当前位置:首页>文档>专题06基本不等式及应用(解析版)_02高考数学_2024年新高考资料_2.2024二轮复习_2024年高三数学二轮优化提优专题训练

专题06基本不等式及应用(解析版)_02高考数学_2024年新高考资料_2.2024二轮复习_2024年高三数学二轮优化提优专题训练

  • 2026-04-08 06:41:53 2026-04-08 06:41:53

文档预览

专题06基本不等式及应用(解析版)_02高考数学_2024年新高考资料_2.2024二轮复习_2024年高三数学二轮优化提优专题训练
专题06基本不等式及应用(解析版)_02高考数学_2024年新高考资料_2.2024二轮复习_2024年高三数学二轮优化提优专题训练
专题06基本不等式及应用(解析版)_02高考数学_2024年新高考资料_2.2024二轮复习_2024年高三数学二轮优化提优专题训练
专题06基本不等式及应用(解析版)_02高考数学_2024年新高考资料_2.2024二轮复习_2024年高三数学二轮优化提优专题训练
专题06基本不等式及应用(解析版)_02高考数学_2024年新高考资料_2.2024二轮复习_2024年高三数学二轮优化提优专题训练
专题06基本不等式及应用(解析版)_02高考数学_2024年新高考资料_2.2024二轮复习_2024年高三数学二轮优化提优专题训练
专题06基本不等式及应用(解析版)_02高考数学_2024年新高考资料_2.2024二轮复习_2024年高三数学二轮优化提优专题训练
专题06基本不等式及应用(解析版)_02高考数学_2024年新高考资料_2.2024二轮复习_2024年高三数学二轮优化提优专题训练
专题06基本不等式及应用(解析版)_02高考数学_2024年新高考资料_2.2024二轮复习_2024年高三数学二轮优化提优专题训练
专题06基本不等式及应用(解析版)_02高考数学_2024年新高考资料_2.2024二轮复习_2024年高三数学二轮优化提优专题训练
专题06基本不等式及应用(解析版)_02高考数学_2024年新高考资料_2.2024二轮复习_2024年高三数学二轮优化提优专题训练
专题06基本不等式及应用(解析版)_02高考数学_2024年新高考资料_2.2024二轮复习_2024年高三数学二轮优化提优专题训练
专题06基本不等式及应用(解析版)_02高考数学_2024年新高考资料_2.2024二轮复习_2024年高三数学二轮优化提优专题训练
专题06基本不等式及应用(解析版)_02高考数学_2024年新高考资料_2.2024二轮复习_2024年高三数学二轮优化提优专题训练
专题06基本不等式及应用(解析版)_02高考数学_2024年新高考资料_2.2024二轮复习_2024年高三数学二轮优化提优专题训练
专题06基本不等式及应用(解析版)_02高考数学_2024年新高考资料_2.2024二轮复习_2024年高三数学二轮优化提优专题训练
专题06基本不等式及应用(解析版)_02高考数学_2024年新高考资料_2.2024二轮复习_2024年高三数学二轮优化提优专题训练
专题06基本不等式及应用(解析版)_02高考数学_2024年新高考资料_2.2024二轮复习_2024年高三数学二轮优化提优专题训练
专题06基本不等式及应用(解析版)_02高考数学_2024年新高考资料_2.2024二轮复习_2024年高三数学二轮优化提优专题训练
专题06基本不等式及应用(解析版)_02高考数学_2024年新高考资料_2.2024二轮复习_2024年高三数学二轮优化提优专题训练
专题06基本不等式及应用(解析版)_02高考数学_2024年新高考资料_2.2024二轮复习_2024年高三数学二轮优化提优专题训练
专题06基本不等式及应用(解析版)_02高考数学_2024年新高考资料_2.2024二轮复习_2024年高三数学二轮优化提优专题训练
