当前位置:首页>文档>专题12数列不等式放缩技巧(练习)(原卷版)_02高考数学_2025年新高考资料_二轮复习_01高考语文等多个文件_上好课2025年高考数学二轮复习讲练测(新高考通用)

专题12数列不等式放缩技巧(练习)(原卷版)_02高考数学_2025年新高考资料_二轮复习_01高考语文等多个文件_上好课2025年高考数学二轮复习讲练测(新高考通用)

  • 2026-04-11 00:48:15 2026-04-11 00:12:52

文档预览

专题12数列不等式放缩技巧(练习)(原卷版)_02高考数学_2025年新高考资料_二轮复习_01高考语文等多个文件_上好课2025年高考数学二轮复习讲练测(新高考通用)
专题12数列不等式放缩技巧(练习)(原卷版)_02高考数学_2025年新高考资料_二轮复习_01高考语文等多个文件_上好课2025年高考数学二轮复习讲练测(新高考通用)
专题12数列不等式放缩技巧(练习)(原卷版)_02高考数学_2025年新高考资料_二轮复习_01高考语文等多个文件_上好课2025年高考数学二轮复习讲练测(新高考通用)
专题12数列不等式放缩技巧(练习)(原卷版)_02高考数学_2025年新高考资料_二轮复习_01高考语文等多个文件_上好课2025年高考数学二轮复习讲练测(新高考通用)
专题12数列不等式放缩技巧(练习)(原卷版)_02高考数学_2025年新高考资料_二轮复习_01高考语文等多个文件_上好课2025年高考数学二轮复习讲练测(新高考通用)
专题12数列不等式放缩技巧(练习)(原卷版)_02高考数学_2025年新高考资料_二轮复习_01高考语文等多个文件_上好课2025年高考数学二轮复习讲练测(新高考通用)
专题12数列不等式放缩技巧(练习)(原卷版)_02高考数学_2025年新高考资料_二轮复习_01高考语文等多个文件_上好课2025年高考数学二轮复习讲练测(新高考通用)
专题12数列不等式放缩技巧(练习)(原卷版)_02高考数学_2025年新高考资料_二轮复习_01高考语文等多个文件_上好课2025年高考数学二轮复习讲练测(新高考通用)
专题12数列不等式放缩技巧(练习)(原卷版)_02高考数学_2025年新高考资料_二轮复习_01高考语文等多个文件_上好课2025年高考数学二轮复习讲练测(新高考通用)
专题12数列不等式放缩技巧(练习)(原卷版)_02高考数学_2025年新高考资料_二轮复习_01高考语文等多个文件_上好课2025年高考数学二轮复习讲练测(新高考通用)
专题12数列不等式放缩技巧(练习)(原卷版)_02高考数学_2025年新高考资料_二轮复习_01高考语文等多个文件_上好课2025年高考数学二轮复习讲练测(新高考通用)
专题12数列不等式放缩技巧(练习)(原卷版)_02高考数学_2025年新高考资料_二轮复习_01高考语文等多个文件_上好课2025年高考数学二轮复习讲练测(新高考通用)
专题12数列不等式放缩技巧(练习)(原卷版)_02高考数学_2025年新高考资料_二轮复习_01高考语文等多个文件_上好课2025年高考数学二轮复习讲练测(新高考通用)
专题12数列不等式放缩技巧(练习)(原卷版)_02高考数学_2025年新高考资料_二轮复习_01高考语文等多个文件_上好课2025年高考数学二轮复习讲练测(新高考通用)
专题12数列不等式放缩技巧(练习)(原卷版)_02高考数学_2025年新高考资料_二轮复习_01高考语文等多个文件_上好课2025年高考数学二轮复习讲练测(新高考通用)
专题12数列不等式放缩技巧(练习)(原卷版)_02高考数学_2025年新高考资料_二轮复习_01高考语文等多个文件_上好课2025年高考数学二轮复习讲练测(新高考通用)
专题12数列不等式放缩技巧(练习)(原卷版)_02高考数学_2025年新高考资料_二轮复习_01高考语文等多个文件_上好课2025年高考数学二轮复习讲练测(新高考通用)
专题12数列不等式放缩技巧(练习)(原卷版)_02高考数学_2025年新高考资料_二轮复习_01高考语文等多个文件_上好课2025年高考数学二轮复习讲练测(新高考通用)
专题12数列不等式放缩技巧(练习)(原卷版)_02高考数学_2025年新高考资料_二轮复习_01高考语文等多个文件_上好课2025年高考数学二轮复习讲练测(新高考通用)
专题12数列不等式放缩技巧(练习)(原卷版)_02高考数学_2025年新高考资料_二轮复习_01高考语文等多个文件_上好课2025年高考数学二轮复习讲练测(新高考通用)
专题12数列不等式放缩技巧(练习)(原卷版)_02高考数学_2025年新高考资料_二轮复习_01高考语文等多个文件_上好课2025年高考数学二轮复习讲练测(新高考通用)

