当前位置:首页>文档>第53练事件的独立性、条件概率和全概率公式(精练:基础+重难点)一轮复习讲义2024年高考数学高频考点题型归纳与方法总结(新高考通用)解析版_02高考数学_新高考复习资料

第53练事件的独立性、条件概率和全概率公式(精练:基础+重难点)一轮复习讲义2024年高考数学高频考点题型归纳与方法总结(新高考通用)解析版_02高考数学_新高考复习资料

  • 2026-04-19 05:12:31 2026-04-19 05:12:31

文档预览

第53练事件的独立性、条件概率和全概率公式(精练:基础+重难点)一轮复习讲义2024年高考数学高频考点题型归纳与方法总结(新高考通用)解析版_02高考数学_新高考复习资料
第53练事件的独立性、条件概率和全概率公式(精练:基础+重难点)一轮复习讲义2024年高考数学高频考点题型归纳与方法总结(新高考通用)解析版_02高考数学_新高考复习资料
第53练事件的独立性、条件概率和全概率公式(精练:基础+重难点)一轮复习讲义2024年高考数学高频考点题型归纳与方法总结(新高考通用)解析版_02高考数学_新高考复习资料
第53练事件的独立性、条件概率和全概率公式(精练:基础+重难点)一轮复习讲义2024年高考数学高频考点题型归纳与方法总结(新高考通用)解析版_02高考数学_新高考复习资料
第53练事件的独立性、条件概率和全概率公式(精练:基础+重难点)一轮复习讲义2024年高考数学高频考点题型归纳与方法总结(新高考通用)解析版_02高考数学_新高考复习资料
第53练事件的独立性、条件概率和全概率公式(精练:基础+重难点)一轮复习讲义2024年高考数学高频考点题型归纳与方法总结(新高考通用)解析版_02高考数学_新高考复习资料
第53练事件的独立性、条件概率和全概率公式(精练:基础+重难点)一轮复习讲义2024年高考数学高频考点题型归纳与方法总结(新高考通用)解析版_02高考数学_新高考复习资料
第53练事件的独立性、条件概率和全概率公式(精练:基础+重难点)一轮复习讲义2024年高考数学高频考点题型归纳与方法总结(新高考通用)解析版_02高考数学_新高考复习资料
第53练事件的独立性、条件概率和全概率公式(精练:基础+重难点)一轮复习讲义2024年高考数学高频考点题型归纳与方法总结(新高考通用)解析版_02高考数学_新高考复习资料
第53练事件的独立性、条件概率和全概率公式(精练:基础+重难点)一轮复习讲义2024年高考数学高频考点题型归纳与方法总结(新高考通用)解析版_02高考数学_新高考复习资料
第53练事件的独立性、条件概率和全概率公式(精练:基础+重难点)一轮复习讲义2024年高考数学高频考点题型归纳与方法总结(新高考通用)解析版_02高考数学_新高考复习资料
第53练事件的独立性、条件概率和全概率公式(精练:基础+重难点)一轮复习讲义2024年高考数学高频考点题型归纳与方法总结(新高考通用)解析版_02高考数学_新高考复习资料
第53练事件的独立性、条件概率和全概率公式(精练:基础+重难点)一轮复习讲义2024年高考数学高频考点题型归纳与方法总结(新高考通用)解析版_02高考数学_新高考复习资料
第53练事件的独立性、条件概率和全概率公式(精练:基础+重难点)一轮复习讲义2024年高考数学高频考点题型归纳与方法总结(新高考通用)解析版_02高考数学_新高考复习资料
第53练事件的独立性、条件概率和全概率公式(精练:基础+重难点)一轮复习讲义2024年高考数学高频考点题型归纳与方法总结(新高考通用)解析版_02高考数学_新高考复习资料
第53练事件的独立性、条件概率和全概率公式(精练:基础+重难点)一轮复习讲义2024年高考数学高频考点题型归纳与方法总结(新高考通用)解析版_02高考数学_新高考复习资料
第53练事件的独立性、条件概率和全概率公式(精练:基础+重难点)一轮复习讲义2024年高考数学高频考点题型归纳与方法总结(新高考通用)解析版_02高考数学_新高考复习资料
第53练事件的独立性、条件概率和全概率公式(精练:基础+重难点)一轮复习讲义2024年高考数学高频考点题型归纳与方法总结(新高考通用)解析版_02高考数学_新高考复习资料
第53练事件的独立性、条件概率和全概率公式(精练:基础+重难点)一轮复习讲义2024年高考数学高频考点题型归纳与方法总结(新高考通用)解析版_02高考数学_新高考复习资料
第53练事件的独立性、条件概率和全概率公式(精练:基础+重难点)一轮复习讲义2024年高考数学高频考点题型归纳与方法总结(新高考通用)解析版_02高考数学_新高考复习资料
第53练事件的独立性、条件概率和全概率公式(精练:基础+重难点)一轮复习讲义2024年高考数学高频考点题型归纳与方法总结(新高考通用)解析版_02高考数学_新高考复习资料
第53练事件的独立性、条件概率和全概率公式(精练:基础+重难点)一轮复习讲义2024年高考数学高频考点题型归纳与方法总结(新高考通用)解析版_02高考数学_新高考复习资料
第53练事件的独立性、条件概率和全概率公式(精练:基础+重难点)一轮复习讲义2024年高考数学高频考点题型归纳与方法总结(新高考通用)解析版_02高考数学_新高考复习资料
第53练事件的独立性、条件概率和全概率公式(精练:基础+重难点)一轮复习讲义2024年高考数学高频考点题型归纳与方法总结(新高考通用)解析版_02高考数学_新高考复习资料
第53练事件的独立性、条件概率和全概率公式(精练:基础+重难点)一轮复习讲义2024年高考数学高频考点题型归纳与方法总结(新高考通用)解析版_02高考数学_新高考复习资料
第53练事件的独立性、条件概率和全概率公式(精练:基础+重难点)一轮复习讲义2024年高考数学高频考点题型归纳与方法总结(新高考通用)解析版_02高考数学_新高考复习资料
第53练事件的独立性、条件概率和全概率公式(精练:基础+重难点)一轮复习讲义2024年高考数学高频考点题型归纳与方法总结(新高考通用)解析版_02高考数学_新高考复习资料
第53练事件的独立性、条件概率和全概率公式(精练:基础+重难点)一轮复习讲义2024年高考数学高频考点题型归纳与方法总结(新高考通用)解析版_02高考数学_新高考复习资料
第53练事件的独立性、条件概率和全概率公式(精练:基础+重难点)一轮复习讲义2024年高考数学高频考点题型归纳与方法总结(新高考通用)解析版_02高考数学_新高考复习资料
第53练事件的独立性、条件概率和全概率公式(精练:基础+重难点)一轮复习讲义2024年高考数学高频考点题型归纳与方法总结(新高考通用)解析版_02高考数学_新高考复习资料
第53练事件的独立性、条件概率和全概率公式(精练:基础+重难点)一轮复习讲义2024年高考数学高频考点题型归纳与方法总结(新高考通用)解析版_02高考数学_新高考复习资料
第53练事件的独立性、条件概率和全概率公式(精练:基础+重难点)一轮复习讲义2024年高考数学高频考点题型归纳与方法总结(新高考通用)解析版_02高考数学_新高考复习资料
第53练事件的独立性、条件概率和全概率公式(精练:基础+重难点)一轮复习讲义2024年高考数学高频考点题型归纳与方法总结(新高考通用)解析版_02高考数学_新高考复习资料
第53练事件的独立性、条件概率和全概率公式(精练:基础+重难点)一轮复习讲义2024年高考数学高频考点题型归纳与方法总结(新高考通用)解析版_02高考数学_新高考复习资料
第53练事件的独立性、条件概率和全概率公式(精练:基础+重难点)一轮复习讲义2024年高考数学高频考点题型归纳与方法总结(新高考通用)解析版_02高考数学_新高考复习资料
第53练事件的独立性、条件概率和全概率公式(精练:基础+重难点)一轮复习讲义2024年高考数学高频考点题型归纳与方法总结(新高考通用)解析版_02高考数学_新高考复习资料
第53练事件的独立性、条件概率和全概率公式(精练:基础+重难点)一轮复习讲义2024年高考数学高频考点题型归纳与方法总结(新高考通用)解析版_02高考数学_新高考复习资料
第53练事件的独立性、条件概率和全概率公式(精练:基础+重难点)一轮复习讲义2024年高考数学高频考点题型归纳与方法总结(新高考通用)解析版_02高考数学_新高考复习资料
第53练事件的独立性、条件概率和全概率公式(精练:基础+重难点)一轮复习讲义2024年高考数学高频考点题型归纳与方法总结(新高考通用)解析版_02高考数学_新高考复习资料
第53练事件的独立性、条件概率和全概率公式(精练:基础+重难点)一轮复习讲义2024年高考数学高频考点题型归纳与方法总结(新高考通用)解析版_02高考数学_新高考复习资料
第53练事件的独立性、条件概率和全概率公式(精练:基础+重难点)一轮复习讲义2024年高考数学高频考点题型归纳与方法总结(新高考通用)解析版_02高考数学_新高考复习资料
第53练事件的独立性、条件概率和全概率公式(精练:基础+重难点)一轮复习讲义2024年高考数学高频考点题型归纳与方法总结(新高考通用)解析版_02高考数学_新高考复习资料
第53练事件的独立性、条件概率和全概率公式(精练:基础+重难点)一轮复习讲义2024年高考数学高频考点题型归纳与方法总结(新高考通用)解析版_02高考数学_新高考复习资料
第53练事件的独立性、条件概率和全概率公式(精练:基础+重难点)一轮复习讲义2024年高考数学高频考点题型归纳与方法总结(新高考通用)解析版_02高考数学_新高考复习资料
第53练事件的独立性、条件概率和全概率公式(精练:基础+重难点)一轮复习讲义2024年高考数学高频考点题型归纳与方法总结(新高考通用)解析版_02高考数学_新高考复习资料
第53练事件的独立性、条件概率和全概率公式(精练:基础+重难点)一轮复习讲义2024年高考数学高频考点题型归纳与方法总结(新高考通用)解析版_02高考数学_新高考复习资料
第53练事件的独立性、条件概率和全概率公式(精练:基础+重难点)一轮复习讲义2024年高考数学高频考点题型归纳与方法总结(新高考通用)解析版_02高考数学_新高考复习资料
第53练事件的独立性、条件概率和全概率公式(精练:基础+重难点)一轮复习讲义2024年高考数学高频考点题型归纳与方法总结(新高考通用)解析版_02高考数学_新高考复习资料
第53练事件的独立性、条件概率和全概率公式(精练:基础+重难点)一轮复习讲义2024年高考数学高频考点题型归纳与方法总结(新高考通用)解析版_02高考数学_新高考复习资料
第53练事件的独立性、条件概率和全概率公式(精练:基础+重难点)一轮复习讲义2024年高考数学高频考点题型归纳与方法总结(新高考通用)解析版_02高考数学_新高考复习资料
第53练事件的独立性、条件概率和全概率公式(精练:基础+重难点)一轮复习讲义2024年高考数学高频考点题型归纳与方法总结(新高考通用)解析版_02高考数学_新高考复习资料
第53练事件的独立性、条件概率和全概率公式(精练:基础+重难点)一轮复习讲义2024年高考数学高频考点题型归纳与方法总结(新高考通用)解析版_02高考数学_新高考复习资料
第53练事件的独立性、条件概率和全概率公式(精练:基础+重难点)一轮复习讲义2024年高考数学高频考点题型归纳与方法总结(新高考通用)解析版_02高考数学_新高考复习资料
第53练事件的独立性、条件概率和全概率公式(精练:基础+重难点)一轮复习讲义2024年高考数学高频考点题型归纳与方法总结(新高考通用)解析版_02高考数学_新高考复习资料
第53练事件的独立性、条件概率和全概率公式(精练:基础+重难点)一轮复习讲义2024年高考数学高频考点题型归纳与方法总结(新高考通用)解析版_02高考数学_新高考复习资料
第53练事件的独立性、条件概率和全概率公式(精练:基础+重难点)一轮复习讲义2024年高考数学高频考点题型归纳与方法总结(新高考通用)解析版_02高考数学_新高考复习资料
第53练事件的独立性、条件概率和全概率公式(精练:基础+重难点)一轮复习讲义2024年高考数学高频考点题型归纳与方法总结(新高考通用)解析版_02高考数学_新高考复习资料
第53练事件的独立性、条件概率和全概率公式(精练:基础+重难点)一轮复习讲义2024年高考数学高频考点题型归纳与方法总结(新高考通用)解析版_02高考数学_新高考复习资料
第53练事件的独立性、条件概率和全概率公式(精练:基础+重难点)一轮复习讲义2024年高考数学高频考点题型归纳与方法总结(新高考通用)解析版_02高考数学_新高考复习资料
第53练事件的独立性、条件概率和全概率公式(精练:基础+重难点)一轮复习讲义2024年高考数学高频考点题型归纳与方法总结(新高考通用)解析版_02高考数学_新高考复习资料
第53练事件的独立性、条件概率和全概率公式(精练:基础+重难点)一轮复习讲义2024年高考数学高频考点题型归纳与方法总结(新高考通用)解析版_02高考数学_新高考复习资料
第53练事件的独立性、条件概率和全概率公式(精练:基础+重难点)一轮复习讲义2024年高考数学高频考点题型归纳与方法总结(新高考通用)解析版_02高考数学_新高考复习资料
第53练事件的独立性、条件概率和全概率公式(精练:基础+重难点)一轮复习讲义2024年高考数学高频考点题型归纳与方法总结(新高考通用)解析版_02高考数学_新高考复习资料
第53练事件的独立性、条件概率和全概率公式(精练:基础+重难点)一轮复习讲义2024年高考数学高频考点题型归纳与方法总结(新高考通用)解析版_02高考数学_新高考复习资料
第53练事件的独立性、条件概率和全概率公式(精练:基础+重难点)一轮复习讲义2024年高考数学高频考点题型归纳与方法总结(新高考通用)解析版_02高考数学_新高考复习资料
第53练事件的独立性、条件概率和全概率公式(精练:基础+重难点)一轮复习讲义2024年高考数学高频考点题型归纳与方法总结(新高考通用)解析版_02高考数学_新高考复习资料
第53练事件的独立性、条件概率和全概率公式(精练:基础+重难点)一轮复习讲义2024年高考数学高频考点题型归纳与方法总结(新高考通用)解析版_02高考数学_新高考复习资料
第53练事件的独立性、条件概率和全概率公式(精练:基础+重难点)一轮复习讲义2024年高考数学高频考点题型归纳与方法总结(新高考通用)解析版_02高考数学_新高考复习资料