专题06基本不等式及应用(解析版)_02高考数学_2024年新高考资料_2.2024二轮复习_2024年高三数学二轮优化提优专题训练
专题06基本不等式及应用(解析版)_02高考数学_2024年新高考资料_2.2024二轮复习_2024年高三数学二轮优化提优专题训练

文档信息

文档格式
docx
文档大小
0.874 MB
文档页数
20 页
上传时间
2026-04-08 06:41:53

文档内容

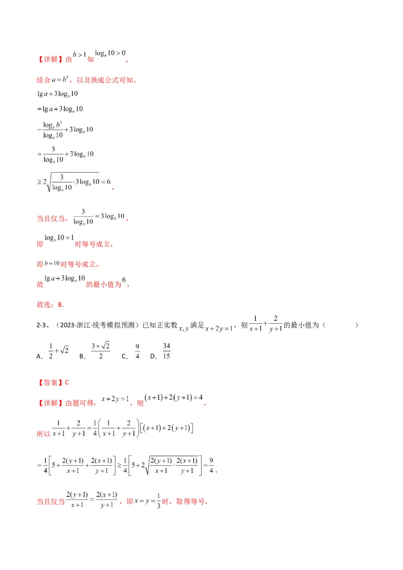
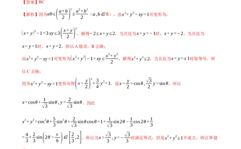
专题06 基本不等式及应用 1、【2022年新高考2卷】若x,y满足x2+ y2−xy=1,则( ) A.x+ y≤1 B.x+ y≥−2 C.x2+ y2≤2 D.x2+ y2≥1 【答案】BC (a+b) 2 a2+b2 【解析】因为ab≤ ≤ (a,b∈R),由x2+ y2−xy=1可变形为, 2 2 (x+ y) 2−1=3xy≤3 (x+ y) 2 ,解得−2≤x+ y≤2,当且仅当x= y=−1时,x+ y=−2,当且仅当 2 x= y=1时,x+ y=2,所以A错误,B正确; x2+ y2 由x2+ y2−xy=1可变形为(x2+ y2)−1=xy≤ ,解得x2+ y2≤2,当且仅当x= y=±1时取等号,所 2 以C正确; 因为x2+ y2−xy=1变形可得 ( x− y) 2 + 3 y2=1,设x− y =cosθ, √3 y=sinθ,所以 2 4 2 2 1 2 x=cosθ+ sinθ,y= sinθ,因此 √3 √3 5 2 1 1 1 x2+ y2=cos2θ+ sin2θ+ sinθcosθ=1+ sin2θ− cos2θ+ 3 √3 √3 3 3 = 4 + 2 sin ( 2θ− π ) ∈ [2 ,2 ] ,所以当x= √3 ,y=− √3 时满足等式,但是x2+ y2≥1不成立,所以D错 3 3 6 3 3 3 误. 故选:BC. 2、(2021年新高考1卷)已知 , 是椭圆 : 的两个焦点,点 在 上,则 的最大值为( ) A. 13 B. 12 C. 9 D. 6【答案】C 【解析】由题, ,则 , 所以 (当且仅当 时,等号成立). 故选:C. 3、(2020全国3文12)已知函数 ,则( ) A. 的最小值为2 B. 的图像关于 轴对称 C. 的图像关于直线 对称 D. 的图像关于直线 对称 【答案】D 【解析】由题意得 .对于A,当 时, , 当且仅当 时取等号;当 时, ,当且仅当 时取等号,所以A错 误.对于B, ,所以 是奇函数,图象关于原点对称, 所以B错误.对于C, , ,则 , 的图象不关于直线 对称,所以C错误.对于D, , ,所以 , 的图象关于直线 对称,所以D正确.故选D. 4、(2020山东)已知 , ,且 ,则 ( ) A. B. C. D . 【答案】ABD 【解析】对于A, ,当且仅当 时,等 号成立,故 A 正确;对于 B, ,所以 ,故 B 正确;对于 C, ,当且仅当 时,等号成立,故C不正确; 对于D,因为 ,所以 ,当且仅当 时,等号 成立,故D正确,故选:ABD. 5、(2020上海13)下列不等式恒成立的是 ( ) A. B. C. D. 【答案】B 【解析】由基本不等式可知 ,故A不正确; ,即 恒成立,故B正确;当 时,不等式不成立,故C不正确;当 时, 不等式不成立,故D不正确,故选B.6、(2020江苏12)已知 ,则 的最小值是 . 【答案】 【解析】 ,故 , 当且仅当 ,即 , 时,取等号.∴ . 7、(2020天津14)已知 ,且 ,则 的最小值为_________. 【答案】4 【解析】 , , ,当且仅当 =4时取等号,结合 ,解得 ,或 时,等号成立,故答案为: . (x1)(2y1) x0, y 0, x2y 5 xy 8、(2019天津理13)设 ,则 的最小值为 . 