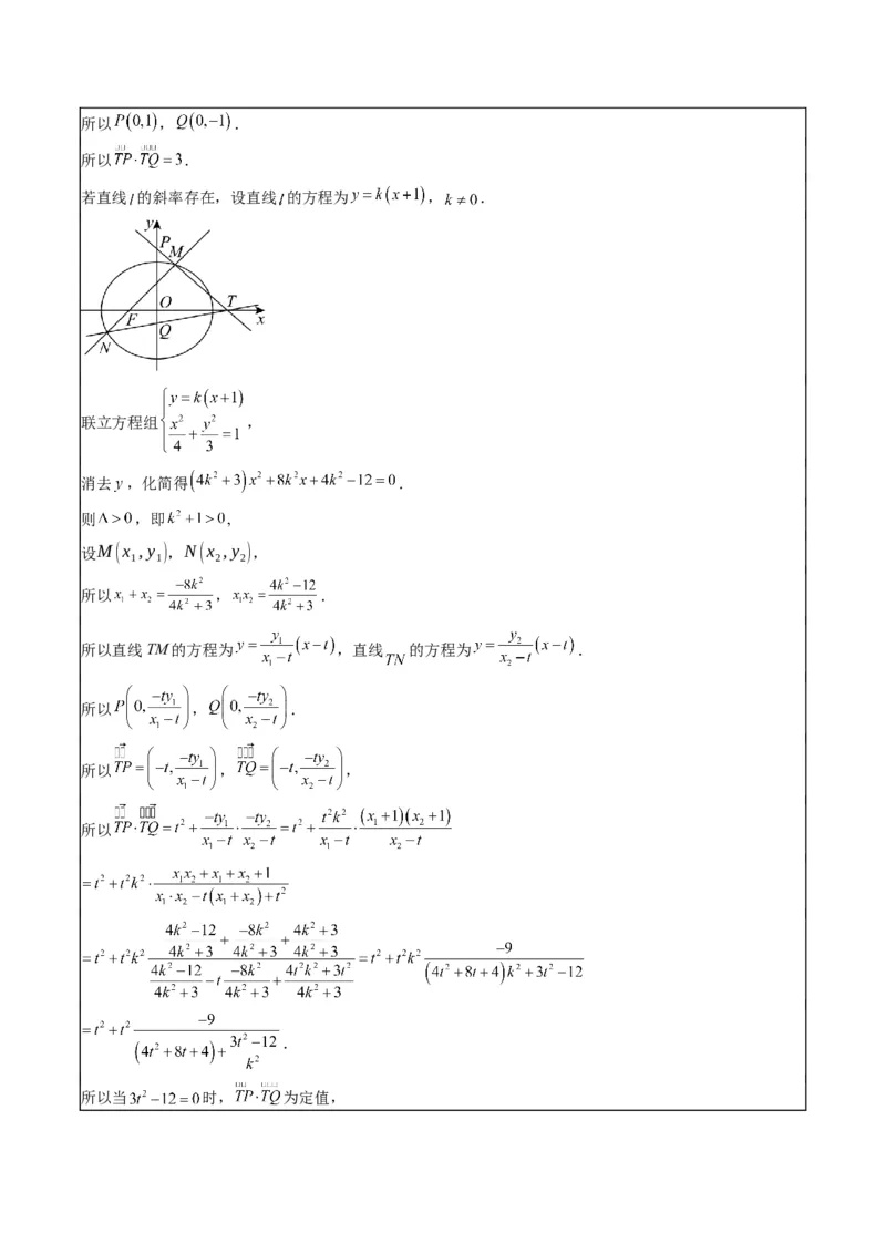
专题 00 高考解答题解题技巧全攻略 目录(Ctrl并单击鼠标可跟踪链接) 方法一 构建答题模板...................................................................................................................................................1 方法二 跳步答题.........................................................................................................................................................10 方法三 分类讨论.........................................................................................................................................................15 方法四 数形结合.........................................................................................................................................................21 方法五 特殊值探路.....................................................................................................................................................28 方法六 正难则反.........................................................................................................................................................34 方法一 构建答题模板 构建答题模板,步步为营,不因缺少步骤或者部分条件而导致扣分,是所有技巧的基础。 【典型例题】 1.(2024·广东江苏·高考真题)记 的内角A、B、C的对边分别为a,b,c,已知 , (1)求B; (2)若 的面积为 ,求c. 【详解】(1)由余弦定理有 , 对比已知 , 可得 ,(注意公式书写和化简) 因为 ,所以 , 从而 , 又因为 ,即 , 注意到 ,(容易忽略)所以 . (2)由(1)可得 , , ,从而 , , 而 , 由正弦定理有 , 从而 , 由三角形面积公式可知, 的面积可表示为 ,(分解分步,步骤得分) 由已知 的面积为 ,可得 ,所以 . 【变式训练】 一、解答题 1.(24-25高三上·江苏·阶段练习)记 的内角 的对边分别为 ,面积为 ,已知 (1)求 ; (2)若 边上的高为1且 ,求 的面积 . 【答案】(1) (2) 【分析】(1)利用三角形面积公式可得 ,进而边化角,利用三角恒等变换可求得 ,可求 ; (2)由已知结合正弦定理可得 ,在 中,作 于点 为 边上的高,即 ,设 ,可得 ,利用 ,可求得 ,从而可求 面积. 【详解】(1) 且 即 由正弦定理得∵在 中, ,即 . (2) ,由正弦定理得 在 中,作 于点 为 边上的高,即 设 为 上的四等分点, 中, 中, 且 . 2.(2024·吉林·三模)已知数列 满足 , . (1)证明:数列 为等差数列,并求通项 ; (2)求数列 的前n项和 . 【答案】(1)证明见解析, ; (2) . 【分析】(1)根据等差数列的定义证明,再由等差数列通项公式求解; (2)用错位相减法求和.【详解】(1)∵ ,∴ ,即 , ∴ 是等差数列,公差为1, 又 ,所以 ∴ ; (2) , , 相减得 , 所以 . 3.(24-25高三上·江苏·阶段练习)如图,在直四棱柱 中, 平面 , , ,其中 , , 是 的中点, 是 的中点. (1)求证: 平面 ; (2)若异面直线 、 所成角的余弦值为 ,求二面角 的余弦值. 【答案】(1)证明见解析 (2) 【分析】(1)取 中点 ,连接 、 ,证明出四边形 是平行四边形,可得出 , 再利用线面平行的判定定理可证得结论成立; (2)取 中点 ,连接 、 ,分析可知,异面直线 、 所成余弦值即直线 、 所成 余弦值,推导出 ,可得出 ,可得出 的值,然后以点 为坐标原点, 、 、 所在直线分别为 、 、 轴建立空间直角坐标系,利用空间向量法可求得二面角 的余弦值. 