第53练事件的独立性、条件概率和全概率公式(精练:基础+重难点)一轮复习讲义2024年高考数学高频考点题型归纳与方法总结(新高考通用)解析版_02高考数学_新高考复习资料
第53练事件的独立性、条件概率和全概率公式(精练:基础+重难点)一轮复习讲义2024年高考数学高频考点题型归纳与方法总结(新高考通用)解析版_02高考数学_新高考复习资料
第53练事件的独立性、条件概率和全概率公式(精练:基础+重难点)一轮复习讲义2024年高考数学高频考点题型归纳与方法总结(新高考通用)解析版_02高考数学_新高考复习资料
第53练事件的独立性、条件概率和全概率公式(精练:基础+重难点)一轮复习讲义2024年高考数学高频考点题型归纳与方法总结(新高考通用)解析版_02高考数学_新高考复习资料
第53练事件的独立性、条件概率和全概率公式(精练:基础+重难点)一轮复习讲义2024年高考数学高频考点题型归纳与方法总结(新高考通用)解析版_02高考数学_新高考复习资料
第53练事件的独立性、条件概率和全概率公式(精练:基础+重难点)一轮复习讲义2024年高考数学高频考点题型归纳与方法总结(新高考通用)解析版_02高考数学_新高考复习资料
第53练事件的独立性、条件概率和全概率公式(精练:基础+重难点)一轮复习讲义2024年高考数学高频考点题型归纳与方法总结(新高考通用)解析版_02高考数学_新高考复习资料
第53练事件的独立性、条件概率和全概率公式(精练:基础+重难点)一轮复习讲义2024年高考数学高频考点题型归纳与方法总结(新高考通用)解析版_02高考数学_新高考复习资料
第53练事件的独立性、条件概率和全概率公式(精练:基础+重难点)一轮复习讲义2024年高考数学高频考点题型归纳与方法总结(新高考通用)解析版_02高考数学_新高考复习资料
第53练事件的独立性、条件概率和全概率公式(精练:基础+重难点)一轮复习讲义2024年高考数学高频考点题型归纳与方法总结(新高考通用)解析版_02高考数学_新高考复习资料
第53练事件的独立性、条件概率和全概率公式(精练:基础+重难点)一轮复习讲义2024年高考数学高频考点题型归纳与方法总结(新高考通用)解析版_02高考数学_新高考复习资料
第53练事件的独立性、条件概率和全概率公式(精练:基础+重难点)一轮复习讲义2024年高考数学高频考点题型归纳与方法总结(新高考通用)解析版_02高考数学_新高考复习资料
第53练事件的独立性、条件概率和全概率公式(精练:基础+重难点)一轮复习讲义2024年高考数学高频考点题型归纳与方法总结(新高考通用)解析版_02高考数学_新高考复习资料
第53练事件的独立性、条件概率和全概率公式(精练:基础+重难点)一轮复习讲义2024年高考数学高频考点题型归纳与方法总结(新高考通用)解析版_02高考数学_新高考复习资料
第53练事件的独立性、条件概率和全概率公式(精练:基础+重难点)一轮复习讲义2024年高考数学高频考点题型归纳与方法总结(新高考通用)解析版_02高考数学_新高考复习资料
第53练事件的独立性、条件概率和全概率公式(精练:基础+重难点)一轮复习讲义2024年高考数学高频考点题型归纳与方法总结(新高考通用)解析版_02高考数学_新高考复习资料
第53练事件的独立性、条件概率和全概率公式(精练:基础+重难点)一轮复习讲义2024年高考数学高频考点题型归纳与方法总结(新高考通用)解析版_02高考数学_新高考复习资料

文档信息

文档格式
docx
文档大小
2.585 MB
文档页数
81 页
上传时间
2026-04-19 05:12:31

文档内容

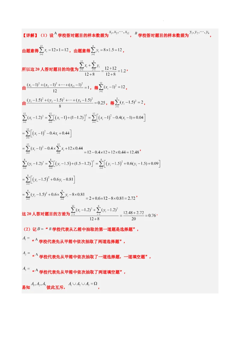
【一轮复习讲义】2024年高考数学高频考点题型归纳与方法总结(新高考通用) 第 53 练 事件的独立性、条件概率和全概率公式(精练) 刷真题 明导向 一、单选题 1.(2022·全国·统考高考真题)某棋手与甲、乙、丙三位棋手各比赛一盘,各盘比赛结果相互独立.已知 该棋手与甲、乙、丙比赛获胜的概率分别为 ,且 .记该棋手连胜两盘的概率为p, 则( ) A.p与该棋手和甲、乙、丙的比赛次序无关 B.该棋手在第二盘与甲比赛,p最大 C.该棋手在第二盘与乙比赛,p最大 D.该棋手在第二盘与丙比赛,p最大 【答案】D 【分析】该棋手连胜两盘,则第二盘为必胜盘.分别求得该棋手在第二盘与甲比赛且连胜两盘的概率 ; 该棋手在第二盘与乙比赛且连胜两盘的概率 ;该棋手在第二盘与丙比赛且连胜两盘的概率 .并对三者 进行比较即可解决 【详解】该棋手连胜两盘,则第二盘为必胜盘, 记该棋手在第二盘与甲比赛,比赛顺序为乙甲丙及丙甲乙的概率均为 , 则此时连胜两盘的概率为 则 ; 记该棋手在第二盘与乙比赛,且连胜两盘的概率为 , 则 记该棋手在第二盘与丙比赛,且连胜两盘的概率为 资料整理【淘宝店铺:向阳百分百】学科网(北京)股份有限公司则 则 即 , , 则该棋手在第二盘与丙比赛, 最大.选项D判断正确;选项BC判断错误; 与该棋手与甲、乙、丙的比赛次序有关.选项A判断错误. 故选:D 2.(2023·全国·统考高考真题)某地的中学生中有 的同学爱好滑冰, 的同学爱好滑雪, 的 同学爱好滑冰或爱好滑雪.在该地的中学生中随机调查一位同学,若该同学爱好滑雪,则该同学也爱好滑冰 的概率为( ) A.0.8 B.0.6 C.0.5 D.0.4 【答案】A 【分析】先算出同时爱好两项的概率,利用条件概率的知识求解. 【详解】同时爱好两项的概率为 , 记“该同学爱好滑雪”为事件 ,记“该同学爱好滑冰”为事件 , 则 , 所以 . 故选: . 二、解答题 3.(2023·北京·统考高考真题)为研究某种农产品价格变化的规律,收集得到了该农产品连续40天的价 格变化数据,如下表所示.在描述价格变化时,用“+”表示“上涨”,即当天价格比前一天价格高;用 “-”表示“下跌”,即当天价格比前一天价格低;用“0”表示“不变”,即当天价格与前一天价格相同. 时段 价格变化 第1天到第20天 - + + 0 - - - + + 0 + 0 - - + - + 0 0 + 第21天到第40天 0 + + 0 - - - + + 0 + 0 + - - - + 0 - + 用频率估计概率. (1)试估计该农产品价格“上涨”的概率; 资料整理【淘宝店铺:向阳百分百】学科网(北京)股份有限公司(2)假设该农产品每天的价格变化是相互独立的.在未来的日子里任取4天,试估计该农产品价格在这4天 中2天“上涨”、1天“下跌”、1天“不变”的概率; (3)假设该农产品每天的价格变化只受前一天价格变化的影响.判断第41天该农产品价格“上涨”“下 跌”和“不变”的概率估计值哪个最大.(结论不要求证明) 【答案】(1) (2) (3)不变 【分析】(1)计算表格中的 的次数,然后根据古典概型进行计算; (2)分别计算出表格中上涨,不变,下跌的概率后进行计算; (3)通过统计表格中前一次上涨,后一次发生的各种情况进行推断第 天的情况. 【详解】(1)根据表格数据可以看出, 天里,有 个 ,也就是有 天是上涨的, 根据古典概型的计算公式,农产品价格上涨的概率为: (2)在这 天里,有 天上涨, 天下跌, 天不变,也就是上涨,下跌,不变的概率分别是 , , , 于是未来任取 天, 天上涨, 天下跌, 天不变的概率是 (3)由于第 天处于上涨状态,从前 次的 次上涨进行分析,上涨后下一次仍上涨的有 次,不变的 有 次,下跌的有 次, 因此估计第 次不变的概率最大. 4.(2022·全国·统考高考真题)在某地区进行流行病学调查,随机调查了100位某种疾病患者的年龄,得 到如下的样本数据的频率分布直方图: (1)估计该地区这种疾病患者的平均年龄(同一组中的数据用该组区间的中点值为代表); 资料整理【淘宝店铺:向阳百分百】学科网(北京)股份有限公司(2)估计该地区一位这种疾病患者的年龄位于区间 的概率; (3)已知该地区这种疾病的患病率为 ,该地区年龄位于区间 的人口占该地区总人口的 .从该 地区中任选一人,若此人的年龄位于区间 ,求此人患这种疾病的概率.(以样本数据中患者的年龄 位于各区间的频率作为患者的年龄位于该区间的概率,精确到0.0001). 【答案】(1) 岁; (2) ; (3) . 【分析】(1)根据平均值等于各矩形的面积乘以对应区间的中点值的和即可求出; (2)设 {一人患这种疾病的年龄在区间 },根据对立事件的概率公式 即可解出; (3)根据条件概率公式即可求出. 【详解】(1)平均年龄 (岁). (2)设 {一人患这种疾病的年龄在区间 },所以 . (3)设 “任选一人年龄位于区间[40,50)”, “从该地区中任选一人患这种疾病”, 则由已知得: , 则由条件概率公式可得 从该地区中任选一人,若此人的年龄位于区间 ,此人患这种疾病的概率为 . 三、双空题 5.(2023·天津·统考高考真题)甲乙丙三个盒子中装有一定数量的黑球和白球,其总数之比为 .这 三个盒子中黑球占总数的比例分别为 .现从三个盒子中各取一个球,取到的三个球都是黑 球的概率为 ;将三个盒子混合后任取一个球,是白球的概率为 . 资料整理【淘宝店铺:向阳百分百】学科网(北京)股份有限公司【答案】 / 【分析】先根据题意求出各盒中白球,黑球的数量,再根据概率的乘法公式可求出第一空; 根据古典概型的概率公式可求出第二个空. 【详解】设甲、乙、丙三个盒子中的球的个数分别为 ,所以总数为 , 所以甲盒中黑球个数为 ,白球个数为 ; 乙盒中黑球个数为 ,白球个数为 ; 丙盒中黑球个数为 ,白球个数为 ; 记“从三个盒子中各取一个球,取到的球都是黑球”为事件 ,所以, ; 记“将三个盒子混合后取出一个球,是白球”为事件 , 黑球总共有 个,白球共有 个, 所以, . 故答案为: ; . 6.(2022·天津·统考高考真题)52张扑克牌,没有大小王,无放回地抽取两次,则两次都抽到A的概率为 ;已知第一次抽到的是A,则第二次抽取A的概率为 【答案】 【分析】由题意结合概率的乘法公式可得两次都抽到A的概率,再由条件概率的公式即可求得在第一次抽 到A的条件下,第二次抽到A的概率. 【详解】由题意,设第一次抽到A的事件为B,第二次抽到A的事件为C, 则 . 故答案为: ; . 【A组 在基础中考查功底】 一、单选题 1.某个班级 名学生中,有男生 名,女生 名,男生中有 名团员,女生中有 名团员.在该班随 资料整理【淘宝店铺:向阳百分百】学科网(北京)股份有限公司机选取 名学生,在选到的是团员的条件下,选到的是男生的概率为( ) A. B. C. D. 【答案】D 【分析】利用条件概率公式列式计算即可求解. 【详解】记事件A为“选到团员”,事件B为“选到男生”, 则 , , 所以 . 故选:D. 2.某防空导弹系统包含3辆防空导弹发射车,其中8联装,6联装,4联装防空导弹发射车各1辆,当警 戒雷达车发现敌机后通知指挥车,指挥车指挥防空导弹发射车发射导弹,每次只选择1辆防空导弹发射车. 已知指挥车指挥8联装,6联装,4联装防空导弹发射车发射导弹的概率分别为0.5,0.3,0.2,且8联装, 6联装,4联装防空导弹发射车命中敌机的概率分别为0.8,0.6,0.4.在某次演习中警戒雷达车发现一架敌 机,则此防空导弹系统发射导弹命中敌机的概率为( ) A.0.66 B.0.58 C.0.45 D.0.34 【答案】A 【分析】根据全概率公式计算即可. 【详解】由全概率公式,得此防空导弹系统发射导弹命中敌机的概率为 . 故选:A. 3.某产品在出厂时每5个一等品装成一箱,工人不小心把2件二等品和3件一等品装入了一箱,为找出该 箱中的二等品,需要对该箱中的产品逐一取出检验,取出的产品不放回,则“所有二等品被取出时恰取出 3件产品检验”的概率为( ) A. B. C. D. 【答案】C 【分析】“所有二等品被取出时恰取出3件产品检验”, 该事件的发生有三步,最后一次必取二等品,前 两次有一次取二等品且相互独立,则通过独立事件概率公式即可计算求解. 【详解】设事件“所有二等品被取出时恰取出3件产品检验”为 , 该事件的发生有三步,最后一次必取二等品,前两次有一次取二等品且相互独立, 资料整理【淘宝店铺:向阳百分百】学科网(北京)股份有限公司故选:C. 4.厦门地铁1号线从镇海路站到文灶站有5个站点.甲、乙同时从镇海路站上车,假设每一个人自第二站 开始在每个站点下车是等可能的,则甲乙在不同站点下车的概率为( ) A. B. C. D. 【答案】C 【分析】先求出甲乙在相同站点下车的概率,再求甲乙在不同站点下车的概率. 【详解】设事件 为甲乙在相同站点下车,则 , 则甲乙在不同站点下车的概率为 . 故选:C 5.2023年3月13日第十四届全国人民代表大会第一次会议在北京胜利闭幕,某中学为了贯彻学习“两 会”精神,举办“学两会,知国事”知识竞赛.高二学生代表队由 , , , , 共5名成员组成, 现从这5名成员中随机抽选3名参加学校决赛,则在学生 被抽到的条件下,学生 也被抽到的概率为 ( ) A. B. C. D. 【答案】B 【分析】根据古典概型及条件概率的概率公式计算可得. 【详解】记事件 :学生 被抽到,事件 :学生 被抽到, 所以 , , 所以 . 故选:B 6.现有10名北京冬奥会志愿者,其中2名女志愿者和8名男志愿者,从中随机地接连抽取3名(每次取 一个),派往参与花样滑冰项目的志愿者服务.则“恰有一名女志愿者”的概率是( ) 资料整理【淘宝店铺:向阳百分百】学科网(北京)股份有限公司A. B. C. D. 【答案】C 【分析】分三种情况:分别为第一次、第二次、第三次抽取到女志愿者,求出每一种情况的概率,然后利 用互斥事件的概率公式求解即可. 【详解】设 , , 分别为第一次、第二次、第三次抽取到女志愿者的事件,则 ; ; ; 因此“恰有一名女志愿者”的概率为 . 故选:C. 7.分别抛掷两枚质地均匀的硬币,设“第一枚正面朝上”为事件A,“第二枚反面朝上”为事件 ,“两 枚硬币朝上的面相同”为事件 ,则 ( ) A. B.事件A与事件 相互独立 C.事件 与事件 对立 D.事件A与事件 互斥 【答案】B 【分析】根据古典概型的概率公式即可判断A,根据相互独立事件的概率关系即可判断B,根据互斥事件 以及对立事件的定义即可判断DC. 