4 3 【答案】 x0 y 0 x2y 5 【解析】 , , , x12y1 2xyx2y1 2xy6 6   2 xy  xy xy xy xy 则 ; 6 6 6 2 xy  � 2 2 xy 4 3 2 xy  xy xy xy xy 3 由基本不等式, (当且仅当 时,即 ,且 x2  x3  3  y  x2y 5 y 1   2 时,即 或 时,等号成立).x12y1 xy 4 3 故 的最小值为 . 题组一 运用基本不等式比较大小 1-1、(2023·云南玉溪·统考一模)(多选题)已知 ,且 则下列结论一定正确的有 ( ) A. B. C.ab有最大值4 D. 有最小值9 【答案】AC 【分析】A、C选项,分别根据基本不等式计算即可得到;B选项找出反例即可;D选项由基本不等式“1” 的代换计算,漏除了4. 【详解】A选项, ,A正确; B选项,找反例,当 时, , , ,B不正确; C选项, , ,当且仅当 时取“=”,C正确; D选项, ,D不正确. 故选:AC. 1-2、(2023·山西·统考一模)(多选题)设 , , ,则下列结论正确的是( ) A. 的最大值为 B. 的最小值为 C. 的最小值为9 D. 的最小值为 【答案】ABC 【分析】对于AD,利用基本不等式判断即可;对于B,利用不等式 判断即可,对于C, 利用基本不等式“1”的妙用判断即可.【详解】对于A,因为 , , , 则 ,当且仅当 时取等号,故A正确; 对于B,因为 , 故 ,当且仅当 时取等号,即 的最小值 ,故B正确; 对于C, , 当且仅当 且 ,即 , 时取等号, 所以 的最小值为9,故C正确; 对于D, , 故 ,当且仅当 时取等号,即 的最大值 ,故D错误. 故选:ABC. 1-3、(2023·安徽宿州·统考一模)(多选题)已知 ,且 ,则下列不等关系成立的是 ( ) A. B. C. D. 【答案】ABC 【分析】利用基本不等式易知选项AB正确;利用对数运算法则和重要不等式可知C正确;将不等式 化简整理可得 ,构造函数 利用函数单调性即可证 明D错误. 【详解】由基本不等式可知, ,当且仅当 时,等号成立,即A正确;易知 ,当且仅当 时,等号成立,即B正确; 由重要不等式和对数运算法则可得: ,当且仅当且仅当 时,等号成立,即C正 确; 由 可得 ,所以 , 若 ,即证明 ,即 即需证明 , 令函数 ,则 , 当 时, ,即 在 上单调递增, 所以 时,解不等式 可得 即可,即 时不等式 成立; 当 时, ,即 在 上单调递减,解不等式 可得 ,即 时不等式 才成立; 综上可知,当 时,不等式 才成立,所以D错误. 故选:ABC. 1-4、(2022·山东德州·高三期末)(多选题)已知 , , ,则下列结论正确的是 ( ) A. 的最小值为 B. 的最小值为16 C. 的最大值为 D. 的最小值为 【答案】ACD【解析】由 可得, , (当且仅当 时,取等号),故A正确; (当且仅当 时,取等号),即 ,故D正确; (当且仅当 时,取等号), (当且仅当 时,取等号),即 , 故B错误; ,即 (当且仅当 时,取等号),故C正确; 故选:ACD 题组二 运用基本不等式求函数最值 2-1、(2022·江苏扬州·高三期末)已知正实数x,y满足x+y=1,则 的最小值为__________. 【答案】 【解析】由题意可知, = = = + =( + )(x+y) =4+5+ + ≥9+2 = , 当且仅当 = , 时取等号, 此时 , 故 的最小值为 . 故答案为: 2-2、(2023·天津滨海新·统考三模)已知 , , ,则 的最小值为( ) A.4 B.6 C.8 D.10 【答案】B【详解】由 知 , 结合 ,以及换底公式可知, , 当且仅当, , 即 时等号成立, 即 时等号成立, 故 的最小值为 , 故选:B. 2-3、(2023·浙江·统考模拟预测)已知正实数 满足 ,则 的最小值为( ) A. B. C. D. 