当前位置:首页>文档>信息必刷卷04(广东专用)参考答案_2025年新高考资料_2025考前信息卷_2025年高考数学考前信息必刷卷(广东专用)3430962

信息必刷卷04(广东专用)参考答案_2025年新高考资料_2025考前信息卷_2025年高考数学考前信息必刷卷(广东专用)3430962

  • 2026-04-15 00:52:39 2026-04-15 00:52:39

文档预览

信息必刷卷04(广东专用)参考答案_2025年新高考资料_2025考前信息卷_2025年高考数学考前信息必刷卷(广东专用)3430962
信息必刷卷04(广东专用)参考答案_2025年新高考资料_2025考前信息卷_2025年高考数学考前信息必刷卷(广东专用)3430962
信息必刷卷04(广东专用)参考答案_2025年新高考资料_2025考前信息卷_2025年高考数学考前信息必刷卷(广东专用)3430962
信息必刷卷04(广东专用)参考答案_2025年新高考资料_2025考前信息卷_2025年高考数学考前信息必刷卷(广东专用)3430962
信息必刷卷04(广东专用)参考答案_2025年新高考资料_2025考前信息卷_2025年高考数学考前信息必刷卷(广东专用)3430962
信息必刷卷04(广东专用)参考答案_2025年新高考资料_2025考前信息卷_2025年高考数学考前信息必刷卷(广东专用)3430962
信息必刷卷04(广东专用)参考答案_2025年新高考资料_2025考前信息卷_2025年高考数学考前信息必刷卷(广东专用)3430962
信息必刷卷04(广东专用)参考答案_2025年新高考资料_2025考前信息卷_2025年高考数学考前信息必刷卷(广东专用)3430962
信息必刷卷04(广东专用)参考答案_2025年新高考资料_2025考前信息卷_2025年高考数学考前信息必刷卷(广东专用)3430962
信息必刷卷04(广东专用)参考答案_2025年新高考资料_2025考前信息卷_2025年高考数学考前信息必刷卷(广东专用)3430962
信息必刷卷04(广东专用)参考答案_2025年新高考资料_2025考前信息卷_2025年高考数学考前信息必刷卷(广东专用)3430962
信息必刷卷04(广东专用)参考答案_2025年新高考资料_2025考前信息卷_2025年高考数学考前信息必刷卷(广东专用)3430962