【详解】(1)取 中点 ,连接 、 , 在直四棱柱 中,因为 是 中点,则 且 , 因为 是 的中点,则 且 ,所以, 且 , 所以,四边形 是平行四边形,所以, , 因为 平面 , 平面 ,所以, 平面 . (2)连接 ,设 ,连接 , 因为 且 ,所以,四边形 为平行四边形, 所以, , 所以,异面直线 、 所成余弦值即直线 、 所成余弦值, 在直四棱柱 中, 面 , 因为 平面 ,所以, , 在 中, ,且 ,则 , 因为 为 的中点,且 , 所以,在 中, , ,则 , 因为 平面 , 平面 ,则 , 因为 , , 、 平面 , 所以, 平面 , 又因为 平面 ,则 , 在 中, ,则 , 连接 ,取其中点 ,连接 、 ,取 的中点 , 因为 , 为 的中点,则 , 以点 为坐标原点, 、 、 所在直线分别为 、 、 轴建立如下图所示的空间直角坐标系,则O(0,0,0)、A(1,0,0)、 、 、 、 、 、 、 、 , 设平面 的法向量⃗m=(x,y,z), , , 则 ,取 ,可得 , 易知面 的一个法向量 , , 由图可知,二面角 为钝角,因此,二面角 的余弦值为 . 4.(2024·陕西宝鸡·模拟预测)统计显示,我国在线直播生活购物用户规模近几年保持高速增长态势,下 表为 年— 年我国在线直播生活购物用户规模(单位:亿人),其中 年— 年对应的代码 依次为 — . 年份代码 市场规模 , , ,其中 参考公式:对于一组数据 、 、 、 ,其经验回归直线 的斜率和截距的最小 二乘估计公式分别为 , .(1)由上表数据可知,若用函数模型 拟合 与 的关系,请估计 年我国在线直播生活购物用 户的规模(结果精确到 ); (2)已知我国在线直播生活购物用户选择在品牌官方直播间购物的概率 ,现从我国在线直播购物用户中随 机抽取 人,记这 人中选择在品牌官方直播间购物的人数为 ,若 ,求 的数学期 望和方差. 【答案】(1) 亿人 (2) , 【分析】(1)将题中数据代入最小二乘法公式,求出 的值,即可得出 与 的拟合函数关系式,再将 代入函数关系式,即可得出结论; (2)由题意可知, ,由 结合独立重复试验的概率公式可求得 的值,然 后利用二项分布的期望和方差公式可求得结果. 【详解】(1)设 ,则 , 因为 , , , 所以, , 所以, 与 的拟合函数关系式为 当 时, , 则估计 年我国在线直播生活购物用户的规模为 亿人. (2)由题意知 ,所以, , , 由 ,可得 , 因为 ,解得 , 所以, , . 5.(2024高三·全国·专题练习)已知双曲线 的左、右焦点分别为 ,实轴长 为2, 为 的右支上一点,且 . (1)求 的方程;(2)设 的左、右顶点分别为 ,直线 与 交于 两点,与 轴交于点 ,直线 与 交于 点 ,证明:点 在定直线上. 【答案】(1) . (2)证明见解析 【分析】(1)由双曲线定义将条件 转化为 最小值,从而利用 求最小值解 即可; (2)由直线 过 设方程联立椭圆方程利用韦达定理得 坐标关系式,再设直线 与 方程 并联立求得点 坐标的表达式,利用点 横、纵坐标关系可证明点 在定直线上. 【详解】(1)由题知 ,即 , 又 为 的右支上一点,则 , 所以 , 故当 最小时,|M F |⋅|M F |最小, 1 2 而 ,故 , 即 ,故 ,故 的方程为 . (2) 当直线 的斜率为0时,不满足题意; 当直线 的斜率不为0时,由 过点 ,可设其方程为 , 联立 消去 得 , 设P(x ,y ),Q(x ,y ), 1 1 2 2则 , ,故 ( ), 由(1)知 , , 则直线 的方程为 ,直线 的方程为 , 联立 消去 得 , 将 , 代入上式得, 得 ,将( )代入化简得 , 即 ,所以点 在定直线 上. 【点睛】关键点点睛:解决此题的关键在于利用 ,将不对称的 关系 ,利用上式消去参数 ,从而可以化简求值. 6.(24-25高三上·天津·阶段练习)设函数 ,其中 . (1)若 a=−1,求曲线 在点 处的切线方程; (2)若 , (i) 证明: 函数 恰有两个零点; (ii) 设 为函数 的极值点, 为函数 的零点,且 ,证明: . 【答案】(1) (2)(i)证明见解析;(ii)证明见解析 【分析】(1)先 ,再求 ,由点斜式即可求解; (2)(i)求导得 ,构造 并应用导数研究单调性,进而判断 符号确定 单调性,可求极值点所在的区间为 ,再证 上 ,由此得 , 结合零点存在性定理即可证结论;(ii)由①结合题设可得 ,结合 上 ,即可证结论. 