【详解】对A:由题意可知:一枚硬币有两个等可能结果:正面朝上、反面朝上, 则 , 两枚硬币有两个等可能结果:正正、正反、反正、反反, 则 ,A错误; 对B: ,故事件 与 相互独立,B正确. 对C:事件 对立事件包含两种情况:正反、反正,事件 仅有一种情况:正反, 故事件 与事件 不对立,C错误; 对于D,事件 与事件 可以同时发生,即事件 与事件 不是互斥,D错误; 故选:B. 8.一道考题有4个答案,要求学生将其中的一个正确答案选择出来.某考生知道正确答案的概率为 ,在 资料整理【淘宝店铺:向阳百分百】学科网(北京)股份有限公司乱猜时,4个答案都有机会被他选择,若他答对了,则他确实知道正确答案的概率是( ) A. B. C. D. 【答案】B 【分析】利用全概率公式以及贝叶斯公式即可求解. 【详解】设 表示“考生答对”, 表示“考生知道正确答案”, 由全概率公式得 . 又由贝叶斯公式得 . 故选:B 9.任意抛掷一枚质地均匀的骰子一次,观察其出现的基本结果,定义事件: ,事件: ,事件: ,则下列判断正确的是( ) A. B. C. D.事件A,B相互独立 【答案】AC 【分析】利用枚举法,根据古典概型的概率公式结合独立事件的概念,可得答案. 【详解】由题意, , , ,所以 ,故选项A正确; , ,故选项B错误; , ,故选项C正确; 因为 ,故选项D错误, 故选:AC. 10.英国数学家贝叶斯(1701-1763)在概率论研究方面成就显著,创立了贝叶斯统计理论,对于统计决策 函数、统计推断等做出了重要贡献.根据贝叶斯统计理论,事件 , , ( 的对立事件)存在如下关 资料整理【淘宝店铺:向阳百分百】学科网(北京)股份有限公司系: .若某地区一种疾病的患病率是 ,现有一种试剂可以检验被 检者是否患病,已知该试剂的准确率为 ,即在被检验者患病的前提下用该试剂检测,有 的可能呈 现阳性,该试剂的误报率为 ,即在被检验者未患病的情况下用该试剂检测,有5%的可能会误报阳性. 现随机抽取该地区的一个被检验者,用该试剂来检验,结果呈现阳性的概率为( ) A. B. C. D. 【答案】A 【分析】根据贝叶斯概率公式计算即可. 【详解】设用该试剂检测呈现阳性为事件 ,被检测者患病为事件 ,未患病为事件 , 则 , , , , 故所求概率 . 故选:A. 11.一道考题有4个,要求学生将其中的一个正确选择出来.某考生知道正确的概率为 ,而乱猜正确的 概率为 .在乱猜时,4个都有机会被他选择,如果他答对了,则他确实知道正确的概率是( ) A. B. C. D. 【答案】B 【分析】根据全概率公式,结合贝叶斯公式进行求解即可. 【详解】[设A=“考生答对”,B=“考生知道正确”, 由全概率公式: . 又由贝叶斯公式: . 故选:B 12.甲、乙两盒中各放有除颜色外其余均相同的若干个球,其中甲盒中有4个红球和2个白球乙盒中有2 资料整理【淘宝店铺:向阳百分百】学科网(北京)股份有限公司个红球和3个白球,现从甲盒中随机取出1球放入乙盒,再从乙盒中随机取出球.记“从甲盒中取出的球是 红球”为事件A,“从甲盒中取出的球是白球”为事件B,“从乙盒中取出的球是红球”为事件C,则下 列结论错误的是( ) A.A与B互斥 B. C.A与C独立 D. 【答案】C 【分析】根据互斥事件、相互独立事件、条件概率等知识确定正确答案. 【详解】A选项,“从甲盒中取出的球是红球”与“从甲盒中取出的球是白球”不能同时发生, 所以 与 互斥,A选项正确. B选项,在发生“从甲盒中取出的球是红球”的事件的情况下, “从乙盒中取出的球是红球”的概率为 ,B选项正确. D选项, ,D选项正确. C选项,由于 , , 所以 与 不是相互独立事件,C选项错误. 故选:C 13.已知某公路上经过的货车与客车的数量之比为2:1,货车和客车中途停车修理的概率分别为0.02, 0.01,今有一辆汽车中途停车修理,则该汽车是货车的概率为( ) A.0.2 B.0.8 C.0.3 D.0.7 【答案】B 【分析】分别记 表示汽车中途停车修理, 表示公路上经过的汽车是货车, 表示公路上经过的汽车是 客车,即求 ,由贝叶斯公式,即得解 【详解】设 表示汽车中途停车修理, 表示公路上经过的汽车是货车, 表示公路上经过的汽车是客车, 资料整理【淘宝店铺:向阳百分百】学科网(北京)股份有限公司则 , , , , 由贝叶斯公式,可知中途停车修理的是货车的概率为 . 故答案为:B 14.有 张奖券,其中 张可以中奖,现有 个人从中不放回地依次各随机抽取一张,设每张奖券被抽到的 可能性相同,记事件 “第 个人抽中中奖券”,则下列结论正确的是( ) A.事件 与 互斥 B. C. D. 【答案】C 【分析】利用互斥事件的定义、全概率公式和条件概率公式求解即可. 【详解】事件 与 可以同时发生,根据互斥事件的定义,A错误; 由全概率公式得 ,故B错误; 由概率的乘法公式得 ,故C正确; 根据题意 , 所以 ,故D错误. 故选:C. 15.某校高二年级组织春游,已知该校1~8班每班30人,9~20班每班40人,且1~8班前往“庐山”景区, 9~20班前往“武功山”景区.若游客对“庐山”景区的满意度为 ,对“武功山”景区的满意度为 , 现从该校随机抽取一名高二学生,则对所游景区感到满意的概率为( ) A. B. C. D. 资料整理【淘宝店铺:向阳百分百】学科网(北京)股份有限公司【答案】D 【分析】根据给定条件,利用全概率公式计算作答. 【详解】设 “任抽一名高二学生对所游景区感到满意”, “抽到1~8班的学生”, “抽到 9~20班的学生”, , , 所以 . 故选:D 16.已知事件A、B是相互独立事件, 、 分别是A、B的对立事件,那么下列等式中不一定成立的是 ( ) A. B. C. D. 【答案】D 【分析】根据独立事件的性质判断A,根据条件概率公式B,再由对立事件的性质判断C,根据和事件的 性质判断D. 【详解】因为 、 是相互独立事件, 、 分别是 、 的对立事件, 所以 、 是相互独立事件, 所以 ,A正确; ,B正确; ,C正确; 资料整理【淘宝店铺:向阳百分百】学科网(北京)股份有限公司,D不一定成立. 故选:D. 17.为弘扬社会主义核心价值观,传承中华优秀文化,某县举行“诵读经典,相约 论语 ”的诵读活动 某校初步推选出甲乙 名教师和 名学生共 名朗诵爱好者,并从中随机选取 名组成学校代表队参加汇报 演出,则代表队中既有教师又有学生的条件下,教师甲被选中的概率为( ) A. B. C. D. 【答案】C 【分析】记“代表队中既有教师又有学生”为事件 ,“教师甲被选中”为事件 ,根据组合数分别求得 , ,再根据条件概率公式即可求解. 【详解】记“代表队中既有教师又有学生”为事件 , “教师甲被选中”为事件 , 则 , , 所以 , 故选:C. 二、多选题 18.甲罐中有5个红球,5个白球,乙罐中有3个红球,7个白球.先从甲罐中随机取出一球放入乙罐,再 从乙罐中随机取出一球. 表示事件“从甲罐取出的球是红球”, 表示事件“从甲罐取出的球是白球”, B表示事件“从乙罐取出的球是红球”.则下列结论正确的是( ) A. 、 为对立事件 B. C. D. 【答案】AB 资料整理【淘宝店铺:向阳百分百】学科网(北京)股份有限公司【分析】只需注意到事件B是在事件 或 发生之后可解. 【详解】因为甲罐中只有红球和白球,所以A正确;当 发生时,乙罐中有4个红球,7个白球,此时B 发生的概率为 ,故B正确;当 发生时,乙罐中有3个红球,8个白球,此时B发生的概率为 ,故D 不正确; ,故 C不正确. 故选:AB 19.箱子中有6个大小、材质都相同的小球,其中4个红球,2个白球.每次从箱子中随机的摸出一个球, 摸出的球不放回.设事件A表示“第1次摸球,摸到红球”,事件B表示“第2次摸球,摸到红球”则下 列结论正确的是( ) A. B. C. D. 【答案】AD 【分析】利用条件概率及全概率公式进行求解. 【详解】 ,A正确; 4 3 × P(AB) 6 5 3 P(B|A)= = = , P(A) 4 5 6 由全概率公式可知: 所以BC错误,D正确. 故选:AD 20.已知某地区有小学生 人,初中生 人,高中生 人,当地教育部门为了了解本地区中 小学生的近视率,按小学生、初中生、高中生进行分层抽样,抽取一个容量为 的样本,得到小学生, 初中生,高中生的近视率分别为 , , .下列说法中正确的有( ) 资料整理【淘宝店铺:向阳百分百】学科网(北京)股份有限公司A.从高中生中抽取了 人 B.每名学生被抽到的概率为 C.估计该地区中小学生总体的平均近视率为 53%D.估计高中学生的近视人数约为 【答案】ACD 【分析】根据分层抽样、古典概型、全概率公式等知识对选项进行分析,从而确定正确选项. 【详解】高中生抽取 人,A选项正确. 每名学生被抽到的概率为 ,B选项错误. 学生总人数为 , 估计该地区中小学生总体的平均近视率为 ,C选项 正确. 高中学生近视人数约为 人,D选项正确. 故选:ACD 21.下列描述正确的是( ) A.若事件A,B满足 ,则A与B是对立事件 B.若 , , ,则事件A与B相互独立 C.掷两枚质地均匀的骰子,“第一枚出现奇数点”与“第二枚出现偶数点”不是互斥事件 D.一个袋子中有2个红球,3个绿球,采用不放回方式从中依次随机地取出两球,第二次取到红球的 概率是 【答案】BC 【分析】A选项,举出反例;B选项,利用 判断出事件A与B相互独立;C选项,根 据互斥事件的定义作出判断;D选项,分两种情况进行计算. 【详解】对于A,例如,投掷一枚质地均匀的骰子,记事件A为“点数为1,2,3”,事件B为“点数为 2,4,6”,则 ,但是A,B不是对立事件,故A不正确; 对于B, , ,故B正确; 资料整理【淘宝店铺:向阳百分百】学科网(北京)股份有限公司对于C,掷两枚质地均匀的骰子,“第一枚出现奇数点”与“第二枚出现偶数点”能同时发生,所以不是 互斥事件,故C正确; 对于D,若第一次摸到红球,则第二次摸到红球的概率为 ,若第一次摸到绿球,则第二次摸到 红的概率为 ,所以第二次摸到红球的概率为 ,故D不正确. 故选:BC. 22.已知随机事件A,B发生的概率分别为 , ,下列说法正确的有( ) A.若 ,则 B.若 ,则A,B相互独立 C.若A,B不相互独立,则 D.若 ,则 【答案】BD 【分析】根据题意,利用相互独立事件和相互独立事件的概率乘法公式以及条件概率公式,依次判断所给 的4个结论即可. 【详解】对于A,若 ,则 ,故A错误; 对于B, , ,由于 ,则 , 相互独立,故B正 确; 若 , 不相互独立,则 ,故 ,故C错误;对于 , ,则 , ,则 ,故D正确. 故选:BD 23.在某一季节,疾病D 的发病率为2%,病人中40%表现出症状S,疾病D 的发病率为5%,其中18% 1 2 表现出症状S,疾病D 的发病率为0.5%,症状S在病人中占60%.则( ) 3 A.任意一位病人有症状S的概率为0.02 资料整理【淘宝店铺:向阳百分百】学科网(北京)股份有限公司B.病人有症状S时患疾病D 的概率为0.4 1 C.病人有症状S时患疾病D 的概率为0.45 2 D.病人有症状S时患疾病D 的概率为0.25 3 【答案】ABC 【分析】根据全概率公式和贝叶斯公式计算可得结果. 【详解】P(D1)=0.02,P(D2)=0.05,P(D3)=0.005,P(S|D1)=0.4,P(S|D2)=0.18,P(S|D3)=0.6, 由全概率公式得P(S)= P(Di)P(S|Di)=0.02×0.4+0.05×0.18+0.005×0.6=0.02. 由贝叶斯公式得:P(D1|S)= = =0.4, P(D2|S)= = =0.45,P(D3|S)= = =0.15. 故选:ABC 24.英国数学家贝叶斯在概率论研究方面成就显著,根据贝叶斯统计理论,随机事件 、 存在如下关系: .某高校有甲、乙两家餐厅,王同学第一天去甲、乙两家餐厅就餐的概率分别为0.4和 0.6.如果他第一天去甲餐厅,那么第二天去甲餐厅的概率为0.6;如果第一天去乙餐厅,那么第二天去甲餐 厅的概率为0.5,则王同学( ) A.第二天去甲餐厅的概率为0.54 B.第二天去乙餐厅的概率为0.44 C.第二天去了甲餐厅,则第一天去乙餐厅的概率为 D.第二天去了乙餐厅,则第一天去甲餐厅的概率为 【答案】AC 【分析】根据题中所给的公式进行逐一判断即可. 【详解】设 :第一天去甲餐厅, :第二天去甲餐厅, :第一天去乙餐厅, :第二天去乙餐厅, 所以 , , , 资料整理【淘宝店铺:向阳百分百】学科网(北京)股份有限公司因为 , 所以 , 所以有 , 因此选项A正确, ,因此选项B不正确; 因为 ,所以选项C正确; ,所以选项D不正确, 故选:AC 三、填空题 25.端午节是我国传统节日,甲,乙,丙3人端午节来常州旅游,若甲、乙2人中至少有1人来常州旅游 的概率是 ,丙来常州旅游的概率是 ,假定3人的行动相互之间没有影响,那么这段时间内甲,乙,丙 3人中至少有1人来常州旅游的概率为 . 【答案】 【分析】根据相互独立事件的概率公式以及对立事件的概率,即可求解. 【详解】设甲乙来常州旅游的概率分别为 ,则 ,所以 , 甲,乙,丙3人都不来常州旅游的概率为 , 所以甲乙丙三人中至少有1人来常州旅游的概率为 , 故答案为: 26.已知事件 发生的概率为 ,事件 发生的概率为 ,若在事件 发生的条件下,事件 发生的概 资料整理【淘宝店铺:向阳百分百】学科网(北京)股份有限公司率为 ,则在事件 发生的条件下,事件 发生的概率为 . 【答案】 【分析】利用条件概率公式计算出 的值,再利用条件概率公式可求得 的值. 【详解】由已知可得 , , , 由 可得 , 故 . 故答案为: . 27.抛掷一粒骰子,设“得到的点数是奇数”为事件 ,“得到的点数是3点”为事件 ,则 . 【答案】 【分析】写出样本空间,根据古典概型和条件概率公式可得. 【详解】抛掷一粒骰子所得点数的样本空间为 , , 所以 , , , 所以 . 故答案为: 28.某同学连续两天在学校信息图文中心2楼和3楼进行拓展阅读,第一天等可能地从信息图文中心2楼 和3楼中选择一层楼进行阅读.如果第一天去2楼的条件下第二天还在2楼阅读的概率为0.7;第一天去3楼 的条件下第二天去2楼阅读的概率为0.8,该同学第二天去3楼阅读的概率为 . 