【答案】C 【详解】由题可得, ,则 , 所以 , 当且仅当 ,即 时,取得等号,故选:C. 2-4、(2023·辽宁葫芦岛·统考二模)若 ,则 的最小值是 ( ) A. B.1 C.2 D. 【答案】C 【详解】 ,当且仅当 时取等号, 因此 ,即 ,解得 , 所以当 时, 取得最小值2. 故选:C 2-5、(2022年重庆市高三月考试卷)已知 ,则 的最小值是______. 【答案】 【解析】 【详解】由于 , ,所以 , , 当且仅当 时等号成立. 故答案为: 题组三 运用基本不等式处理多元问题 3-1、【2022·广东省阳春市第一中学10月月考】已知不等式 的解集为 ,则__________, 的最小值为__________. 【答案】 ①. ②. 8 【解析】由题知 , , ,则 , , , , 当且仅当 ,即 时取等号,故 的最小值为8. 故答案为: ; 3-2、(2022·湖北省仙桃中学模拟预测)已知 ,则 的最小值为 ______________________ . 【答案】1 【分析】 先根据解 ,利用基本不等式求得 的最小值为9,再由 ,利用对勾函数的性质求解. 【详解】 解:因为 , 所以 , 当且仅当 ,即 时,等号成立, 所以 ,, 令 , 因为 在 上递增, 所以 , 故答案为:1 3-3、(2022·江苏南通如东县期中)已知a>0,b>0,c>0,,当最小时,恒成立,则x的取值集合是 ▲ . 【答案】{x|x≤-1或x≥4} 【解析】由题意可知a>0,b>0,c>0,a2-ab+9b2-5c=0,等式两边同除ab,可得-1+=,所以-1 +≥2-1=5,(当且仅当=时等号成立),故的最小值为1(a=3b),所以c=ab=3b2,则a+b-=4b-b2, 所以a+b-的最大值为4,故x2-3x≥4,解得x≤-1或x≥4 题组四 不等式的综合运用 4-1、(2023·安徽淮北·统考一模)(多选题)已知 是 的边 上的一点(不包含顶点),且 ,则( ) A. B. C. D. 【答案】AD 【分析】利用平面向量的线性运算,结合基本不等式,验证各选项的结果. 【详解】 是 的边 上的一点(不包含顶点),则有 , 得 ,即 , 又 ,∴ , 可得 , , , , , 所以A选项正确,B选项错误;,当且仅当 时等号成立,所以 ,C选项 错误; ,D选项正确. 故选:AD. 4-2、(2022·湖北·荆门市龙泉中学二模)正项等比数列 中, 成等差数列,且存在两项 使得 ,则 的最小值是( ) A.2 B. C. D.不存在 【答案】B 【分析】 由等比数列通项公式及等差中项的性质可得 ,进而有 ,利用基本不等式“1”的代换求目标式 最小值,注意等号是否成立. 【详解】 由题设 ,若 公比为 且 ,则 , 所以 , 由 ,则 ,故 ,可得 , 所以 ,而 ,故 等号不成立, 又 ,故当 时 ,当 时 , 显然 ,故 时 最小值为 . 故选:B 4-3、(2022·山东师范大学附中模拟预测)已知随机变量 ,且 ,则的最小值为________. 【答案】 【分析】 先由正态分布对称性求出 ,进而利用基本不等式“1”的妙用求解最小值. 【详解】 由正态分布的对称性可知: ,解得: , 因为 ,所以 ,由基本不等式得: , 当且仅当 ,即 时等号成立, 所以不等式得最小值为 故答案为: 4-4、(2022·河北保定·一模)(多选题)下面描述正确的是( ) A.已知 , ,且 ,则 B.函数 ,若 ,且 ,则 的最小值是 C.已知 ,则 的最小值为 D.已知 ,则 的最小值为 【答案】AC 【分析】 对于选项A,利用基本不等式结合对数运算求解判断;对于选项B:结合对数的性质,利用对勾函数的单 调性求解判断;C,用“1”的代换,利用基本不等式求解判断;对于选项D,将 ,转化为 ,利用二次函数的性质求解判断. 