【详解】(1)由题设, 且 ,则 , 所以 ,又 , 所以切线方程为 ,即: . (2)(i)由 ,令 ,又 , 易知 在 上递减, 又 , , ∴ 在 上有唯一零点,即 在 上唯一零点, 设零点为 ,则 , ∴ , , 递增; , , 递减; ∴ 是 唯一极值点,且为极大值, 令 且 ,则 ,故 在 上递减, ∴ ,即 , ∴ ,又 , 根据零点存在性定理知 在 上存在零点,又∵ 在 单调递减; ∴ 在 存在唯一零点, 又∵ , 在 上单调递增; , ∴ 在 上的唯一零点为1, 故 恰有两个零点; (ii)由题意, ,即 , 则 ,即 , 当 时, ,又 ,则 ,∴ ,得 , 即 ,得证. 【点睛】方法点睛:在利用导数证明不等式时,一般会构造一个函数,转化为求解函数的取值情况进行研 究. 方法二 跳步答题 解题过程卡在某一过渡环节上是常见的。这时,我们可以假定某些结论是正确的往后推,看能否得到 结论,或从结论出发,看使结论成立需要什么条件。如果方向正确,就回过头来,集中力量攻克这一卡壳 处。如果时间不允许,那么可以把前面的写下来,再写出证实某步之后,继续有一直做到底,这就是跳步 解答。也许,后来中间步骤又想出来,这时不要乱七八糟插上去,可补在后面。若题目有两问,第一问想 不出来,可把第一问作已知,先做第二问,这也是跳步解答。 【典型例题】 2.(2024·全国·高考真题)如图,平面四边形ABCD中, , , , , ,点E,F满足 , ,将 沿EF翻折至 ,使得 . (1)证明: ; (2)求平面PCD与平面PBF所成的二面角的正弦值. 【详解】(1)由 , 得 ,又 ,在 中, 由余弦定理得 , 所以 ,则 ,即 , 所以 ,又 平面 , 所以 平面 ,又 平面 , 故 ;(可以将第一问证明当作条件应用于第二问) (2)连接 ,由 ,则 , 在 中, ,得 , 所以 ,由(1)知 ,又 平面 ,所以 平面 ,又 平面 , 所以 ,则 两两垂直,建立如图空间直角坐标系 , 则 , 由 是 的中点,得 , 所以 , 设平面 和平面 的一个法向量分别为 , 则 , , 令 ,得 , 所以 , 所以 , 设平面 和平面 所成角为 ,则 , 即平面 和平面 所成角的正弦值为 . 【变式训练】 一、解答题 1.(24-25高三上·河北·期中)已知数列 的前n项和为 ,且 . (1)求证:数列 为等比数列; (2)若 ,求数列 的前n项和 . 【答案】(1)证明见解析 (2) 【分析】(1)由条件可得 , ,故可证明数列 为等比数列.(2)表示数列 的通项公式,利用错位相减法可得结果. 【详解】(1)∵ , ∴当 时, , 两式相减得, ,整理得 ,即 , 令 得, , , , ∴ 是以 为首项, 公比的等比数列. (2)由(1)得, , , ∴ . , , 两式相减得, , ∴ . 2.(2024高三·全国·专题练习)记 的内角 的对边分别为 ,已知 . (1)证明: ; (2)若 ,点 在线段 上,且 , ,求 . 【答案】(1)证明见解析 (2) 【分析】(1)由 ,利用正弦定理结合两角和与差的正弦公式化简得到 ,即 ,再利用正弦定理求解; (2)由 ,结合(1)得到 ,由 ,设 , ,分别在 和 中,利用正弦定理联立得到 ,从而求得 ,然后分别在 和 中,利用余弦定 理联立求解. 【详解】(1)解:由正弦定理得 , 即 , 所以 , 又 ,所以 , 由正弦定理可得 . (2)因为 ,结合(1)可知 , 由 可设 , , 如图所示: 在 中,由正弦定理得 , 在 中,由正弦定理得 , 又 ,所以 , 即 , 解得 , 所以 , 在 中,由余弦定理可得 , 在 中,由余弦定理可得 , 两式进行相除,解得 . 3.(24-25高三上·河北·期中)如图,在平面五边形 中, , , , ,将 沿 翻折,使点 到达点 的位置,得到如图所示的四棱锥 ,且 , 为 的中点.(1)证明: ; (2)若 ,求平面 与平面 夹角的余弦值. 【答案】(1)证明见解析 (2) 【分析】(1)推导出 平面 ,可得出 ,利用等腰三角形三线合一可得出 ,利 用线面垂直的判定定理可证得 平面 ,再利用线面垂直的性质可证得 ; (2)推导出 ,以点 为坐标原点, 、 、 所在直线分别为 、 、 轴建立空间直角坐 标系,利用空间向量法可求得平面 与平面 夹角的余弦值. 【详解】(1)翻折前,在平面五边形 中, , , , , 则 , 翻折后,在四棱锥 ,且 , , 所以, ,则 ,所以, , 又因为 , , 、 平面 ,所以, 平面 , 因为 平面 ,所以, , 因为 , ,则四边形 为平行四边形,则 , 所以, , 因为 为 的中点,则 , 因为 , 、 平面 ,所以, 平面 , 因为 平面 ,故 . (2)因为 ,且 ,所以, ,则 , 因为 平面 , ,则 平面 , 以点 为坐标原点, 、 、 所在直线分别为 、 、 轴建立如下图所示的空间直角坐标系,则 、 、 、 , 设平面 的法向量为 , , , 则 ,取 ,可得 , 设平面 的法向量为 , , , 则 ,取 ,可得 , 所以, , 因为,平面 与平面 夹角的余弦值为 . 