文档信息

文档格式
docx
文档大小
0.548 MB
文档页数
17 页
上传时间
2026-04-11 00:12:52

文档内容

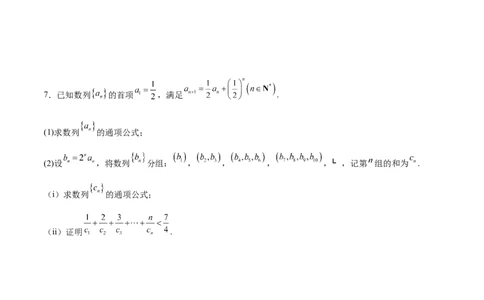
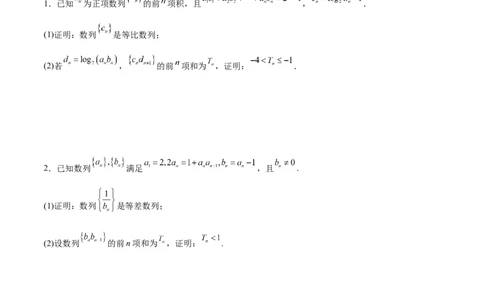
专题 12·数列不等式放缩技巧 目录 01 模拟基础练......................................................................................................................................2 题型一:先求和后放缩........................................................................................................................2 题型二:裂项放缩................................................................................................................................3 题型三:等比放缩................................................................................................................................4 题型四: 型不等式的证明.............................................................................................5 题型五: 型不等式的证明.............................................................................................6 题型六: 型不等式的证明..................................................................................................7 题型七: 型不等式的证明..................................................................................................8 重难点突破:利用递推关系进行放缩................................................................................................9 02 重难创新练....................................................................................................................................11题型一:先求和后放缩 1.已知 为正项数列 的前 项积,且 , . (1)证明:数列 是等比数列; (2)若 , 的前 项和为 ,证明: . 2.已知数列 满足 ,且 . (1)证明:数列 是等差数列; (2)设数列 的前n项和为 ,证明: . 3.已知数列 的前 项和为 ,且 , . (1)求 的通项公式; (2)若 ,记数列 的前 项和 ,求 并证明: .4.已知 是数列 的前n项和, 是以1为首项1为公差的等差数列. (1)求 的表达式和数列 的通项公式; (2)证明: 题型二:裂项放缩 5.若数列 满足 ,其中 ,则称数列 为M数列. (1)已知数列 为M数列,当 时. (ⅰ)求证:数列 是等差数列,并写出数列 的通项公式; (ⅱ) ,求 . (2)若 是M数列 ,且 ,证明:存在正整数n.使得 .6.已知数列 的前n项和为 ,且满足 , . (1)数列 是否为等差数列?并证明你的结论; (2)求 ; (3)求证: . 7.已知数列 的首项 ,满足 . (1)求数列 的通项公式; (2)设 ,将数列 分组: , , , , ,记第 组的和为 . (i)求数列 的通项公式; (ii)证明 . 8.已知数列 满足 ,且 , . (1)证明:数列 是等差数列,并求数列 的通项公式;(2)记 , , .证明: . 题型三:等比放缩 9.已知数列 满足 , . (1)设 , , 是数列 的连续三项,证明: , , 不可能为等比数列; (2)当 时,证明: . 10.已知数列 的首项 , 是 与 的等差中项. (1)求证:数列 是等比数列; (2)证明: .