文档信息

文档格式
docx
文档大小
0.416 MB
文档页数
8 页
上传时间
2026-04-15 00:52:39

文档内容

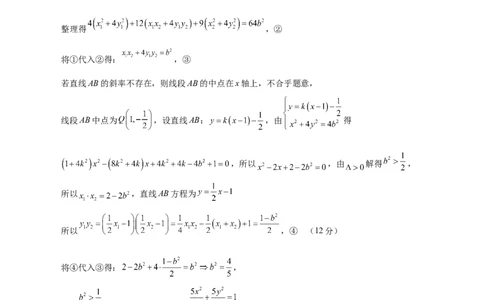
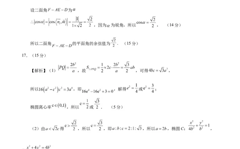
2025 年高考考前信息必刷卷 04(广东专用) 数 学·参考答案 一、单项选择题:本题共8小题,每小题5分,共40分.在每小题给出的四个选项中,只有一项是符合题 目要求的. 1 2 3 4 5 6 7 8 C D D C C B A C 二、多项选择题:本题共3小题,每小题6分,共18分.在每小题给出的选项中,有多项符合题目要求, 全部选对的得6分,部分选对的得部分分,有选错的得0分. 9 10 11 AB AC ACD 三、填空题:本题共3小题,每小题5分,共15分. 12. 13.3 14. 四、解答题:本题共5小题,共77分.解答应写出文字说明、证明过程或演算步骤. 15.(13分) 【解析】(1)因为 ,所以, 又因为 所以, ,得 , (3分) 所以,由余弦定理得 , 又B为三角形内角, 所以, (6分) (2)因为 的面积为 , , , 所以, ,所以 ,又 , 因为BD为 的中线,所以, , (10分)所以, , 所以 (13分) 16.(15分) 【解析】(1)连接AC. ∵底面 为菱形, , 是正三角形, 是BC中点, ,又 , (3分) ,又 平面 , 平面 , , 又 平面 , 平面 , 又 平面 , ∴平面 平面 . (6分) (2) 由(1)知,AE,AD,AP两两垂直, 以AE,AD,AP所在直线分别为x轴,y轴,z轴建立如图所示的空间直角坐标系, (7分) , , , , , , , 而 , (10分) 且 ,设平面 的法向量 , ,取 时, , (12分) . 设平面 的法向量为 , (13分) 设二面角 为 ,因为 为锐角,所以 , (14分) 所以二面角 的平面角的余弦值为 . (15分) 17.(15分) 【解析】(1) ,故 ,可得 , 所以 ,即 ,解得 或 ; 椭圆离心率 ,所以 或 . (5分) (2)由 得 ,所以 ,即 ,所以 ,椭圆C: , 即 ; 设 , , ,则 , ,① (6分) 由N是AB中点得 ,代入 得 , 所以 ,即 ,即 ;由M在椭圆上,则 ,即 , (9分) 整理得 ,② 将①代入②得: ,③ 若直线AB的斜率不存在,则线段AB的中点在x轴上,不合乎题意, 线段AB中点为 ,设直线AB: ,由 得 ,所以 ,由 解得 , 所以 ,直线AB方程为 所以 ,④ (12分) 将④代入③得: , 满足 ,所以椭圆C的方程为 . (15分)18.(17分) 【解析】(1)由题意当 时 ,则 , 令 解得 , 所以当 时, , 单调递减; 当 时, , 单调递增. (3分) (2)先证明对任意 , , 令 , , 令 解得 , 所以当 时, , 单调递减; 当 时, , 单调递增. 所以 ,即 , (6分) 故 对任意 成立,且当且仅当 时取等号, 所以 , 当且仅当 时等号成立, 所以 在 上恒成立. (9分) (3)由(2), 在 上恒成立,当且仅当 时等号成立, 也即 的根为 的根,下讨论方程 的根的个数, 化简得 ,令 ,则 , 令 解得 ,所以当 时, , 单调递减,当 时, , 单调递增, (13分) 所以 , 又 ,且当 时, , 时, , 故当 时,方程 无实根;当 时,方程 有一个实根;当 时,方程 有两个实根;当 时,方程 有一个实根, 综上所述当 时,方程 无实根;当 时,方程 有一个实根;当 时,方程 有两个实根;当 时,方程 有一个实根. (17分) 19.(17分) 【解析】(1)数列 , , , 的所有间子列为 (4分) (2)证明:考虑取出间子列后剩下的项,对于数列 ,考虑其剩下的项不含 项的情况, 则对于其剩下的项,必有 , 若在剩下的项添加项 ,则必有,对于剩下的项 ,有 ,符合条件, 则剩余的项在数列 的情况下同样满足 ,故此时取出的数列既是 的间子列,也是数列 的间子列,得证. (9分) (3)考虑取出间子列后剩下的数列, 因为间子列和剩余数列互补成原数列,故它们一一对应,即有“抽取到间子列的概率”和“抽取到取 完间子列后剩下数列”的概率相同, 记剩余的项按原顺序排成的数列为“剩余列”, 设 为数列 剩余列的数量,其中,记 为不含有 剩余列的数量, 为含有剩余列的数量,则有 , 另一方面,由(2)中的结论有:对于与不含 的非双项剩余列,其数量与含 的非双项剩余列数 量相同, 并且对于 的双项剩余列,其由 前的每一项和 的组合而成; 即 , (12分) 由于 ,故 , 故 , 故 ,等价于 ; 故 , 设 , , 故 ,则对任意的 ,均有 ; 所以 有 , (14分) 因为每个取出的新数列均按照从小到大的顺序排列,故取出的方法总数共有 种, 则 , 要证 即证 ; 等价于 ,当 时,由上可知等价命题成立; 故 时,必有 即 , (16分) , 所以 ,得证. (17分)