方法三 分类讨论 解题时常常会遇到这样一种情况,解到某一步之后,不能再以统一的方法、统一的式子继续进行下 去,这是因为被研究的对象包含了多种情况,这就需要对各种情况加以分类,并逐类求解,然后综合归纳 得解,这就是分类讨论。 引起分类讨论的原因很多,数学概念本身具有多种情形,数学运算法则、某些定理、公式的限制,图 形位置的不确定性,变化、不等式的求解等均可能引起分类讨论。在分类讨论解题时,要做到标准统一, 不重不漏。 【典型例题】 3.(2024·全国·高考真题)已知函数 . (1)当 时,求 的极值; (2)当 时, ,求 的取值范围. 【详解】(1)当 时, , 故 , 因为 在 上为增函数, 故 在 上为增函数,而 , 故当 时, ,当 时, , 故 在 处取极小值且极小值为 ,无极大值.(2) , 设 , 则 ,(注意利用范围端点的性质来确定如何分类) 当 时, ,故 在 上为增函数, 故 ,即 , 所以 在 上为增函数,故 . 当 时,当 时, , 故 在 上为减函数,故在 上 , 即在 上f′(x)<0即 为减函数, 故在 上 ,不合题意,舍. 当 ,此时 在(0,+∞)上恒成立, 同理可得在(0,+∞)上 恒成立,不合题意,舍; 综上, . 【变式训练】 一、解答题 1.(23-24高三上·山东威海·期末)已知函数 . (1)当 时,求 的单调区间; (2)设函数 ,若 是 的极大值点,求 的值. 【答案】(1)答案见解析 (2)2 【分析】(1)求出函数导数,判断导数的正负,即可求得答案; (2)由题意构造函数 ,将 是 的极大值点转化为 是 的极小值点,根据导 数与函数极值点的关系,结合一元二次方程的判别式分类讨论,并判断每种情况能否满足题意,即可求得 答案.【详解】(1)当 时, , 当 时, ,当 时, , 当 时, ,当 时, , 所以 的单调递增区间为 , ; 单调递减区间为 , . (2)设 , 当 时,由于 ,所以 与 的函数值正负相反, 又 ,所以 是 的极大值点,当且仅当 是 的极小值点, ,可知 时, , 时, , 故 , 令 , , ①当 时, ,则当 时, ,即 , 所以 在 上单调递增,因此 不是 的极小值点; ②当 时, , 的根为 , 此时 ,当 时, ,即 , 所以 在 上单调递增, 因此 不是 的极小值点; ③当 时, , 当 时, ,当 时, , 所以 在 上单调递减,在 上单调递增, 因此 是 的极小值点,满足题意; ④当 时, ,记 ,可知 , 则当 时, ,即 , 所以 在 上单调递减,因此 不是 的极小值点, 综上可知, . 【点睛】难点点睛:本题难点在于根据函数的极值点求解参数,解答时要根据函数解析式的结构特点构造 新函数,并采用分类讨论的方法,说明能否满足题意,从而求解问题. 2.(23-24高二上·浙江宁波·期末)已知数列 的首项 ,且满足 ( ).(1)求证:数列 为等比数列; (2)若 ,令 ,求数列 的前n项和 . 【答案】(1)证明见解析 (2) 【分析】(1)根据递推公式证明 为定值即可; (2)先利用错位相减法求出数列 的前 项和,再分 和 两种情况讨论即可. 【详解】(1)由 , 得 , 所以数列 是以 为首项, 为公比的等比数列; (2)由(1)得 ,所以 , 所以 , 设数列 的前 项和为 , 则 , , 两式相减得 , 所以 , 令 ,则 ,令 ,则 , 故当 时, ,当 时, , 所以当 时, ,当 时, , 综上所述, . 3.(2024高三·全国·专题练习)已知椭圆 : 与椭圆 : 的 离心率相等, 的焦点恰好为 的顶点,圆 分别经过 , 的一个顶点. (1)求 , 的标准方程. (2)过 上任意一点A作 的切线与 交于点M,N,点B是 上与M,N不重合的一点,且 (点O为坐标原点),判断点 是否在定圆上.若是,求出该圆的方程;若不是, 请说明理由. 【答案】(1) , ; (2)是, . 【分析】(1)利用椭圆的性质及圆的方程确定 , 的值,再根据离心率相等计算即可; (2)设M,N的坐标,根据 得B的坐标,先求当直线MN的斜率存在时,设直线MN 的方程,联立方程,结合M,N,B在 上并利用根与系数的关系得 ,再求直线MN的斜率不 存在时,求出M,N的坐标,得B的坐标,代入 的方程,得 即可. 【详解】(1)由 的焦点恰好为 的顶点,可得 . 在 中令 ,得 或 , 因为圆 分别经过 , 的一个顶点, 所以 , . 因为 的焦点恰好为 的顶点,所以 , 所以 的标准方程为 . 因为 , 的离心率相等,所以 , 即 ,所以 ,所以 的标准方程为 . (2)设M(x ,y ),N(x ,y ),由 得 . 1 1 2 2①当直线MN的斜率存在时,设其方程为 , 与 联立,消去y并整理得(1+2k2)x2+4kmx+2m2−2=0, 由 ,得 . 