题型四: 型不等式的证明 11.已知 是各项均为正数的等差数列,其前 项和为 ,满足 对任意的 成立. (1)求 的通项公式; (2)令 ,记 为数列 的前 项和.证明:当 时, . 12.已知函数 , (1)若 恒成立,求实数 的取值范围; (2)证明: 13.已知数列 的各项均为正数,且满足 ( ,且 ). (1)若 ; (i)请写出一个满足条件的数列 的前四项; (ii)求证:存在 ,使得 成立; (2)设数列 的前 项和为 ,求证: .题型五: 型不等式的证明 14.已知数列 满足 ,且 , (1)求证数列 是等差数列,并求数列 的通项公式; (2)记 ,求 ; (3)是否存在实数k,使得 对任意 都成立?若存在,求实数 k的取值范围;若不存在,请说明理由. 15.设数列 满足 , ,令 . (1)试证明数列 是等差数列,并求数列 的通项公式; (2)是否存在常数 ,使得数列 是等比数列?请说明理由. (3)令 ,是否存在实数 ,使得 对一切 都成立?若存在, 求出 的取值范围;若不存在,请说明理由.题型六: 型不等式的证明 16.记 为数列 的前n项和,已知 . (1)求数列{ }的通项公式; (2)数列{ }满足 且 , 的前n项和为 ,证明: . 17.已知数列 满足 , (其中 ) (1)判断并证明数列 的单调性; (2)记数列 的前n项和为 ,证明: . 18.记 为等差数列 的前n项和,已知 , . (1)求 的通项公式; (2)已知当 时, ,证明: .题型七: 型不等式的证明 19.已知数列 , , 为数列 的前n项和,且 . (1)求数列 的通项公式; (2)已知当 时,不等式 恒成立,证明: . 20.已知各项均为正数的数列 ,满足 , . (1)求数列 的通项公式; (2)记 ,试比较 与9的大小,并加以证明. 重难点突破:利用递推关系进行放缩 21.(2025·宁夏内蒙古·模拟预测)已知数列 中,(1)证明:数列 为等比数列; (2)求 的通项公式; (3)令 ,证明: . 22.不动点在数学和应用中具有重要作用,不动点是指被函数映射到其自身的点.对于函数 ,我们把 满足 的 称为函数 的不动点,已知函数 . (1)证明: 在 有唯一的不动点 ; (2)已知 ,且 的前 项和为 .证明: ① 为递增数列, 为递减数列,且 ; . ② 23.(1)证明:当 时, ; (2)已知正项数列 满足 . (i)证明:数列 为递增数列;(ii)证明:若 ,则对任意正整数 ,都有 .1.已知数列 满足 , . (1)证明: 是等比数列; (2)设 ,证明: . 2.记 为数列 的前n项和,已知 , . (1)求数列 的通项公式; (2)设单调递增等差数列 满足 ,且 , , 成等比数列. (ⅰ)求数列 的通项公式; (ⅱ)设 ,试确定 与 的大小关系,并给出证明. 3.已知 为数列 的前 项和, . (1)求数列 的通项公式 ;(2)设 ,记 的前 项和为 ,证明: . 4.某商场举行活动,充值积分若干后,可以用积分购买特定商品.参与此活动的商品有1积分的签字笔, 2积分的草稿本和2积分的便利贴.要求每天必须用积分购买商品且每天只能购买一次.花2积分购买草 稿本或者购买便利贴算不同的用完积分的方式. (1)假设梅菊同学充值4积分,则该同学有多少种方式用完积分(只写出答案,不用写过程); (2)假设代仕同学有 点积分,该同学用完 点积分的方式种数记为 ,求 表达式; (3)设 ,记 的前 项和为 ,证明: . 5.已知函数 的图象在点 处的切线方程为 . (1)求 , 的值. (2)若正项数列 的前 项和为 ,且 , ,证明: (ⅰ) ; (ⅱ) .6.已知递增数列 和 分别为等差数列和等比数列,且 , , , (1)求数列 和 的通项公式; (2)若 ,证明: . 7.已知等差数列 满足 , , 为等比数列 的前 项和, . (1)求 , 的通项公式; (2)设 ,证明: . 8.已知关于x的函数 ,其图象与x轴相切. (1)求f (x)的表达式; (2)证明: ; (3)设数列 ,( ), 的前n项和为 ,证明: .9.已知数列 的前n项和为 ,且 ,其中 . (1)求 的通项公式; (2)若数列 满足 ,证明: . 10.已知正项数列 的前 项和为 、且 . (1)求数列 的通项公式; (2)若数列 的前 项和为 ,且 ,证明: . 11.已知半圆 ,圆 ,作圆 与半圆 ,圆 , 轴均相切,点 ,且 . (1)求 的周长;(2)证明: 为等比数列; (3)证明:对任意正整数 . 12.如图所示, 是抛物线 上的一系列点,其中 ,记直线 的斜率分别为 . (1)证明 是等比数列,并求出数列 的通项公式; (2)记 的面积为 ,求 ; (3)若 .求证: . 注: 中,若 ,则 面积 .13.已知首项为1的正项数列 满足 . (1)探究数列 的单调性; (2)证明: .