【答案】 【分析】利用全概率公式可求答案. 【详解】设事件 “第 天去2楼阅读”, 事件 “第 天去3楼阅读”, 资料整理【淘宝店铺:向阳百分百】学科网(北京)股份有限公司则 , , ; 所以 . 故答案为: 29.播种用的一等品种子中混合2.0%的二等种子,1.5%的三等种子,1.0%的四等种子,用一等、二等、 三等、四等种子长出优质产品的概率分别为0.5,0.15,0.1,0.05,则从这批种子中任选一颗长出优质产品 的概率为 . 【答案】 【分析】根据题意,计算种子中有一等小麦种子的比例,进而由互斥事件和相互独立事件的概率公式计算 可得答案. 【详解】根据题意,一等小麦种子中混合2.0%的二等种子,1.5%的三等种子,1.0%的四等种子, 则种子中有一等小麦种子 , 用一等、二等、三等、四等种子长出优质产品的概率分别为0.5,0.15,0.1,0.05, 则从这批种子中任选一颗长出优质产品的概率为 . 故答案为: 30.设某公路上经过的货车与客车的数量之比为 ,货车中途停车修理的概率为 ,客车为 .今有 一辆汽车中途停车修理,该汽车是货车的概率为 . 【答案】 【分析】设“中途停车修理”为事件 , “经过的是货车”为事件 , “经过的是客车” 为事件 , 则 ,然后代入贝叶斯公式计算. 【详解】设“中途停车修理”为事件 , “经过的是货车”为事件 , “经过的是客车” 为事件 , 则 , , , , ,由贝叶斯公式有 资料整理【淘宝店铺:向阳百分百】学科网(北京)股份有限公司. 故答案为: 31.2022年卡塔尔世界杯是第二十二届世界杯足球赛,某支深受大家喜爱的足球队在对球员的使用上进行 数据分析,根据以往的数据统计,A运动员能够胜任中锋、边锋及前腰三个位置,且出场率分别为0.3, 0.5,0.2,当该运动员担当中锋、边锋及前腰时,球队输球的概率依次为0.3,0.2,0.2.当A球员参加比赛 时,该球队某场比赛不输球的概率为 . 【答案】 【分析】根据事件的全概率公式求解. 【详解】该运动员担当中锋,不输球的概率为 , 该运动员担当边锋,不输球的概率为 , 该运动员担当前腰,不输球的概率为 , 所以该球队某场比赛不输球的概率为 , 故答案为: . 32.李老师一家要外出游玩几天,家里有一盆花交给邻居帮忙照顾,如果这几天内邻居记得浇水,那么花 存活的概率为0.8,如果这几天内邻居忘记浇水,那么花存活的概率为0.3,假设李老师对邻居不了解,即 可以认为邻居记得和忘记浇水的概率均为0.5,几天后李老师回来发现花还活着,则邻居记得浇水的概率 为 . 【答案】 【分析】设出几个基本事件,按照条件概率和全概率公式直接计算即可. 【详解】设事件 表示“邻居记得浇水”, 表示“邻居忘记浇水”, 表示“花还活着”, 由题意得, , , , , 则 . 故答案为: . 33.在 三个地区爆发了甲流,这三个地区分别有3%,4%,5%的人患了甲流,假设这三个地区的 资料整理【淘宝店铺:向阳百分百】学科网(北京)股份有限公司人口比例为5:8:7,现从这三个地区中任意选取一个人,则这个人患甲流的概率为 . 【答案】 【分析】利用互斥事件和独立事件的概率公式结合题意直接求解即可 【详解】由题意可知,现从这三个地区中任意选取一个人,则这个人患甲流的概率为 , 故答案为: 34.某足球队共有30名球员练习点球,其中前锋6人,中场16人,后卫8人.若前锋点球进门的概率均 是0.9,中场点球进门的概率均是0.8,后卫点球进门的概率均是0.7,则任选一名球员点球进门的概率是 .(结果保留两位小数) 【答案】0.79 【分析】利用相互独立事件的概率乘法公式求解即可. 【详解】依题意,选中前锋的概率为 ,选中中场的概率为 ,选中后卫的概率为 , 则任选一名球员点球进门的概率是 . 故答案为:0.79 35.最近网上比较火的“挖呀挖黄老师”的歌词中“种什么样的种子开什么样的花”,假设种小小的种子 开小小的花的概率为0.9,种大大的种子开大大的花的概率为0.8.现袋子中有10颗种子,其中有6颗小小 的种子和4颗大大的种子,每颗种子只能开小小的花或大大的花,那么取出一颗种子开出小小的花的概率 为 . 【答案】 【分析】利用古典概型的概率计算公式和条件概率的性质,结合全概率公式即可求解; 【详解】记事件 分别为种小小的种子、种大大的种子,事件 为取出一颗种子开出小小的花,则 ,且 互斥, 由题意可知, , , 所以 , 由全概率公式知 . 故答案为: . 资料整理【淘宝店铺:向阳百分百】学科网(北京)股份有限公司36.A,B,C,D,E共5位教师志愿者被安排到甲、乙、丙、丁4所学校参加支教活动,要求每所学校至少 安排一位教师志愿者,且每位教师志愿者只能到一所学校支教,在A教师志愿者被安排到甲学校支教的前 提下,甲学校有两名教师志愿者的概率为 . 【答案】 【分析】求出A教师志愿者被安排到甲学校的排法,然后再求出在A教师志愿者被安排到甲学校支教的前 提下,甲学校有两名志愿者的排法,根据条件概率进行计算,从而可求解. 【详解】A教师志愿者被安排到甲学校, 若甲学校只有一个人,则有 种安排方法, 若甲学校有2个人,则有 种安排方法, A教师志愿者被安排到甲学校共有 60种安排方法, 在A教师志愿者被安排到甲学校支教的前提下,甲学校有两名志愿者的安排方法有24种, 所以在A教师志愿者被安排到甲学校支教的前提下,甲学校有两名志愿者的概率是 , 故答案为: 37.甲罐中有2个红球、3个白球,乙罐中有4个红球、1个白球,先从甲罐中随机取出1个球放入乙罐, 再从乙罐中随机取出1个球,则从乙罐中取出的球是红球的概率为 . 【答案】 【分析】根据题意,分为甲罐中随机取出1个球为红球和甲罐中随机取出1个球为白球,两种情况,结合 概率的乘法公式,即可求解. 【详解】根据题意,甲罐中有2个红球、3个白球,乙罐中有4个红球、1个白球, 当甲罐中随机取出1个球为红球时,此时乙罐中有5个红球,1个白球, 其概率为 ; 当甲罐中随机取出1个球为白球时,此时乙罐中有4个红球,2个白球, 其概率为 , 所以从乙罐中取出的球是红球的概率为 . 资料整理【淘宝店铺:向阳百分百】学科网(北京)股份有限公司故答案为: . 四、解答题 38.已知男性中有 患色盲,女性中有 患色盲,从100个男人和100个女人中任选一人,设“任选 一人是男人”为事件 ,“任选一人是女人”为事件 “任选一人患色盲”为事件 . (1)求此人患色盲的概率; (2)如果此人患色盲,求此人是男性的概率. 【答案】(1) (2) 【分析】(1)根据题意应分男女两类色盲进行求解即可; (2)分清条件,直接代入条件概率的计算公式即可求解. 【详解】(1)此人患色盲的概率 (2)由(1)得 , 又 , . 39.设某厂有甲、乙、丙三个车间生产同一种产品,已知各车间的产量分别占全厂产量的25%,35%, 40%,并且各车间的次品率依次为5%,4%,2%.现从该厂这批产品中任取一件. (1)求取到次品的概率; (2)若取到的是次品,则此次品由三个车间生产的概率分别是多少? 【答案】(1) (2)此次品由甲车间生产的概率为: ,由乙车间生产的概率为: ,由丙车间生产的概率为: 【分析】(1)根据全概率计算公式,计算出所求概率. (2)根据贝叶斯公式,计算出所求概率. 资料整理【淘宝店铺:向阳百分百】学科网(北京)股份有限公司【详解】(1)取到次品的概率为 (2)若取到的是次品,则: 此次品由甲车间生产的概率为: . 此次品由乙车间生产的概率为: . 此次品由丙车间生产的概率为: . 40.某班从6名班干部(其中男生4人,女生2人)中,任选3人参加学校的义务劳动. (1)求男生甲或女生乙被选中的概率; (2)设“男生甲被选中”为事件A,“女生乙被选中”为事件B,求 和 . 【答案】(1) (2) , 【分析】(1)根据对立事件,求出不选男生甲且不选女生乙的概率,即可求出男生甲或女生乙被选中的 概率; (2)先求出女生乙被选中的情况数,根据古典概型,即可得出 ;先计算出 ,再根据条件概率 计算公式计算即可. 【详解】(1)从6人中选出3人共有 种情况, 不选男生甲且不选女生乙共有 种情况, 所以男生甲或女生乙被选中的概率为 . (2)女生乙被选中共有 种情况, 所以 , 男生甲被选中共有 种情况,所以 资料整理【淘宝店铺:向阳百分百】学科网(北京)股份有限公司男生甲被选中且女生乙被选中共有 种情况,则 , 所以 . 41.某足球队为评估球员的场上作用,对球员进行数据分析.球员甲在场上出任边锋、前卫、中场三个位 置,根据过往多场比赛,其出场率与出场时球队的胜率如下表所示. 场上位 边锋 前卫 中场 置 出场率 球队胜 率 (1)当甲出场比赛时,求球队获胜的概率; (2)当甲出场比赛时,在球队获胜的条件下,求球员甲担当前卫的概率. 【答案】(1) (2) 【分析】(1)设 表示“甲球员担当边锋”, 表示“甲球员担当前卫”, 表示“甲球员担当中场”, , , 两两互斥,设 表示“球队赢了某场比赛”,利用全概率公式求解即可. (2)由(1)知 ,然后利用条件概率公式求解即可. 【详解】(1)设 表示“甲球员担当边锋”, 表示“甲球员担当前卫”, 表示“甲球员担当中场”, , , 两两互斥, 设 表示“球队赢了某场比赛”, 则 资料整理【淘宝店铺:向阳百分百】学科网(北京)股份有限公司, 该球队某场比赛获胜的概率为 . (2)由 知: , 则 , 所以球员甲担当前卫的概率为 . 42.盒中装有6个同种产品,其中4个一等品,2个二等品,不放回地从中取产品,每次取1个,求: (1)取两次,两次都取得一等品的概率; (2)取两次,第二次取得一等品的概率; (3)取两次,已知第二次取得一等品的条件下,第一次取得的是二等品的概率. 【答案】(1) (2) (3) 【分析】(1)根据题意,求得第1次取得一等品的概率和第2次取到一等品的概率,结合互独立事件的概 率公式,即可求解; (2)根据题意,可分为第1次取得一等品,第2次取得一等品和第1次取得二等品,第2次取得一等品, 求得其概率,结合互斥事件的概率加法公式,即可求解; (3)设第2次取得一等品为事件 ,得到 ,设第1次取得二等品为事件 ,求得 ,结合条件 概率的计算公式,即可求解. 【详解】(1)解:根据题意,第1次取得一等品的概率为 ,第2次取到一等品的概率为 , 根据相互独立事件的概率公式,可得两次都取得一等品的概率为 . (2)解:根据题意,可分为两类情况: ①第1次取得一等品,第2次取得一等品,其概率为 ; ②第1次取得二等品,第2次取得一等品,其概率为 , 资料整理【淘宝店铺:向阳百分百】学科网(北京)股份有限公司由互斥事件的概率加法公式,可得第二次取得一等品的概率 . (3)解:设第2次取得一等品为事件 ,由(2)知: , 设第1次取得二等品为事件 ,可得 , 所以所求概率为 . 43.银行储蓄卡的密码由6位数字组成.某人在银行自助取款机上取钱时,忘记了密码的最后1位数字, 求: (1)任意按最后1位数字,不超过3次就按对的概率; (2)如果记得密码的最后1位是偶数,不超过3次就按对的概率. 【答案】(1) (2) 【分析】(1)任意按最后一个数,不超过3次就按对有三种情况:“第一次对”,“第一次错,第二次 对”,“第一次错,第二次错,第三次对”; (2)最后1位是偶数,不超过3次就按对有三种情况:“第一次对”,“第一次错,第二次对”,“第一 次错,第二次错,第三次对”; 【详解】(1)设 表示第 次按对密码, 表示不超过3次就按对, 则有 , 因为事件 两两互斥, 由概率的加法的公式和乘法公式可得, , 资料整理【淘宝店铺:向阳百分百】学科网(北京)股份有限公司. (2)记事件 :最后1位是偶数, 则 . 44.某大学有A,B两个餐厅为学生提供午餐与晚餐服务,甲、乙两位学生每天午餐和晚餐都在学校就餐, 近100天选择餐厅就餐情况统计如下: 选择餐厅情况 午餐,晚餐 甲 30天 20天 40天 10天 乙 20天 25天 15天 40天 (1)假设甲、乙选择餐厅相互独立,用频率估计概率.计算某天甲同学午餐去A餐厅用餐的情况下晚餐去B餐 厅用餐的概率; (2)某天午餐,甲和乙两名同学准备去A,B这两个餐厅中某一个就餐.设事件M=“甲选择A餐厅就餐”,事 件N=“乙选择A餐厅就餐”, , .若 ,证明:事件M和N相互独立. 【答案】(1) (2)证明见解析 【分析】(1)根据题意设出事件,用表格数据直接求解; (2)用条件概率公式和全概率公式化简原式得到 ,进一步化简得到 即可证明事件M和N相互独立. 【详解】(1)设“某天中午甲去 餐厅用餐”为事件 , “该天中午甲去 餐厅用餐”为事件 , 由题知 , , . 所以某天甲同学午餐去A餐厅用餐的情况下晚餐去B餐厅用餐的概率为 资料整理【淘宝店铺:向阳百分百】学科网(北京)股份有限公司(2)由 可知 , 所以 即 , 所以 , 得 , 即M和N相互独立得证. 45.有某一项游戏活动的规则如下:先随机投掷一枚骰子,然后根据骰子出现的点数再在袋中取球,最后 由取出的球的结果决定奖项.现甲袋中有3个红球,1个白球;乙袋中有2个红球,2个黑球(两个袋中球 的大小和质地都是相同的).每人只参加一次活动,且活动后把球放回原袋中. (1)小王同学参加的具体活动是:若骰子出现2点或4点,则在甲袋中任取一球,若骰子出现1、3、5或6 点,则在乙袋中任取一球.如果取到的球是红球,就获奖. ①求小王同学参加活动获奖的概率; ②小王同学参加活动已经获奖,求他是在甲袋中取球的概率; (2)小李同学参加的具体活动是:若骰子出现1点或2点,则在甲袋中任取一球,如果取出的球是红球,就 获得三等奖;若骰子出现3点或4点,则在甲袋中任取2球,如果取出的球都是红球,就获得二等奖;若 骰子出现5点或6点,则在甲袋中任取3球,如果取出的球都是红球,就获得一等奖.求小李同学参加活 动获奖的概率. 【答案】(1)① ;② (2) 【分析】(1)①分别计算出小王从甲袋和乙袋中取球,且为红球的概率,相加后得到答案;②利用条件 概率公式计算即可; (2)分别计算出小李同学参加活动获得三等奖,二等奖和一等奖的概率,相加得到答案. 