将 与 联立,消去y并整理得 , 易知 ,所以 , , , 所以 . 因为点B在 上,所以 , 即 , 所以 . 因为M,N在 上,所以 , , 所以 ,即 . ②当直线MN的斜率不存在时,直线MN的方程为 , 不妨设 ,则 , 或 , , 当 , 时, ,代入 ,得 , 同理可得当 , 时, . 综上, ,即点 在定圆 上.. 【点睛】方法点睛:利用韦达定理法解决直线与圆锥曲线相交问题的基本步骤如下: (1)设直线方程,设交点坐标为 ; (2)联立直线与圆锥曲线的方程,得到关于 (或 )的一元二次方程,注意 的判断; (3)列出韦达定理; (4)将所求问题或题中的关系转化为 、 (或 、 )的形式; (5)代入韦达定理求解. 方法四 数形结合 数形结合法:对于一些含有几何背景的题,若能根据题目中的条件,作出符合题意的图形,并通过对 图形的直观分析、判断,即可快速得出正确结果.这类问题的几何意义一般较为明显,如一次函数的斜率 和截距、向量的夹角、解析几何中两点间距离等. 【典型例题】 4.(2024·上海松江·模拟预测)已知 为坐标原点,对于函数 ,称向㝵 为 函数 的互生向量,同时称函数 为向量 的互生函数. (1)设函数 ,试求 的互生向量 ; (2)记向量 的互生函数为 ,求函数 在 上的严格增区间; (3)记 的互生函数为 ,若函数 在 上有四个零点,求实数 的取值范围. 【详解】(1)因为 ,所以 的互生向量 . (2)由题意可得 ,所以 , 令 ,解得 ,因为 ,所以 , 所以函数 在 上的严格增区间为 . (3)由题 ,则 ,(数形结合利用三角函数 性质作出函数图象,由图象即可得解) 若函数 在 上有四个零点,则 在 上有四个实数根, 则函数 与 在 上的图象有四个交点, 因为 , 所以 , 则由三角函数性质作其函数图象如图所示, 由三角函数图象及性质可知k的取值范围为 . 【变式训练】 一、解答题 1.(24-25高三上·江苏·阶段练习)已知函数 . (1)求函数的单调区间; (2)求 的零点个数. (3) 在区间 上有两个零点,求m的范围? 【答案】(1) 的单调减区间为 ;单调增区间为 , (2)1个(3) 【分析】(1)对函数求导,利用导数正负与原函数的关系求解即可; (2)结合(1)问的单调性,求出函数 的值域,结合零点存在定理即可求解. (3)将零点问题转化为函数交点问题,求出 在区间 上的值域然后数形结合即可求解. 【详解】(1)由题可得 , 令 ,解得 或 , 令f′(x)<0,解得 , 令 ,解得 或 , 所以 的单调减区间为 ;单调增区间为 , . (2)因为 的单调减区间为 ,单调增区间为 , , 由于 ,则 在 上无零点; 由于 ,则 在 上无零点; 由于 ,则 在 上存在唯一零点; 综上,函数 在 上存在唯一零点. (3)若 在区间 上有两个零点, 则函数 与 在区间 上有两个交点; 由(1)知, 在 上单调递增, 上单调递减; , , ,所以函数 与 在区间 上有两个交点,则 , 即 在区间 上有两个零点,则 的范围为 2.(24-25高三上·上海松江·期中)在 中,角A,B,C对应边为 , , ,满足 (1)求 的大小; (2)(i)已知 ,若 在AC上,且 ,求BD的最大值; (ii)延长BC至点 ,使得 .若 求 的大小. 【答案】(1) (2)(i) 的最大值为 ;(ii) 或 【分析】(1)由 ,代入已知等式中,利用两角和与差的正弦公式化简得 ,可得 B的大小; (2)(i)由三角形的面积公式得到 ,再由余弦定理和基本不等式求其最大值即可; (ii)设 , ,在 和 中,由正弦定理表示边角关系,化简求 的大小. 【详解】(1)在 中, ,所以 . 因为 ,所以 , 即 化简得 . 因为 ,所以 , . 因为 ,所以 . (2)(i)由三角形面积公式可得 ,即 , 在 中由余弦定理可得 ,即 , 所以 ,所以 的最大值为 , 此时 ,当且仅当 时取等号; (ii)设 , ,则 . 由(1)知 ,又 ,所以在 中, . 在 中,由正弦定理得 ,即 ①. 在 中,由正弦定理得 ,即 ②. ①÷②,得 ,即 ,所以 . 因为 , ,所以 或 ,故 或 . 【点睛】关键点点睛:本题第二问的第一小问关键是能用三角形面积公式把 用 表示,再结合基本不等式求解. 3.(24-25高三上·重庆·开学考试)已知椭圆: 的右焦点 与抛物线 的焦点 重合. (1)求抛物线 的方程; (2)已知 为抛物线 上一个动点,直线 , ,求点 到直线 的距离之和的最小值; (3)若点 是抛物线 上一点(不同于坐标原点 ), 是 的内心,求 面积的取值范围. 【答案】(1) (2) (3) 【分析】(1)利用题意求出焦点坐标求解就可以了; (2)找到距离之间关系,利用几何法求解即可; (3)利用内心的性质找到面积之间的关系,然后表示出 面积,再利用函数关系求其范围即可. 