【详解】 对于选项A,∵ , , ,∴ ,∴ ,当且仅当 时取等号,∴ ,∴A正确; 对于选项B:因为 ,所以 ,又 ,所以由对勾函数的单调性可知函数 在 上单调递减,所以 ,即 ,故B不正确; 对于选项C,根据题意,已知 ,则 ,当且仅当 ,即 时,等号成立,所以 ,故C正确; 对于选项D, ,令 ,所以 ,所 以 ,此时 无解,所以选项D不正确, 故选:AC. 1、(2022·山东枣庄·高三期末)已知 ,则 的最小值是( ). A.6 B.5 C.4 D.3【答案】D 【解析】 ,故 , ,当且仅当 时,等号成立,故 的最小值是3. 故选:D. 2、(2022年辽宁抚顺市高三月考模拟试卷)对任意的正实数 , , 恒成立,则 的最小值为( ) A. B. C. D. 【答案】B 【解析】 【详解】依题意得 恒成立, 因为 , , 所以 , 当且仅当 时,等号成立, 所以 ,即 的最小值为 . 故选:B 3、(2023·山东烟台·统考三模)(多选题)已知 且 ,则( ) A. 的最大值为 B. 的最大值为2 C. 的最小值为6 D. 的最小值为4 【答案】BC【详解】对于A,因为 ,所以 ,当且仅当 时,等号成立,故 错误; 对于B,因为 ,所以 , 即 , ,当且仅当 时,等号成立,故B正确; 对于C,由 得 ,所以 , 因为 , 所以 ,当且仅当 时,等号成立,故C正确; 对于D,令 ,则 ,所以 的最小值不是4,D错误. 故选:BC. 4、(2023·重庆·统考三模)(多选题)已知 , ,且 ,则下列结论正确的是 ( ) A. 的取值范围是 B. 的取值范围是 C. 的最小值是 D. 的最小值是3 【答案】BC 【详解】对于A,因为 , , 所以 ,当且仅当 时取等号, 由 , 即 ,解得 , 即 ,A错误; 对于B, 由 , , ,当且仅当 时取等号, 得 , 所以 , 又 , 所以 ,即 , 故B正确; 对C选项,因为 , , , 得 , 所以 , 当且仅当 ,即 时等号成立,C正确, 对于D, C选项知: , 则 , 当且仅当 ,即 时等号成立,但 , 所以 .(等号取不到),故D错误; 故选:BC. 5、(2023·山东烟台·统考三模)(多选题)已知 且 ,则( ) A. 的最大值为 B. 的最大值为2 C. 的最小值为6 D. 的最小值为4 【答案】BC 【详解】对于A,因为 ,所以 ,当且仅当 时,等号成立,故错误; 对于B,因为 ,所以 , 即 , ,当且仅当 时,等号成立,故B正确; 对于C,由 得 ,所以 , 因为 , 所以 ,当且仅当 时,等号成立,故C正确; 对于D,令 ,则 ,所以 的最小值不是4,D错误. 故选:BC. 6、(2023·云南红河·统考一模)(多选题)已知 , ,且 ,则下列说法正确的是 ( ) A. B. C. D. 【答案】BC 【分析】对于选项AB:根据已知结合基本不等式将已知等式中的 或 转化,即可解不等式得出答案; 对于选项CD:将要求的式子通过完全平方或分式运算转化为 或 ,即可根据选项AB求出的范围根 据不等式的性质或一元二次函数的值域得出要求的式子的范围. 【详解】对于A:由 ,得 ,当且仅当 时,等号成立 ,解得 ,即 ,故A不正确; 对于B:由 ,得 ,当且仅当 时,等号成立即 ,解得 ,或 (舍去),故B正确; 对于C: ,令 , ,即 ,故C正确; 对于D, ,令 , ,即 ,故D不正 确, 故选:BC. 7、(2022年重庆市永川北山中学高三月考试卷)已知 为正实数,直线 与曲线 相切,则 的最小值为________. 【答案】 【解析】 【详解】解:由 得 ;由 得 ; 因为直线 与曲线 相切, 令 ,则可得 ,代入 得 ; 所以切点为 .则 ,所以 . 故 , 当且仅当 时等号成立,此时取得最小值2. 故答案为: .