【详解】(1)①小王从甲袋中取球,且为红球的概率为 , 资料整理【淘宝店铺:向阳百分百】学科网(北京)股份有限公司小王从乙袋中取球,且为红球的概率为 , 所以小王同学参加活动获奖的概率为 ; ②由①知,小王同学参加活动获奖的概率为 ,而且从甲袋中取球,且为红球的概率为 , 所以小王同学参加活动已经获奖,他是在甲袋中取球的概率为 . (2)小李同学参加活动,获得三等奖的概率为 , 获得二等奖的概率为 ,获得一等奖的概率为 , 故小李同学参加活动获奖的概率为 . 46.新冠病毒在传播过程中会发生变异,现在已有多种变异毒株,传播能力和重症率都各不相同.某地卫 生部门统计了本地新冠确诊病例中感染每种毒株的患者在总病例中的比例和各自的重症率,数据统计如下 表所示. 病毒类型 在确诊病例中的比例 重症率 阿尔法 10% 2.4% 贝尔特 15% 3.8% 德尔塔 25% 4% 奥密克戎 50% 2% 已知当地将阿尔法、贝尔塔、德尔塔三种类型病例全部集中收治在甲医院,奥密克戎病例全部单独收治在 乙医院.以频率估计概率回答下列问题. (1)某医生从甲医院新冠确诊病例名单中任取1人,求其为重症病例的概率; (2)某医生从乙医院新冠确诊病例名单中任取2人,已知2人中有重症病例,求2人都是重症病例的概率 (结果保留4位小数). 【答案】(1) 资料整理【淘宝店铺:向阳百分百】学科网(北京)股份有限公司(2)0.0101 【分析】(1)设事件 “甲医院中任取1位病例为重症病例”,事件 “甲医院中病例来自毒株类型 ”, , , ,再利用 利用条件概率公式和全概率公式即可得解; (2)设事件 “2人中有重症”,事件 “2人都是重症” 则 ,因为 ,所以 ,利用 即可得解. 【详解】(1)设事件 “甲医院中任取1位病例为重症病例”, 事件 “甲医院中病例来自毒株类型 ”, 其样本空间 ,且 , , 两两互斥,根据题意得, , , . 则 , ; , ; , . 根据全概率公式得 (2)设事件 “2人中有重症”,事件 “2人都是重症” 则 ,因为 ,所以 , 资料整理【淘宝店铺:向阳百分百】学科网(北京)股份有限公司. 所以,已知2人中有重症病例,2人都是重症病例的概率为0.0101. 47.(1)对于任意两个事件 ,若 , ,证明: ; (2)贝叶斯公式是由英国数学家贝叶斯发现的,它用来描述两个条件概率之间的关系.该公式为:设 , , …, 是一组两两互斥的事件, ,且 , ,2,…, ,则对任意的事件 , ,有 , ,2,…, . (i)已知某地区烟民的肺癌发病率为1%,先用低剂量 进行肺癌筛查,医学研究表明,化验结果是存在 错误的.已知患有肺癌的人其化验结果99%呈阳性(有病),而没有患肺癌的人其化验结果99%呈阴性(无 病),现某烟民的检验结果为阳性,请问他真的患肺癌的概率是多少? (ii)为了确保诊断无误,一般对第一次检查呈阳性的烟民进行复诊.复诊时,此人患肺癌的概率就不再是 1%,这是因为第一次检查呈阳性,所以对其患肺癌的概率进行修正,因此将用贝叶斯公式求出来的概率作 为修正概率,请问如果该烟民第二次检查还是呈阳性,则他真的患肺癌的概率是多少? 【答案】(1)证明见解析; (2) (i) ;(ii) 【分析】(1)根据条件概率进行证明即可;(2)利用已知条件给的贝叶斯公式,以及条件概率的计算方法计算 即可. 【详解】(1)因为 , ,所以 (2) (i)记检查结果呈阳性为事件A,被检查者患有肺癌为事件B, 由题意可得: , ,由贝叶斯公式得 资料整理【淘宝店铺:向阳百分百】学科网(北京)股份有限公司, 因此某烟民的检查结果为阳性,他真的患有肺癌的概率是 . (ii)同(i), . 【B组 在综合中考查能力】 一、单选题 1.已知随机事件A,B满足 ,则 ( ) A. B. C. D. 【答案】A 【分析】利用条件概率公式及对立事件的概率公式求解即可. 【详解】因为 ,所以 . 故选:A 2.从A班随机抽一名学生是女生的概率是 ,从B班随机抽一名学生是女生的概率是 ,现从两个班各 随机抽一名学生,那么两名学生不全是女生的概率是( ) A. B. C. D. 【答案】A 【分析】分从A班选一名女生从B班选一名男生,从A班选一名男生从B班选一名女生和从A班选一名 男生从B班选一名男生求解. 【详解】解:从A班选一名女生从B班选一名男生的概率为: ; 资料整理【淘宝店铺:向阳百分百】学科网(北京)股份有限公司从A班选一名男生从B班选一名女生的概率为: ; 从A班选一名男生从B班选一名男生的概率为: , 所以两名学生不全是女生的概率是 , 故选:A 3.有甲、乙两个袋子,甲袋中有2个白球和1个红球,乙袋中有2个红球和中1个白球,这6个球手感上 不可区别.现从甲袋中任取一球放入乙袋,搅匀后再从乙袋中任取一球,则收到红球的概率是( ) A. B. C. D. 【答案】B 【分析】利用条件概率及古典概率的计算公式,结合全概率公式即可求解. 【详解】设 “从甲袋放入乙袋的是白球”, “从甲袋放入乙袋的是红球” “从乙袋中任取 一球是红球”,则 . 故选:B. 4.抛掷一枚质地均匀骰子2次,设事件A=“第一次骰子正面向上的数字为2”,设事件B=“两次骰子正 面向上的数字之和为7”,设事件C=“两次骰子正面向上的数字之和为5”,则( ) A.事件A和事件C互斥 B.事件B和事件C互为对立 C.事件A和事件B相互独立 D.事件A和事件C相互独立 【答案】C 【分析】根据互斥事件,对立事件的定义即可判断AB;根据相互独立事件的定义及古典概型即可判断 CD. 【详解】由题意知,抛掷一枚质地均匀骰子2次,出现点数得情况有 种, 其中事件 包含的基本事件有 共 个, 则 , 资料整理【淘宝店铺:向阳百分百】学科网(北京)股份有限公司事件 包含的基本事件有 共 个, 则 , 事件 包含的基本事件有 共 个, 则 , 对于A,事件 可能同时发生,不是互斥事件,故A错误; 对于B,除了事件 外,还有其他事件,不是对立事件,故B错误; 对于C,事件 包含的基本事件有 共 个, 则 ,所以事件A和事件B相互独立,故C正确; 对于D,事件 包含的基本事件有 共 个, 则 ,所以事件A和事件C不相互独立,故D错误. 故选:C. 5.在4次独立试验中,事件A出现的概率相同,若事件A至少发生一次的概率是 ,则事件A在一次试 验中出现的概率为( ) A. B. C. D. 【答案】C 【分析】设事件A在一次试验中出现的概率是 ,根据对立事件的概率求得事件A一次都不发生的概率, 即可得 ,即可求得答案. 【详解】设事件A在一次试验中出现的概率是 ,由事件A至少发生 次的概率为 , 可知事件A一次都不发生的概率为 , 资料整理【淘宝店铺:向阳百分百】学科网(北京)股份有限公司由独立事件同时发生的概率知 ,则 , 故选:C . 6.某同学喜爱球类和游泳运动,在暑假期间,该同学上午去打球的概率为 ,若该同学上午不去打球,则 下午一定去游泳;若上午去打球,则下午去游泳的概率为 .已知该同学在某天下午去游了泳,则上午打球 的概率为( ) A. B. C. D. 【答案】C 【分析】设上午打球为事件 ,下午游泳为事件 ,根据题意求出 ,再根据条件概率 即可得解. 【详解】设上午打球为事件 ,下午游泳为事件 , 则 , 故 , 所以 , 所以上午打球的概率为 . 故选:C. 7.某高校校党委计划开展“学党史,争当新时代先锋”活动月,并在活动月末举办党史知识竞赛.数学学 院初步推选出2名教师和6名学生共8名党史知识学习优秀者,并从中随机选取5名组成院代表队参加学 校党史知识竞赛,则在代表队中既有教师又有学生的条件下,教师甲被选中的概率为( ) A. B. C. D. 【答案】B 【分析】根据条件概率公式求解即可. 【详解】记“代表队中既有教师又有学生”为事件A,“教师甲被选中”为事件B, 资料整理【淘宝店铺:向阳百分百】学科网(北京)股份有限公司则 , , 故在代表队中既有教师又有学生的条件下,教师甲被选中的概率 . 故选:B. 8.已知甲袋中装有 个红球, 个白球,乙袋中装有3个红球,4个白球,先从甲袋中任取1球放入乙袋 中,再从乙袋中任取出1球,若取出的是红球的概率为 ,则从甲袋中任取一个球,取出的是红球的概率 为( ) A. B. C. D. 【答案】C 【分析】根据概率的可加性原则,分别计算两种情况概率然后求和,找到 的关系,然后求解即可; 【详解】先从甲袋中任取1球放入乙袋中,有两种情况; 第一种,抽到红球放入,最后取出红球的概率为: ; 第二种,未抽到红球放入,最后取出红球的概率为: ; 根据题意, ,解得: , 则从甲袋中任取一个球,取出的是红球的概率为: ; 故选:C. 9.一名具有30多年医药研究和教学经验的医生面对这样一个问题:妇女患上乳腺癌的概率为0.8%. 如果 一名妇女患上了乳腺癌,其X光片有90%的可能呈阳性;如果没有,则X光片呈阳性的概率为7%. 现知道 一名妇女的X光片呈阳性,请帮助该医生计算这位妇女真正患上乳腺癌的概率约为( ) A.9% B.33% C.70% D.90% 【答案】A 【分析】运用条件概率公式可求得 ,全概率公式可求得 ,再运用条件概率可求得 . 【详解】设 “一名妇女患乳腺癌”, “一名妇女的X光片呈阳性”. 资料整理【淘宝店铺:向阳百分百】学科网(北京)股份有限公司由题知 , , , 所以 , 根据全概率公式可得 , 所以 , 故选:A. 10.某货车为某书店运送书籍,共 箱,其中 箱语文书、 箱数学书、 箱英语书.到达目的地时发现 丢失一箱,但不知丢失哪一箱.现从剩下的 箱书中随机打开 箱,结果是 箱语文书、 箱数学书,则丢 失的一箱是英语书的概率为( ) A. B. C. D. 【答案】B 【分析】记事件 从剩下的 箱书中随机打开 箱,结果是 箱语文书、 箱数学书,记事件 丢失的一 箱是语文书,事件 丢失的一箱是数学书,事件 丢失的一箱是英语书,利用全概率公式求出 的 值,再利用贝叶斯公式可求得所求事件的概率. 【详解】记事件 从剩下的 箱书中随机打开 箱,结果是 箱语文书、 箱数学书, 记事件 丢失的一箱是语文书,事件 丢失的一箱是数学书,事件 丢失的一箱是英语书, 则 , , 由贝叶斯公式可得 . 故选:B. 11.某居民小区有两个相互独立的安全防范系统 和 ,系统 和系统 在任意时刻发生故障的概率分别 为 和 ,已知两个系统至少有一个能正常运作,小区就处于安全防范状态.若要求小区在任意时刻均处于 资料整理【淘宝店铺:向阳百分百】学科网(北京)股份有限公司安全防范状态的概率不低于 ,则 的最大值为( ) A. B. C. D. 【答案】A 【分析】方法一:根据独立事件的乘法公式和互斥事件加法公式求解即可;方法二:根据独立事件的乘法 公式和对立事件概率公式求解. 【详解】设系统 和系统 在任意时刻发生故障的事件分别为M和N. 方法一:小区处于安全防范状态的概率为 , 解得 ,故 的最大值为 . 故选:A. 方法二:小区在任意时刻均处于安全防范状态的概率为 ,解得 ,故 的最大 值为 . 故选:A. 12.五一国际劳动节,学校团委举办“我劳动,我快乐”的演讲比赛.某班有甲、乙、丙等5名同学参加, 抽签确定出场顺序.在“学生甲必须在学生乙的前面出场”的前提下,学生甲、乙相邻出场的概率为( ). A. B. C. D. 【答案】B 【分析】设“学生甲、乙相邻出场”为事件 ,“学生甲必须在学生乙的前面出场”为事件 ,根据倍缩 法求出学生甲必须在学生乙的前面出场的种数,得出 ,再根据捆绑法求出学生甲必须在学生乙的前面 出场且甲、乙相邻出场的种数,求出 ,根据条件概率公式计算即可. 【详解】设“学生甲、乙相邻出场”为事件 ,“学生甲必须在学生乙的前面出场”为事件 , 共有 种情况,学生甲必须在学生乙的前面出场的情况有 种, 资料整理【淘宝店铺:向阳百分百】学科网(北京)股份有限公司所以 , 甲乙同学按出场顺序一定,且相邻出场的情况共有 种, 所以 , 则 , 故选:B. 13.随机化回答技术是为调查敏感性问题特别设计的问卷调查技术,其基本特征是被调查者对所调查的问 题采取随机回答的方式,避免在没有任何保护的情况下直接回答敏感性问题,从而既对被调查者的隐私和 秘密加以保护,又能获得所需要的真实信息.某公司为提升员工的工作效率,规范管理,决定出台新的员 工考勤管理方案,方案起草后,为了解员工对新方案是否满意,决定采取如下随机化回答技术进行问卷调 查:所有员工每人抛掷一枚质地均匀的硬币两次,约定“若结果为一次正面朝上一次反面朝上,则按①回 答问卷,否则按②回答问卷”. ①:若第一次抛掷硬币出现正面朝上,则在问卷中画“√”,否则画“×”; ②:若你对新考勤管理方案满意,则在问卷中画“√”,否则画“×”. 当所有员工完成问卷调查后,统计画√,画×的比例为3∶2,用频率估计概率,则该公司员工对考勤管理方 案的满意率为( ) A.50% B.60% C.70% D.80% 【答案】C 【分析】计算出回答①对于画√号的贡献率,进而得到回答②对于画√号的贡献率,由贝叶斯概率公式进 行求解. 【详解】抛掷一枚质地均匀的硬币两次,共出现以下情况,(正,正),(正,反),(反,正),(反, 反),共4种情况, 其中结果为一次正面朝上一次反面朝上为事件 ,则共有2种情况满足要求, 则 , , 设回答①且画√号为事件 ,则 ,则 , 资料整理【淘宝店铺:向阳百分百】学科网(北京)股份有限公司设回答②且画√号为事件 , 则 , 所以该公司员工对考勤管理方案的满意率为 . 故选:C 14.质地均匀的正四面体表面上分别标有数字1,2,3,4,抛掷该正四面体两次,记事件 为“第一次向 下的数字为偶数”,事件 为“两次向下的数字之和为奇数”,则下列说法错误的是( ) A. B.事件 和事件 互为对立事件 C. D.事件 和事件 相互独立 【答案】B 【分析】求得 的值判断选项A;举反例否定选项B;求得 的值判断选项C;利用公式 是否成立判断选项D. 【详解】选项A: ,故A正确; 选项B:事件A和事件B可以同时发生,如事件A和事件B均为:第一次向下的数字为偶数, 第二次向下 的数字为奇数,则事件A和事件B不是对立事件,故B错误; 选项C: ,则 ,故C正确; 选项D: ,又 , , 则有 成立,则事件A和事件B相互独立,故D正确. 故选:B. 15.已知颜色分别是红、绿、黄的三个大小相同的口袋,红色口袋内装有两个红球,一个绿球和一个黄球; 资料整理【淘宝店铺:向阳百分百】学科网(北京)股份有限公司绿色口袋内装有两个红球,一个黄球;黄色口袋内装有三个红球,两个绿球(球的大小质地相同).