【详解】(1)由题可知,椭圆右焦点坐标为(1,0),抛物线焦点坐标为 所以 , 所以抛物线方程为 , (2) 由题可知, 为抛物线准线,所以点 到 的距离等于点 到焦点(1,0)的距离 ; 联立 , 显然无实数根,故直线 与抛物线相离,记点 到 的距离为 , 所以 的最小值为焦点(1,0)到直线 的距离为 . (3)设点 ,已知点 所以 的面积 , 设 的内切圆半径为 , 则有 , 所以 , 所以 , 因为点 是抛物线 上一点(不同于坐标原点 ), 所以 , , 所以 , 经整理得: , 构造函数 , 得 , 显然 单调增, 令 ,解得 ,所以当 时,f′(x)<0, 单调递减; 当 时,f′(x)>0, 单调递増; 所以 , 所以 . 【点睛】对于距离问题先用几何法找到其中关系;对于内心相关的面积问题,可以利用等面积法,得到不 同部分面积之间的关系求解即可,当处理的式子比较复杂的时候,可以构造函数求解. 方法五 特殊值探路 对于一些定值、定点问题可以利用特殊的点去检验,然后通过方程一般性设值去化简,即使运算量有 些达不到,扣去合并运算的那一步,还是能拿到大部分的分值。特别是在解析几何的位置、距离、特殊 点、特殊值的判断中,不妨转换个角度,根据现有条件猜测和利用数值求出一个可行的答案,再反向论证 即可。还有在数列中求解整数存在可能性,有些题的取值有限,不妨取 等值进行代入运 算,如果发现了几个满足题意的值,只需要再进行检验值的唯一性。 【典型例题】 5.(2024·北京通州·二模)已知椭圆 : ( )的长轴长为4,离心率为 . (1)求椭圆 的方程; (2)直线l过椭圆E的左焦点F,且与E交于 两点(不与左右顶点重合),点 在 轴正半轴上, 直线 交 轴于点P,直线 交 轴于点 ,问是否存在 ,使得 为定值?若存在,求出 的值 及定值;若不存在,请说明理由. 【详解】(1)因为椭圆 的长轴长为 ,离心率为 , 所以 , . 所以 , .所以 . 所以椭圆 的方程为 . (2)当 时,若直线l斜率不存在,(斜率不存在,求出 为定值.) 不妨设 , ,所以 , . 所以 . 若直线 的斜率存在,设直线 的方程为 , . 联立方程组 , 消去 ,化简得 . 则 ,即 , 设M(x ,y ),N(x ,y ), 1 1 2 2 所以 , . 所以直线TM的方程为 ,直线 的方程为 . 所以 , . 所以 , , 所以 . 所以当 时, 为定值,即 (负值舍)时, 有定值 . 综上,当 时, 有定值 . 【变式训练】 一、解答题 1.(2021·北京丰台·二模)已知椭圆 ,过点 的直线 交椭圆 于点 . (1)当直线 与 轴垂直时,求 ; (2)在 轴上是否存在定点 ,使 为定值?若存在,求点 的坐标及 的值;若不存在,说明 理由. 【答案】(1) (2)存在, , 【分析】(1)写出直线方程,与椭圆联立,求出 两点坐标,即可求出 . (2)当直线 斜率存在时,设出直线方程,与椭圆联立,写出韦达定理,用坐标表示 ,代入韦达 定理,分析 为定值的条件,求出点 的坐标,再验证斜率不存在时的情况,得出答案. 【详解】(1)解:联立 ,得 或 所以 . (2)假设存在 ,使 为定值. 当直线 斜率存在时,设直线 的方程为: , 联立 得 . 显然 ,设 , 则 . 所以 .若 为常数,只需 , 解得 ,此时 . 当直线 与 轴垂直时,不妨设 , 当点 坐标为 时, . 满足 为定值 . 综上,存在点 ,使 为定值 . 2.(23-24高三下·云南昆明·阶段练习)平面上一动点P(x,y)满足 . (1)求P点轨迹 的方程; (2)已知A(−2,0), ,延长PA交 于点Q,求实数m使得 恒成立,并证明: 为定值 【答案】(1) (2) ,证明见解析 【分析】(1)利用圆锥曲线的定义即可得曲线方程,但要注意只有双曲线右支; (2)先得到特殊情况时 的值,再证明其对一般情况也适用. 【详解】(1)由题意可得,动点P到定点(2,0)的距离比到定点 的距离大2, 由双曲线的定义,P点轨迹是以(2,0), 为焦点的双曲线的左支, 设 ,则 , , , 所以 的方程为 . (2)如图,不妨设点P在第二象限,①当 的斜率不存在时, ,令 ,解得 ,则 ,此时 , 在 中, , ,即 , ②当 的斜率存在时,令 的倾斜角为 , 的倾斜角为 ,则 , , 假设 成立,即 ,则有 ,即 . 又 , ,又点P的坐标满足 ,即 , , ,假设成立, 综上,当 时,有 成立. 此时 ,由对称性知, ,而 , 为定值. 【点睛】关键点点睛:第二问的关键是采用由特殊到一般,先猜后证的思想,先得到直线斜率不存在时, 然后通过二倍角得正切公式证明一般情况即可. 3.