若第 一次先从红色口袋内随机抽取1个球,然后将取出的球放入与球同颜色的口袋内,第二次从该口袋内任取 一个球,则第二次取到黄球的概率为( ) A. B. C. D. 【答案】D 【分析】根据条件概率公式和概率的乘法公式以及全概率公式即可求解. 【详解】记第一次抽到红、绿、黄球的事件分别为 , 则 , 记第二次在红、绿、黄色口袋内抽到黄球的事件分别为 , 而 两两互斥,其和为 , 所以 , 记第二次抽到黄球的事件为B, 则 , 故选:D. 二、多选题 16.骰子通常作为桌上游戏的小道具.最常见的骰子是六面骰,它是一个质地均匀的正方体,六个面上分别 写有数字 ,现有一款闯关游戏,共有3关,规则如下:在第 关要抛掷六面骰 次,每次观察向 上面的点数并做记录,如果这 次抛掷所出现的点数之和大于 ,则算闯过第 关, ,假定每 次闯关互不影响,则( ) A.挑战第1关通过的概率为 B.直接挑战第2关并过关的概率为 C.连续挑战前两关并过关的概率为 资料整理【淘宝店铺:向阳百分百】学科网(北京)股份有限公司D.若直接挑战第3关,设 “三个点数之和等于15”, “至少出现一个5点”,则 【答案】BCD 【分析】根据题意,结合古典摡型的概率计算公式,相互独立事件的概率乘法公式,以及条件概率的计算 方法,逐项判定,即可求解. 【详解】对于A中,闯第1关时, ,满足条件的点数有 三种情况, 所以挑战第1关通过的概率为 ,所以A错误; 对于B中,直接挑战第2关,则 , 所以投掷两次点数之和应大于6,即点数为 共21种情况, 故直接挑战第2关并过关的概率为 ,所以B正确; 对于C中,连续挑战前两关并过关的概率为 ,所以C正确; 对于D中,由题意可知,抛掷3次的基本事件有 个, 抛掷3次至少出现一个5点的基本事件共有 个,故 , 而事件 包括:含 的1个,含 的有6个,一共有7个,故 , 所以 ,所以D正确. 故选:BCD. 17.有3台车床加工同一型号的零件,第1,2,3台加工的次品率分别为 , , ,加工出来的零 件混放在一起.已知第1,2,3台车床加工的零件数的比为 ,现任取一个零件,记事件 “零件 为第 台车床加工”( ,2,3),事件 “零件为次品”,则下列结论中正确的是( ) A. B. C. D. 【答案】ACD 资料整理【淘宝店铺:向阳百分百】学科网(北京)股份有限公司【分析】根据已知条件,结合全概率公式、条件概率公式依次求解即可. 【详解】事件 “零件为第 台车床加工”( ,2,3),事件 “零件为次品”, 则 , , , , , ,故A正确,B错误; ,故C正确; ,故D正确. 故选:ACD. 18.下列对各事件发生的概率判断正确的是( ) A.某学生在上学的路上要经过4个路口,假设在各路口是否遇到红灯是相互独立的,遇到红灯的概率 都是 ,那么该生在上学路上到第3个路口首次遇到红灯的概率为 B.三人独立地破译一份密码,他们能单独译出的概率分别为 , , ,假设他们破译密码是彼此独 立的,则此密码被破译的概率为 C.从1,2,3,4中任取2个不同的数,则取出的2个数之差的绝对值为2的概率是 D.设两个独立事件A和B都不发生的概率为 ,A发生B不发生的概率与B发生A不发生的概率相同, 则事件A发生的概率是 【答案】BC 【分析】根据独立事件概率公式,计算后,判断的ABD;根据古典概型概率公式,判断C. 【详解】对于A,该生在第3个路口首次遇到红灯的情况为前2个路口不是红灯,第3个路口是红灯,所以概 率为 ,故A错误; 资料整理【淘宝店铺:向阳百分百】学科网(北京)股份有限公司对于B,用 、 、 分别表示甲、乙、丙三人能破译出密码,则 , , ,“三个人都不 能破译出密码”发生的概率为 ,所以此密码被破译的概率为 ,故B正确; 对于C,从1,2,3,4中任取2个不同的数,共有 种方法,其中取出的2个数之差的绝对值为2的 包含 和 两个样本点,在概率 ,故C正确; 对于D,易得 ,即 , 即 ,∴ ,又 , ∴ ,∴ ,故D错误 故选BC 19.现有甲、乙两个箱子,甲中有2个红球,2个黑球,6个白球,乙中有5个红球和4个白球,现从甲箱 中取出一球放入乙箱中,分别以 表示由甲箱中取出的是红球,黑球和白球的事件,再从乙箱中随 机取出一球,则下列说法正确的是( ) A. 两两互斥. B.根据上述抽法,从乙中取出的球是红球的概率为 . C.以 表示由乙箱中取出的是红球的事件,则 . D.在上述抽法中,若取出乙箱中一球的同时再从甲箱取出一球,则取出的两球都是红球的概率为 . 【答案】ABC 【分析】根据给定条件,利用利用互斥事件意义判断A;利用全概率公式求出概率判断B;利用条件概率 公式计算判断C;利用概率的乘法公式及互斥事件的概率加法公式计算判断D作答. 【详解】依题意, , 对于A,事件 , 不可能同时发生,即 ,因此事件 , 互斥, 资料整理【淘宝店铺:向阳百分百】学科网(北京)股份有限公司同理:事件 , ,事件 , 互斥,故A正确; 对于B,从乙箱中取出的是红球的事件为 , 则 , 因此 ,故B正确; 对于C,由选项B知, ,C正确; 对于D,取出乙箱中一球的同时再从甲箱取出一球,取出的两球都是红球的事件可以分拆成2个互斥事件 的和, 记甲箱中取红球入乙箱,再从乙箱取红球、甲箱中取红球的事件为 , 则 , 记甲箱中取黑球或白球入乙箱,再从乙箱取红球、甲箱中取红球的事件为 , 则 所以所求概率为 ,故D错误. 故选:ABC. 20.某儿童乐园有甲,乙两个游乐场,小王同学第一天去甲、乙两家游乐场游玩的概率分别为0.3和0.7, 如果他第一天去甲游乐场,那么第二天去甲游乐场的概率为0.7;如果第一天去乙游乐场,那么第二天去 甲游乐场的概率为0.6,则王同学( ) A.第二天去甲游乐场的概率为0.63 B.第二天去乙游乐场的概率为0.42 C.第二天去了甲游乐场,则第一天去乙游乐场的概率为 D.第二天去了乙游乐场,则第一天去甲游乐场的概率为 【答案】AC 【分析】利用条件概率公式、全概率公式以及对立事件的概率计算公式一一代入计算即可. 资料整理【淘宝店铺:向阳百分百】学科网(北京)股份有限公司【详解】设 :第一天去甲游乐场, :第二天去甲游乐场, :第一天去乙游乐场, :第二天去乙 游乐场, 依题意可得 , , , , 对A, ,A正确; 对B, ,B错误; 对C, ,C正确; 对D, ,D错误, 故选:AC. 21.我国为了鼓励新能源汽车的发展,推行了许多购车优惠政策,包括:国家财政补贴、地方财政补贴、免 征车辆购置税、充电设施奖补、车船税减免、放宽汽车消费信贷等.记事件 表示“政府推出购买电动汽车优 惠补贴政策”;事件 表示“电动汽车销量增加”, , .一般来说,推出购车优惠补贴 政策的情况下,电动汽车销量增加的概率会比不推出优惠补贴政策时增加的概率要大.基于以上情况,下列 不等式正确的是( ) A. B. C. D. . 【答案】ACD 【分析】对于选项A,直接根据题意即可判断出正误;对于选项B,利用条件和对立事件的概率公式即可 判断出正误;对于选项C和D,根据条件和条件概率公式,再进行变形化简即可判断出正误. 【详解】根据题意知 ,故选项 正确; 由 ,得到 ,即 ,故选项B错误; 资料整理【淘宝店铺:向阳百分百】学科网(北京)股份有限公司又由 知, ,化简得到 ,所 以选项C正确; 又由 ,得 ,所以 , 即 ,即 , 即 ,故D正确; 故选:ACD. 22.在一个抽奖游戏中,主持人从编号为1,2,3,4的四个外观相同的空箱子中随机选择一个,放入一件 奖品,再将四个箱子关闭,也就是主持人知道奖品在哪个箱子里,当抽奖人选择了某个箱子后,在箱子打 开之前,主持人先随机打开了另一个没有奖品的箱子,并问抽奖人是否愿意更改选择以便增加中奖概率, 现在已知甲选择了1号箱,在箱子打开之前,主持人先打开了3号箱.用 表示i号箱有奖品(i=1,2, 3,4),用 表示主持人打开j号箱子j=2,3,4),下列结论正确的是( ) A. B. C.要使获奖概率更大,甲应该坚持选择1号箱 D.要使获奖概率更大,用应该改选2号或者4号箱 【答案】ABD 【分析】根据古典概型判断A选项,结合条件概率和全概率公式及贝叶斯公式分别判断B,C,D选项. 【详解】对于A选项,抽奖人在不知道奖品在哪个箱子的情况下选择了1号箱,他的选择不影响奖品在四 个箱子中的概率分配, 因此 , , , 的概率均为 ,即A正确; 资料整理【淘宝店铺:向阳百分百】学科网(北京)股份有限公司对于B选项,奖品在2号箱里,主持人只能打开3、4号箱,故 ,故B正确; 对于C、D选项, 方法一:奖品在1号箱里,主持人可打开2、3、4号箱,故 , 奖品在2号箱里,主持人只能打开3、4号箱,故 , 奖品在3号箱里,主持人打开3号箱的概率为0,故 , 奖品在4号箱里,主持人只能打开2、3号箱,故 ,由全概率公式可得: , , ,故C错误,D正确. 方法二:若继续选择1号箱,有奖品的概率为 ,无奖品的概率为 ,主持人打开了无奖品的3号箱, 若不换号,则甲在1号箱获得奖品的概率依然为 ,而在排除了3号箱有奖的情况下, 2号或者4号箱获奖的概率会提高,因此为了增加中奖的概率,甲应该改选2号或者4号箱. 故选:ABD. 三、填空题 23.我市男子乒乓球队为备战下届市运会,在某训练基地进行封闭时训练,甲、乙两队队员进行对抗赛, 每局依次轮流发球,连续赢两个球者获胜.通过分析甲、乙过去对抗赛的数据知,甲发球甲赢的概率为 , 乙发球甲赢的概率为 ,不同球的结果互不影响.已知某局甲先发球,该局打四个球,甲赢的概率是 【答案】 【分析】由于连胜两局者赢,则可写出四局的结果,计算即可. 资料整理【淘宝店铺:向阳百分百】学科网(北京)股份有限公司【详解】由于连胜两局者赢,甲先发球可分为: 该局:第一个球甲赢、第二个球乙赢、第三个球甲赢、第四个球甲赢, 则概率为 ; 故答案为: 24.甲、乙两队进行自由式轮滑速度障碍赛决赛,采取五场三胜制(当一队赢得三场比赛时,该队获胜, 比赛结束),根据以往比赛成绩可知;甲队每场比赛获胜的概率为 .比赛结果没有平局,且各场比赛结 果相互独立,则甲队获胜的概率为 . 【答案】 【分析】分析可知,甲队获胜有三种情况:①比赛进行三场,甲队均胜;②比赛进行四场,甲队前三场恰 好胜二场,输一场,第四场胜;③比赛进行五场,甲队第五场胜,前四场恰好胜二场,输二场,结合独立 重复试验的概率公式可求得所求事件的概率. 【详解】解:设事件A为“甲队最终获得胜利”, ①比赛进行三场,甲队均胜, ; ②比赛进行四场,甲队前三场恰好胜二场,输一场,第四场胜, ; ③比赛进行五场,甲队第五场胜,前四场恰好胜二场,输二场, , 则 . 故答案为: 25.某同学参加科普知识竞赛,需回答3个问题,竞赛规则规定:答对第一、二、三个问题分别得100分、 100分、200分,答错得零分.假设这名同学答对第一、二、三个问题的概率分别为0.8、0.7、0.6,且各题 答对与否相互之间没有影响,则这名同学得300分的概率为 . 【答案】 【分析】根据互斥事件、独立事件的概率公式求解即可. 资料整理【淘宝店铺:向阳百分百】学科网(北京)股份有限公司【详解】记“这名同学答对第 个问题”为事件 , 则 , , 这名同学得300分包括两种情况,一是答对第一和第三两个题目,二是答对第二和第三两个题目,这两种 情况是互斥的, 所以 . 故答案为: 26.假设有两箱零件,第一箱内装有10件,其中有3件次品;第二箱内装有20件,其中有2件次品.现 从两箱中随意挑选一箱,然后从该箱中随机取1个零件,已知取出的是次品,则它是从第一箱取出的概率 为 . 【答案】0.75 【分析】利用条件概率求取出的是次品,求它是从第一箱取出的概率. 【详解】设事件 表示从第 箱中取一个零件,事件 表示取出的零件是次品,则 , 所以已知取出的是次品,求它是从第一箱取出的概率为 . 故答案为: . 27.甲、乙、丙、丁 人分别到 、 、 、 四所学校实习,每所学校一人,在甲不去 校的条件下, 乙不去 校的概率是 . 【答案】 【分析】利用古典概型的概率公式求出甲不去 校的概率和甲不去 校且乙不去 校的概率,然后由条件 概率的概率公式求解即可. 【详解】由题意,甲不去 校的概率为 , 资料整理【淘宝店铺:向阳百分百】学科网(北京)股份有限公司甲不去 校且乙不去 校的概率为 , 则在甲不去 校的条件下,乙不去 校的概率 . 故答案为: . 28.在概率论中,全概率公式指的是:设 为样本空间,若 是一组两两互斥的事件, ,则对任意的事件 ,有 .若甲盒中有 个红球、 个白球、 个黑球,乙 盒中有 个红球、 个白球、 个黑球,现从甲盒中随机取出一个球放入乙盒,再从乙盒中随机取出一个球, “从乙盒中取出的球是红球”,若 ,则 的最大值为 . 【答案】7 【分析】利用条件概率及全概率公式计算即可. 【详解】设 “从甲盒里取出的是红球”, “从甲盒里取出的是白球”, “从甲盒里取出的是 黑球”,故 根据全概率公式可得 ,解得 ,所以 的最大值为 . 故答案为:7 29.一位飞镖运动员向一个目标投掷三次,记事件 “第 次命中目标” , , , ,则 . 资料整理【淘宝店铺:向阳百分百】学科网(北京)股份有限公司【答案】 【分析】由题意,计算条件概率,利用全概率公式,求得答案. 【详解】由题意, , , 则 ; , , 则 ; 故答案为: . 30.已知在自然人群中,男性色盲患者出现的概率为7%,女性色盲患者出现的概率为0.5%.今从男女人 数相等的人群中随机地挑选一人,恰好是色盲患者,则此人是男性的概率是 . 【答案】 【分析】以事件 表示“选出的是男性”,则事件 表示“选出的是女性”,以事件 表示“选出的人是 色盲患者”.由已知得 , , .根据贝叶斯公式可求得答案. 【详解】解:以事件 表示“选出的是男性”,则事件 表示“选出的是女性”,以事件 表示“选出的 人是色盲患者”. 由题意,知 , , . 由贝叶斯公式,可知此色盲患者是男性的概率为 . 故答案为: . 31.甲箱中有5个红球,2个白球和3个黑球,乙箱中有4个红球,3个白球和3个黑球(球除颜色外,大 小质地均相同).先从甲箱中随机取出一球放入乙箱,分别以 , 和 表示由甲箱中取出的球是红球, 资料整理【淘宝店铺:向阳百分百】学科网(北京)股份有限公司白球和黑球的事件;再从乙箱中随机取出一球,以B表示由乙箱中取出的球是红球的事件,下列说法正确 的序号是 . ①事件 , 相互独立;② ;③ ;④ ;⑤ . 