(24-25高三上·辽宁·阶段练习)已知椭圆 的长轴长是 , 为右顶点, , , , 是椭圆 上异于顶点的任意四个点,当直线 经过原点 时,直线 和 的斜率之积为 . (1)求椭圆 的方程; (2)当直线 和 的斜率之积为定值 时,直线 是否过一个定点?若过定点,求出该定点坐标;若 不过定点,请说明理由. 【答案】(1) (2)直线 过定点 【分析】(1)由已知 ,设点 , 坐标,结合斜率乘积可得 ,即可得椭圆方程;(2)①当直线 斜率不存在时,设直线方程及点 , 坐标,结合 ,解方程可得直线方程; ②当直线 斜率存在时,可设直线方程为 ,联立直线与椭圆方程,结合韦达定理与斜率 公式列方程,化简可得 或 ,代入直线方程可得解. 【详解】(1)由已知 ,即 ,所依椭圆方程为 , 当直线 过原点时,设 ,则 ,所以 , 所以 ,又 , 所以 , , 所以 ,则 , 所以椭圆方程为 ; (2) ①当直线 斜率不存在时,设直线方程为 ,点 , ( ), 则 , ,且 ,即 , 所以 ,解得 , 即此时直线方程为 ; ②当直线 斜率存在时,由题可设直线方程为 ,舍M(x ,y ),N(x ,y ), 1 1 2 2 联立直线与椭圆方程 得 , 则 ,即 ,且 , , 又 , , 则 , 即 , 即 , 化简可得 ,解得 或 , 当 时,直线方程为y=kx−2k=k(x−2),过点 ,不成立; 当 时,直线方程为 ,过定点 ; 综上所述直线 恒过定点 . 方法六 正难则反 如果题目正面求解比较困难,或者说推翻一个结论性的问题,都可以从反面出发,假设反证或是举反 例寻找矛盾都可以,这样可以简化题型思路。 【典型例题】 6.(2024·北京·高考真题)已知集合 .给定数列 ,和序 列 ,其中 ,对数列 进行如下变换:将 的第 项均 加1,其余项不变,得到的数列记作 ;将 的第 项均加1,其余项不变,得到数列记作 ;……;以此类推,得到 ,简记为 . (1)给定数列 和序列 ,写出 ; (2)是否存在序列 ,使得 为 ,若存在,写出一个符 合条件的 ;若不存在,请说明理由; (3)若数列 的各项均为正整数,且 为偶数,求证:“存在序列 ,使得 的各项都相 等”的充要条件为“ ”. 【详解】(1)因为数列 ,由序列 可得 ; 由序列 可得 ; 由序列 可得 ; 所以 . (2)由题意可知:对于任意序列,所得数列之和比原数列之和多4, 假设存在符合条件的 ,且 , 因为 ,即序列 共有8项, 由题意可知: , 检验可知:当 时,上式不成立, 即假设不成立,所以不存在符合条件的 . (3)解法一:我们设序列 为 ,特别规定 . 必要性: 若存在序列 ,使得 的各项都相等. 则 ,所以 . 根据 的定义,显然有 ,这里 , . 所以不断使用该式就得到 ,必要性得证. 充分性: 若 . 由已知, 为偶数,而 ,所以 也是偶数. 我们设 是通过合法的序列 的变换能得到的所有可能的数列 中,使得 最小的一个. 上面已经说明 ,这里 , . 从而由 可得 . 同时,由于 总是偶数,所以 和 的奇偶性保持不变,从而 和 都是偶数. 下面证明不存在 使得 . 假设存在,根据对称性,不妨设 , ,即 .情况1:若 ,则由 和 都是偶数,知 . 对该数列连续作四次变换 后,新的 相比原来的 减少 ,这与 的最小 性矛盾; 情况2:若 ,不妨设 . 情况2-1:如果 ,则对该数列连续作两次变换 后,新的 相比原来的 至少减少 ,这与 的 最小性矛盾; 情况2-2:如果 ,则对该数列连续作两次变换 后,新的 相比原来的 至少减少 ,这与 的 最小性矛盾. 这就说明无论如何都会导致矛盾,所以对任意的 都有 . 假设存在 使得 ,则 是奇数,所以 都是奇数,设为 . 则此时对任意 ,由 可知必有 . 而 和 都是偶数,故集合 中的四个元素 之和为偶数, 对该数列进行一次变换 ,则该数列成为常数列,新的 等于零,比原来的 更小,这与 的最小性 矛盾. 综上,只可能 ,而 ,故 是常数列,充分性得证. 【变式训练】一、解答题 1.(24-25高三上·山西吕梁·阶段练习)对于给定的数列 以及正整数m,若 ,使得 成立,则称 为“m阶可分拆数列”. (1)设 ,证明: 为“3阶可分拆数列”; (2)设 的前n项和为 ,若 为“1阶可分拆数列”,求实数a的值; (3)设 ,是否存在m,使得 为“m阶可分拆数列”?若存在,请求出所有m的值;若不 存在,请说明理由. 【答案】(1)证明见解析; (2) (3) 或3. 【分析】(1)利用题中所给的新定义内容结合三角函数即可证得结论; (2)由前 项和为 可求出 ,若数列 为“1阶可分拆数列”,则有 , 分别讨论 和 两种情况,计算可得 ; (3)假设实数m存在,则有 ,代入化简可得 ,逐一讨论 的取值 直至 不再成立为止,可得结果. 