【答案】③④⑤ 【分析】首先判断出 , 和 是两两互斥事件,再判断 与 是否相等,可确定①; 求出 可判断②;利用全概率判断③;再利用条件概率判断④⑤. 【详解】依题意, , 和 是两两互斥事件, , , 又 , ①②错误; 又 , , ,③④正确; ,⑤正确; 故答案为:③④⑤. 四、解答题 32.面对某种流感病毒,各国医疗科研机构都在研究疫苗,现有A、B、C三个独立的研究机构在一定的时 资料整理【淘宝店铺:向阳百分百】学科网(北京)股份有限公司期研制出疫苗的概率分别为: ,求 (1)他们都研制出疫苗的概率; (2)他们能研制出疫苗的概率; (3)至多有一个机构研制出疫苗的概率. 【答案】(1) ; (2) ; (3) . 【分析】(1)根据给定条件,利用相互独立事件的概率公式计算得解. (2)利用对立事件、相互独立事件的概率公式计算得解. (3)利用互斥事件的加法公式、相互独立事件的乘法公式计算得解. 【详解】(1)“A机构在一定时期研制出疫苗”为事件D,“B机构在一定时期研制出疫苗”为事件E, “C机构在一定时期研制出疫苗”为事件F,显然事件 相互独立,且 , 都研制出疫苗的事件为 ,则 , 所以他们都研制出疫苗的概率为 . (2)能研制出疫苗的事件为 ,其对立事件是都没有研制出疫苗的事件, 则 , 所以他们能研制出疫苗的概率是 . (3)至多有一个机构研制出疫苗的事件为 ,则 , 则 , 所以至多有一个机构研制出疫苗的概率是 . 资料整理【淘宝店铺:向阳百分百】学科网(北京)股份有限公司33.某单位有A,B两个餐厅为员工提供午餐与晚餐服务,甲、乙两位员工每个工作日午餐和晚餐都在单 位就餐,近100个工作日选择餐厅就餐情况统计如下: 选择餐厅情况(午餐,晚餐) 甲员工 30天 20天 40天 10天 乙员工 20天 25天 15天 40天 假设甲、乙员工选择餐厅相互独立,用频率估计概率. (1)分别估计一天中甲员工午餐和晚餐都选择A餐厅就餐的概率,乙员工午餐和晚餐都选择B餐厅就餐的概 率; (2)试判断甲、乙员工在晚餐选择B餐厅就餐的条件下,哪位员工更有可能午餐选择A餐厅就餐,并说明理 由. 【答案】(1)甲员工午餐和晚餐都选择A餐厅就餐的概率为 ,乙员工午餐和晚餐都选择B餐厅就餐的概 率为 . (2)甲员工更有可能午餐选A餐厅,理由见解析 【分析】(1)利用古典概型的概率公式计算可得; (2)根据古典概型的概率公式求出所对应的条件概率,即可判断. 【详解】(1)设事件C=“一天中甲员工午餐和晚餐都选择A餐厅就餐”, 事件D=“一天中乙员工午餐和晚餐都选择B餐厅就餐”. 由于100个工作日中甲员工午餐、晚餐都选择A餐厅就餐的天数为30, 乙员工午餐、晚餐都选择B餐厅就餐的天数为40, 所以 , ; (2)设N1=“甲员工晚餐选择B餐厅就餐”, N2=“乙员工晚餐选择B餐厅就餐”, M1=“甲员工在午餐时选择A餐厅就餐”, M2=“乙员工在午餐时选择A餐厅就餐”,则 , . 因为 , 所以在已知晚餐选择B餐厅就餐的条件下,甲员工更有可能在午餐时选择A餐厅就餐. 34.第三次人工智能浪潮滚滚而来,以ChatGPT 发布为里程碑,开辟了人机自然交流的新纪元.ChatGPT 所用到的数学知识,开辟了人机自然交流的新纪元. ChatGPT所用到的数学知识并非都是遥不可及的高深 资料整理【淘宝店铺:向阳百分百】学科网(北京)股份有限公司理论,条件概率就被广泛应用于ChatGPT 中.某数学素养提升小组设计了如下问题进行探究:现有完全相 同的甲,乙两个箱子(如图),其中甲箱装有2个黑球和4个白球,乙箱装有2个黑球和3个白球,这些 球除颜色外完全相同.某人先从两个箱子中任取一个箱子,再从中随机摸出一球. (1)求摸出的球是黑球的概率; (2)若已知摸出的球是黑球,请用概率公式判断该球取自哪个箱子的可能性更大. 【答案】(1) (2)该球取自乙箱的可能性更大 【分析】(1)利用全概率公式求摸出的球是黑球的概率; (2)利用贝叶斯公式求黑球来自甲、乙箱的概率,比较它们的大小,即可得结论. 【详解】(1)记事件A表示“球取自甲箱”,事件 表示“球取自乙箱”,事件B表示“取得黑球”, 则 , 由全概率公式得: . (2)该球取自乙箱的可能性更大,理由如下: 该球是取自甲箱的概率 该球取自乙箱的概率 因为 所以该球取自乙箱的可能性更大. 35.某次数学考试中只有两道题目,甲同学答对每题的概率均为 ,乙同学答对每题的概率均为 , 且每人各题答题结果互不影响.已知每题甲、乙同时答对的概率为 ,恰有一人答对的概率为 . 资料整理【淘宝店铺:向阳百分百】学科网(北京)股份有限公司(1)求 和 的值; (2)设事件 “甲同学答对了 道题”,事件 “乙同学答对了 道题”, ,试求甲乙两人共答 对了3道题的概率. 【答案】(1) (2) 【分析】(1)根据相互独立事件乘法公式和互斥事件加法公式列式求解即可; (2)先求出两人答对1道和答对2到的概率,再结合题意根据互斥事件加法公式和独立事件乘法公式求解 即可. 【详解】(1)设 甲同学答对第一题 乙同学答对第一题 ,则 . 设 甲、乙二人均答对第一题 甲、乙二人中恰有一人答对第一题 , 则 . 由于二人答题互不影响,且每人各题答题结果互不影响,所以 与 相互独立, 与 相互互斥, 所以 由题意可得 ,即 ,解得 或 , 由于 ,所以 . (2)由题意得, , . 设 {甲乙二人共答对3道题 ,则 .由于 和 相互独立, 与 相互互斥, 所以 . 资料整理【淘宝店铺:向阳百分百】学科网(北京)股份有限公司所以甲乙二人共答对3道题的概率为 . 36.已知某著名高校今年综合评价招生分两步进行:第一步是材料初审,若材料初审不合格,则不能进入 第二步面试;若材料初审合格,则进入第二步面试.只有面试合格者,才能获得该高校综合评价的录取资 格,且材料初审与面试之间相互独立,现有甲、乙、丙三名考生报名参加该高校的综合评价,假设甲、乙, 丙三名考生材料初审合格的概率分别是 , , ,面试合格的概率分别是 , , . (1)求甲、乙两位考生中且只有一位考生获得该高校综合评价录取资格的概率; (2)求三人中至少有一人获得该高校综合评价录取资格的概率. 【答案】(1) (2) 【分析】(1)设事件 、 、 分别为“甲、乙、丙获得该高校综合评价录取资格”,根据独立事件概率 计算方法可直接求出 、 、 ,则甲、乙两位考生中且只有一位考生获得该高校综合评价录取 资格的概率为 ,计算即可. (2)先计算其对立事件概率,从而求解. 【详解】(1)设事件 表示“甲获得该高校综合评价录取资格”, 则 ; 设事件 表示“乙获得该高校综合评价录取资格”, 则 , 则甲、乙两位考生中且只有一位考生获得该高校综合评价录取资格的概率为: ; (2)设事件 表示“丙获得该高校综合评价录取资格”, 则 , “三人中至少有一人获得该高校综合评价录取资格”的对立事件是“三个人都没有获得该高校综合评价录 资料整理【淘宝店铺:向阳百分百】学科网(北京)股份有限公司取资格”,则“三人中至少有一人获得该高校综合评价录取资格”的概率为: . 37.有3台车床加工同一型号的零件,第1台加工的次品率为6%,第2,3台加工的次品率均为5%,加工 出来的零件混放在一起,已知第1,2,3台车床加工的零件数分别占总数的25%,30%,45%. (1)任取一个零件,计算它是次品的概率; (2)如果取到的零件是次品,计算它是第1台车床所加工的概率(结果用分数表示); (3)参照第(2)问给出判断,求第1,2,3台车床操作员对加工次品分别应承担的份额. 【答案】(1)0.0525 (2) (3)第1,2台车床操作员应承担 ,第3台车床操作员应承担 . 【分析】(1)设 “任取一零件为次品”, “零件为第i台车床加工” , 则 ,且 , , 两两互斥,求出 、 、 ,以及 、 、 ,由全概率公式得 ; (2)“求次品为第1台车床所加工的概率”,就是计算在B发生的条件下,事件 发生的概率由条件概 率公式计算可得答案; (3)由条件概率公式计算可得答案; 【详解】(1)设 “任取一零件为次品”, “零件为第i台车床加工” , 则 ,且 , , 两两互斥,根据题意得, , , , , , , 由全概率公式,得 资料整理【淘宝店铺:向阳百分百】学科网(北京)股份有限公司; (2)“求次品为第1台车床所加工的概率”,就是计算在B发生的条件下,事件 发生的概率, ; (3)根据(2) , , 故第1,2台车床操作员应承担 ,第3台车床操作员应承担 . 38.在一个抽奖游戏中,主持人从编号为 的四个外观相同的空箱子中随机选择一个,放入一件奖品, 再将四个箱子关闭.主持人知道奖品在哪个箱子里.游戏规则是主持人请抽奖人在这四个箱子中选择一个, 若奖品在此箱子里,则奖品由获奖人获得.现有抽奖人甲选择了2号箱,在打开2号箱之前,主持人先打开 了另外三个箱子中的一个空箱子.按游戏规则,主持人将随机打开甲的选择之外的一个空箱子. (1)计算主持人打开4号箱的概率; (2)当主持人打开4号箱后,现在给抽奖人甲一次重新选择的机会,请问他是坚持选2号箱,还是改选1号 或3号箱?(以获得奖品的概率最大为决策依据) 【答案】(1) (2)甲应该改选1号或3号箱. 【分析】(1)设出事件,根据已知条件得出事件的概率以及条件概率,然后根据全概率公式即可得出答 案; (2)根据条件概率公式,求出抽奖人甲选择各个箱子,获得奖品的概率,即可得出答案. 【详解】(1)设 分别表示1,2,3,4号箱子里有奖品, 设 分别表示主持人打开 号箱子, 则 ,且 两两互斥. 由题意可知,事件 的概率都是 , , , , 资料整理【淘宝店铺:向阳百分百】学科网(北京)股份有限公司. 由全概率公式,得 . (2)在主持人打开4号箱的条件下,1号箱、2号箱、3号箱里有奖品的条件概率分别为 , , , 通过概率大小比较,甲应该改选1号或3号箱. 39.某地区举行数学核心素养测评,要求以学校为单位参赛,最终 学校和 学校进入决赛.决赛规则如 下:现有甲、乙两个纸箱,甲箱中有4道选择题和2道填空题,乙箱中有3道选择题和3道填空题,决赛 由两个环节组成,环节一:要求两校每位参赛同学在甲或乙两个纸箱中随机抽取两题作答,作答后放回原 箱;环节二:由 学校和 学校分别派出一名代表进行比赛.两个环节按照相关比赛规则分别累计得分, 以累计得分的高低决定名次. (1)环节一结束后,采用样本量比例分配的分层随机抽样,如果不知道样本数据,只知道从 学校抽取12 人,其答对题目的平均数为1,方差为1,从 学校抽取8人,其答对题目的平均数为1.5,方差为0.25, 求这20人答对题目的均值与方差; (2)环节二, 学校代表先从甲箱中依次抽取了两道题目,答题结束后将题目一起放入乙箱中,然后 学校 代表再从乙箱中抽取题目,已知 学校代表从乙箱中抽取的第一题是选择题,求 学校代表从甲箱中取出 的是两道选择题的概率. 【答案】(1)这20人答对题目的均值为 ,方差为 (2) 【分析】(1)根据均值和方差公式计算可得结果; (2)根据贝叶斯公式可求出结果. 资料整理【淘宝店铺:向阳百分百】学科网(北京)股份有限公司【详解】(1)设 学校答对题目的样本数据为 , 学校答对题目的样本数据为 , 由题意得 ,由题意得 , 所以这20人答对题目的均值为 , 由 ,得 , 由 ,得 , , , 这20人答对题目的方差为 . (2)记 “ 学校代表从乙箱中抽取的第一道题是选择题”, “ 学校代表先从甲箱中依次抽取了两道选择题”, “ 学校代表先从甲箱中依次抽取了一道选择题,一道填空题”, “ 学校代表先从甲箱中依次抽取了两道填空题”, 易知 彼此互斥, , 资料整理【淘宝店铺:向阳百分百】学科网(北京)股份有限公司, , , , , , , . 所以 学校代表从甲箱中取出的是两道选择题的概率为 . 【C组 在创新中考查思维】 一、单选题 1.对于一个古典概型的样本空间 和事件A,B,C,D,其中 , , , , , , , ,则( ) A.A与B不互斥 B.A与D互斥但不对立 C.C与D互斥 D.A与C相互独立 【答案】D 【分析】由已知条件结合事件的运算判断事件间的互斥、对立关系,根据 的关系判断 事件是否独立. 【详解】由 , , ,即 ,故A、B互斥,A错误; 由 ,A、D互斥且对立,B错误; 又 , ,则 ,C与D不互斥,C错误; 由 , , , 资料整理【淘宝店铺:向阳百分百】学科网(北京)股份有限公司所以 ,即A与C相互独立,D正确. 故选:D 2.甲罐中有5个红球,2个白球和3个黑球, 乙罐中有4个红球,3个白球和3个黑球(球除颜色外,大小 质地均相同).先从甲罐中随机取出一球放入乙罐,分别以 和 表示由甲罐中取出的球是红球,白球 和黑球的事件;再从乙罐中随机取出一球,以B表示由乙罐中取出的球是红球的事件.下列结论正确的个 数是( ) ①事件 与 相互独立; ② , , 是两两互斥的事件; ③ ; ④ ; ⑤ A.5 B.4 C.3 D.2 【答案】C 【分析】先判断出 , , 是两两互斥的事件,且不满足 ,①错误,②正确, 用条件概率求解③⑤,用全概率概率求解④,得出结论. 【详解】显然, , , 是两两互斥的事件,且 , ,而 ,①错误,②正确; , ,所以 ,③正确; ④正确; ,⑤错误,综上:结论正确个数为3. 资料整理【淘宝店铺:向阳百分百】学科网(北京)股份有限公司故选:C 3.甲、乙、丙三人相互做传球训练,第1次由甲将球传出,每次传球时,传球者都等可能地将球传给另外两 个人中的任何一人,则6次传球后球在甲手中的概率为( ) A. B. C. D. 【答案】A 【分析】设 次传球后球在甲手中的概率为 ,求出 ,根据题意求出数列 的递推公式,求出 的表达式,即可求得 的值. 【详解】设 次传球后球在甲手中的概率为 ,当 时, , 设 “ 次传球后球在甲手中”,则 , 则 . 即 , 所以, ,且 , 所以,数列 是以 为首项,以 为公比的等比数列, 所以, ,所以, , 所以 次传球后球在甲手中的概率为 . 故选:A 4.某教师准备对一天的五节课进行课程安排,要求语文、数学、外语、物理、化学每科分别要排一节课, 则数学不排第一节,物理不排最后一节的情况下,化学排第四节的概率是( ) A. B. C. D. 