【详解】(1) , , , 若 ,使得 成立,则 成立,显然,当 时等式成 立, 所以 ,使得 成立,得证. (2)因为数列 的前 项和为 当 时, ; 当 时, , 所以 , 因为存在正整数 使得 成立, 则①当 时, ,即 , 因为 , ,所以 ,而 ,所以不存在正整数 ( )使得 成立; ②当 时,若 成立,则 ,得 , 所以 时存在正整数 使得 成立, 由①②得 . (3)假设存在 使得数列 为“ 阶可分拆数列” 即存在确定的正整数 ,存在正整数 使得 成立. 即 , 即 , ①当 时, , 时方程成立, ②当 时, 当 时, ; 当 时, , 当 时, ,所以不存在正整数 使得 成立; ③当 时, ,当 时, 成立, ④当 时, , 所以不存在正整数 使得 成立. 综上: 或3. 【点睛】思路点睛:本题为数列新定义题,由题意可知对于确定的 存在 即可,且 分别为关于 的单调递增数列,所以可采用逐一讨论的方法直至 时截止可找到 所有的 . 2.(24-25高三上·山西·期中)在数列 中,若 满足:对于 ,都有 ,则称数 列 为“M类差数列”. (1)设 为等差数列 的前n项和,已知 ,若数列 是“M类差数列” ,且 恒成立,求M的最大值; (2)已知等比数列 是“2类差数列”,且 ,数列 不是“1类差数列”,设 ,若数列 是“3类差数列”: ①求数列 的通项公式;②证明:数列 中任意三项都不构成等差数列. 【答案】(1) (2)① ;②证明见解析 【分析】(1)由 恒成立证明 ,从而得到 ,再给出 的例子,即 得 的最大值为 ; (2)①由数列 是“2类差数列”得条件 ,由数列 不是“1类差数列”得条件 ,结合 , ,求解 ,再验证是否满足数列 是“3类差数列”即可; ②利用反证法,假设存在三项成等差数列得 ,利用不等式性质结合单调性放缩推出 , 故产生矛盾从而得证. 【详解】(1)设数列 的公差为 , 为正整数, 一方面,若数列 是“ 类差数列”,则 , 同时我们有 ,从而 , 此即 ,即 , 假设 ,则在 时有 ,矛盾,所以 , 再由 ,就得到 ,所以 , 另一方面,当 时,取 ,则 ,且 , 故存在数列 满足条件. 综合以上两方面,可知 的最大值是 ; (2)①设等比数列 的公比为 ,则 , 是“2类差数列”,且 ,故 , ,故数列 为无穷递增数列, 且 ,即 , 由 ,且 ,知 为大于1的有理数, 下面先用反证法证明公比为正整数:假设 不是正整数,由 且为有理数,故存在 , ,且 互质,使得 , 由 ,有 为正整数,即 整除 ,而 互质,故 互质,而 整除 ,故 整除 , 这表面 恒为正整数,从而 恒成立,但 ,从而这在 时是不可能的,矛盾, 所以假设不成立,从而公比 是正整数. 假设 ,则 ,从而 , 这表明 是“1类差数列”,与条件矛盾,所以 , 又因为 是“2类差数列”,故 ,从而结合 是正整数,知 , 再由数列 是“3类差数列”,知 ,所以 ,此即 ,故 , 从而 ,所以 ,再由 ,可知 是3的正因数,所以只可能 ,即 , 故 ,即 ,这就得到 ,所以 , 当 , ,由 , ,可知 满足条件. 由于对 有 ,而 ,故 恒成立, 而 , 故 满足条件,所以 的通项公式为 ; ②:由①知 ,从而 ,且由 立得 , 假设 构成等差数列,其中 ,则由 可知, , 而 ,结合 可知, ,矛盾, 所以数列 中任意三项都不构成等差数列. 【点睛】关键点点睛:本题的关键一是理解题意,关键二是利用反证法求 ,关键三是不等式的放缩.3.(2024·北京石景山·一模)已知集合 ,对于 , ,定义 与 之间的距离为 . (1)已知 ,写出所有的 ,使得 ; (2)已知 ,若 ,并且 ,求 的最大值; (3)设集合 , 中有 个元素,若 中任意两个元素间的距离的最小值为 ,求证: . 【答案】(1) 、 、 、 ; (2) ; (3)见解析 【分析】(1)根据题中定义可得 的所有情形; (2)分 、 两种情况,利用绝对值三角不等式可求得 的最大值; (3)表示出 ,结合定义,可得 ,即 中任意两元素不相等,可得 中至多有 个元素,即可得证. 【详解】(1)已知 , ,且 , 所以, 的所有情形有: 、 、 、 ; (2)设 , , 因为 ,则 , 同理可得 , 当 时, ; 当 时, . 当 , 时,上式等号成立. 综上所述, ; (3)记 , 我们证明 .一方面显然有 .另一方面, 且 ,假设他们满足 .则由定义有 , 与 中不同元素间距离至少为 相矛盾. 从而 . 这表明 中任意两元素不相等.从而 . 又 中元素有 个分量,至多有 个元素. 从而 . 【点睛】方法点睛:解决以集合为背景的新定义问题,要抓住两点: (1)紧扣新定义,首先分析新定义的特点,把定义所叙述的问题的本质弄清楚,并能够应用到具体的解 题过程之中,这是新定义型集合问题难点的关键所在; (2)用好集合的性质,解题时要善于从试题中发现可以使用集合性质的一些因素,在关键之外用好集合 的运算与性质.