【答案】B 【分析】根据题设应用排列组合数求 {数学不排第一节,物理不排最后一节}、 {化学排第四节}的安排 资料整理【淘宝店铺:向阳百分百】学科网(北京)股份有限公司方法数,求出 、 ,应用条件概率公式求目标概率. 【详解】事件 :数学不排第一节,物理不排最后一节. 若物理安排在第一节,其它4节课安排4科,作全排有 种; 若物理不在第一节,中间3节课任选一节上物理,余下的4节课去掉第1节课的3节课中任选一节上数学, 最后剩下的3节课安排3科,做全排有 种; 综上,事件A的安排数有 种; 事件 :化学排第四节. 若物理安排在第一节,其它3节课安排3科,作全排有 种; 若物理不在第一节,中间前2节课任选一节上物理,余下的1节课和最后一节课任选一节上数学,最后剩 下的2节课安排2科,做全排有 种; 综上,事件B的安排数有 种; 5科任意排有 种,所以 , , 故满足条件的概率是 . 故选:B 二、多选题 5.甲、乙两人进行 局羽毛球比赛(无平局),每局甲获胜的概率均为 .规定:比赛结束时获胜局 数多的人赢得比赛.记甲赢得比赛的概率为 ,假设每局比赛互不影响,则( ) A. B. C. D. 单调递增 【答案】AD 资料整理【淘宝店铺:向阳百分百】学科网(北京)股份有限公司【分析】要使甲赢得比赛,则甲至少赢 局,据此根据独立事件概率计算方法和二项式定理的性质可求 P(n),由此可判断ABC,判断P(n+1)和P(n)的大小即可判断P(n)的单调性,从而判断D. 【详解】由题意知:要使甲赢得比赛,则甲至少赢 局, . ∵ , 又 , ∴ , ∴ ,故C错误; ∴ ,故A正确; ,故B错误; ∵ ,∴ , 又∵ , ∴ ,∴ ,即P(n)单调递增,故D正确. 故选:AD. 6.已知编号为1,2,3的三个盒子,其中1号盒子内装有两个1号球,一个2号球和一个3号球;2号盒 子内装有两个1号球,一个3号球;3号盒子内装有三个1号球,两个2号球.若第一次先从1号盒子内随 机抽取1个球,将取出的球放入与球同编号的盒子中,第二次从该盒子中任取一个球,则下列说法正确的 是( ) A.在第一次抽到2号球的条件下,第二次抽到1号球的概率为 B.第二次抽到3号球的概率为 C.如果第二次抽到的是3号球,则它来自1号盒子的概率最大 D.如果将5个不同的小球放入这三个盒子内,每个盒子至少放1个,则不同的放法有180种 资料整理【淘宝店铺:向阳百分百】学科网(北京)股份有限公司【答案】ABC 【分析】对于A,利用条件概率公式求解;对于B,利用全概率公式求解;对于C,利用贝叶斯公式求解; 对于D,不同元素的分配问题,先分份再分配即可求解. 【详解】记第一次抽到第 号球的事件分别为 则有 对于A,在第一次抽到2号球的条件下,将2号球放入2号盒子内,因此第二次抽到1号球的概率为 故A选项正确; 对于B,记第二次在第 号盒子内抽到3号球的事件分别为 而 两两互斥,和为 , 即第二次抽到3号球的事件为 , , 故B选项正确; 对于C,记第二次在第 号盒子内抽到3号球的事件分别为 而 两两互斥,和为 , 记第二次抽到3号球的事件为 , , 第二次的球取自盒子的编号与第一次取的球的号码相同, 即如果第二次抽到的是3号球,则它来自1号盒子的概率最大,故C选项正确; 资料整理【淘宝店铺:向阳百分百】学科网(北京)股份有限公司对于D,把5个不同的小球分成3组的不同分组方法数是 种,将每一种分组方法分成的小球放 在3个盒子中有 种不同方法,由分步乘法计数原理得不同的放法种数是 种,故D选 项错误; 故选:ABC. 7.一个不透明的袋子中装有大小形状完全相同的红、黄、蓝三种颜色的小球各一个,每次从袋子中随机 摸出一个小球,记录颜色后放回,当三种颜色的小球均被摸出过时就停止摸球.设 “第i次摸到红球”, “第i次摸到黄球”, “第i次摸到蓝球”, “摸完第i次球后就停止摸球”,则( ) A. B. C. , D. , 【答案】ACD 【分析】对选项AC,求出 包含的事件数为 ,从而得到 ,并计算出 ;选项B, 计算出 , ,利用条件概率公式计算出答案,选项D,得出 , ,和 , ,利用条件概率公式得到答案. 【详解】对于AC, “摸完第n次球后就停止摸球”,有放回的摸n次,有 种可能,若恰好摸球n 次就停止摸球,则恰好第n次三种颜色都被摸到,即前 次摸到2种颜色,第n次摸到第三种颜色, 共 种情况, 资料整理【淘宝店铺:向阳百分百】学科网(北京)股份有限公司则 , , ,AC正确; 对于B,事件 表示第一次摸到红球,摸到第4次,摸球结束, 若第2次或第3次摸到的球为红球,此时有 种情况,不妨设第2次摸到的球为红球, 则第3次和第4次摸到的球为蓝球或黄球,有2种可能,故有 种情况, 若第2次和第3次都没有摸到红球,则第2次和第3次摸到的球颜色相同,第4次摸到的球和第2,3次摸到 的球颜色不同,故有 种情况, 故 ,其中摸4次球可能的情况有 种,故 , 其中 ,故 ,B错误; 对于D, 表示“第 次摸到蓝球,第 次摸到黄球,第 次摸到红球,停止摸球”,则 前 次摸到的球是蓝球或黄球,故有 种可能,故 , , 表示“在前 次摸球中,第 次摸到蓝球,第 次摸到黄球”,故有 种可能, 故 , ,则 , ,D正确. 故选:ACD 【点睛】常见的条件概率处理方法,其一是用样本点数的比值处理,需要弄情况事件包含的样本点数,其 二是用概率的比值处理,也可以缩小样本空间,从而确定概率,解决实际问题的关键在于分析情况基本事 件. 三、填空题 8.如图,甲乙做游戏,两人通过划拳(剪刀、石头、布)比赛决胜谁首先登上第3个台阶,并规定从平地 开始,每次划拳赢的一方登上一级台阶,输的一方原地不动,平局时两人都上一个台阶.如果一方连续赢 两次,那么他将额外获得上一级台阶的奖励,除非已经登上第3个台阶,当有任何一方登上第3个台阶时 资料整理【淘宝店铺:向阳百分百】学科网(北京)股份有限公司游戏结束,则游戏结束时恰好划拳3次的概率为 . 【答案】 【分析】不妨假设游戏结束时恰好划拳3次时是甲登上第3个台阶,考虑所有可能的情况,同时考虑到也 可能是划拳3次恰好是乙登上第3个台阶,根据独立事件乘法公式和互斥事件的加法公式,即可求得答案. 【详解】设事件“第 次划拳甲赢”为 ,事件“第 次划拳甲平局”为 , 事件“第 次划拳甲输”为 , 则 ; 故 , 故答案为: 【点睛】难点点睛:解答本题的难点在于考虑清楚游戏结束时恰好划拳3次的所有可能情况,要注意到最 终登上第3个台阶的人在第2次划拳时不能输. 9.现有一款闯关游戏,共有4关,规则如下:在第 关要抛掷骰子 次,每次观察向上面的点数并做记录, 如果这n次抛掷所出现的点数之和大于 ,则算闯过第 关, ,2,3,4.假定每次闯关互不影响, 则下列结论错误的序号是 . (1)直接挑战第2关并过关的概率为 ; (2)连续挑战前两关并过关的概率为 ; 资料整理【淘宝店铺:向阳百分百】学科网(北京)股份有限公司(3)若直接挑战第3关,设A=“三个点数之和等于15”,B=“至少出现一个5点”,则 ; (4)若直接挑战第4关,则过关的概率是 . 【答案】(2) 【分析】由古典概型,独立事件的乘法公式,条件概率公式对结论逐一判断 【详解】对于(1), ,所以两次点数之和应大于6, 即直接挑战第2关并过关的概率为 ,故(1)正确; 对于(2), ,所以挑战第1关通过的概率 , 则连续挑战前两关并过关的概率为 ,故(2)错误; 对于(3),由题意可知,抛掷3次的基本事件有 , 抛掷3次至少出现一个5点的事件共有 种, 故 ,而事件 包括:含5,5,5的1种,含4,5,6的有6种,共7种, 故 ,所以 ,故(3)正确; 对于(4),当 时, , 而“4次点数之和大于20”包含以下35种情况: 含5,5,5,6的有4种,含5,5,6,6的有6种, 含6,6,6,6的有1种,含4,6,6,6的有4种, 含5,6,6,6的有4种,含4,5,6,6的有12种, 含3,6,6,6的有4种, 所以 ,故(4)正确. 故答案为:(2) 10.现有n( , )个相同的袋子,里面均装有n个除颜色外其他无区别的小球,第k( , 2,3,…,n)个袋中有k个红球, 个白球.现将这些袋子混合后,任选其中一个袋子,并且从中连续 资料整理【淘宝店铺:向阳百分百】学科网(北京)股份有限公司取出三个球(每个取后不放回),若第三次取出的球为白球的概率是 ,则 . 【答案】8 【分析】方法一:根据古典概型性质,先计算出某一情况下取球方法数的总数,在列举出第三次取球为白 球的情形以及对应的取法数,根据古典概型计算概率,最后逐一将所有情况累加即可得出总概率,最后即 可得到答案. 【详解】方法一:设选出的是第k个袋,连续三次取球的方法数为 , 第三次取出的是白球的取法有如下四种情形: 白白白,取法数为: 红白白,取法数为: 白红白,取法数为: 红红白:取法数为: 所以第三次取出的是白球的总情形数为: 则在第k个袋子中取出的是白球的概率为: , 因为选取第k个袋的概率为 ,故任选袋子取第三个球是白球的概率为: 当 时, . 故答案为:8. 方法二:设 “取出第 个袋子”, “从袋子中连续取出三个球,第三次取出的球为白球”, 则 ,且 , , , 两两互斥, , , ,所以 , 所以, ,即 ,解得: . 资料整理【淘宝店铺:向阳百分百】学科网(北京)股份有限公司故答案为: . 【点睛】思路点睛:本题为无放回型概率问题 根据题意首先分类讨论不同k值情况下的抽取总数(可直接用k值表示一般情况) 再列出符合题意得情况(此处涉及排列组合中先分类再分组得思想) 最后即可计算得出含k的概率一般式,累加即可. 累加过程中注意式中n与k的关系可简化累加步骤. 四、解答题 11.双淘汰赛制是一种竞赛形式,比赛一般分两个组进行,即胜者组与负者组.在第一轮比赛后,获胜者编 入胜者组,失败者编入负者组继续比赛,之后的每一轮,在负者组中的失败者将被淘汰;胜者组的情况也 类似,只是失败者仅被淘汰出胜者组降入负者组,只有在负者组中再次失败后才会被淘汰出整个比赛.A、 B、C、D四人参加的双淘汰赛制的流程如图所示,其中第6场比赛为决赛. (1)假设四人实力旗鼓相当,即各比赛每人的胜率均为50%,求: ①A获得季军的概率; ②D成为亚军的概率; (2)若A的实力出类拔萃,有4人参加的比赛其胜率均为75%,其余三人实力旗鼓相当,求D进入决赛且先 前与对手已有过招的概率. 【答案】(1)① ;② (2) 【分析】(1)①分析 第一轮比赛后所在组,再确定后续比赛的胜负情况使A获得季军,应用独立事件 的乘法公式求概率即可. ②分D首场笔试胜利和失败两种情况讨论,由全概率公式可得. (2)可通过分类把复杂事件分为几个容易分析的事件,再解决问题. 资料整理【淘宝店铺:向阳百分百】学科网(北京)股份有限公司【详解】(1)假设四人实力旗鼓相当,即各比赛每人的胜率均为50%,即概率为 , ①由题意,第一轮比赛 一组, 一组, 要A获得季军,则 进入胜者组,后续连败两轮,或 进入负者组,后续两轮先胜后败, 所以A获得季军的概率为 . ②设 表示队伍D在比赛 中胜利, 表示队伍D所参加的比赛 中失败, 事件 :队伍D获得亚军有三种情况: , 得 (2)由题意,A获胜的概率为 ,B、C、D之间获胜的概率均为 , 要使D进入决赛且先前与对手已有过招,可分为两种情况: ①若A与D在决赛中相遇,分为A:1胜,3胜,D:1负4胜5胜,或A:1负4胜5胜,D:1胜,3胜, 概率为 ; ②若B与D决赛相遇,D:1胜,3胜,B:2胜3负5胜,或D:1胜,3负,5胜,B:2胜3胜, 概率为 , ③若C与D决赛相遇,同B与D在决赛中相遇, 概率为 ; 所以D进入决赛且先前与对手已有过招的概率 . 12.某游戏中的角色“突击者”的攻击有一段冷却时间(即发动一次攻击后需经过一段时间才能再次发动 攻击).其拥有两个技能,技能一是每次发动攻击后有 的概率使自己的下一次攻击立即冷却完毕并直接发 动,该技能可以连续触发,从而可能连续多次跳过冷却时间持续发动攻击;技能二是每次发动攻击时有 的概率使得本次攻击以及接下来的攻击的伤害全部变为原来的2倍,但是多次触发时效果不可叠加(相当 资料整理【淘宝店铺:向阳百分百】学科网(北京)股份有限公司于多次触发技能二时仅得到第一次触发带来的2倍伤害加成).每次攻击发动时先判定技能二是否触发,再 判定技能一是否触发.发动一次攻击并连续多次触发技能一而带来的连续攻击称为一轮攻击,造成的总伤害 称为一轮攻击的伤害.假设“突击者”单次攻击的伤害为1,技能一和技能二的各次触发均彼此独立: (1)当“突击者”发动一轮攻击时,记事件A为“技能一和技能二的触发次数之和为2”,事件B为“技能一 和技能二各触发1次”,求条件概率 (2)设n是正整数,“突击者”一轮攻击造成的伤害为 的概率记为 ,求 . 【答案】(1) ; (2) . 【分析】(1)分析试验过程,分别求出 和 ,利用条件概率的公式直接计算; (2)分析 “突击者”一轮攻击造成的伤害为 ,分为:i.进行 次,均不触发技能二;前面的 次触 发技能一,最后一次不触发技能一;ii.第一次触发技能二,然后的 次触发技能一,第 次未触发技能 一;iii. 前面的 次未触发技能二,然后接着的第 次触发技能二;前面的 触发 技能一,第 次未触发技能一. 分别求概率.即可求出 . 【详解】(1)两次攻击,分成下列情况:i.第一次攻击,技能一和技能二均触发,第二次攻击,技能一和 技能二均未触发;ii .第一次攻击,技能一触发,技能二未触发,第二次攻击,技能二触发,技能一未触发; iii. 第一、二次攻击,技能一触发,技能二未触发,第三次攻击,技能一、二未触发; 所以 . . 所以 . (2)“突击者”一轮攻击造成的伤害为 ,分为: 资料整理【淘宝店铺:向阳百分百】学科网(北京)股份有限公司i. 记事件D:进行 次,均不触发技能二;前面的 次触发技能一,最后一次不触发技能一.其概率为: ii. 记事件E:第一次触发技能二,然后的 次触发技能一,第 次未触发技能一.其概率为: iii. 记事件 :前面的 次未触发技能二,然后接着的第 次触发技能二;前面的 触发技能一,第 次未触发技能一. 其概率为: , 则事件 彼此互斥,记 , 所以 . 所以 资料整理【淘宝店铺:向阳百分百】学科网(北京)股份有限公司【点睛】关键点睛:这道题关键的地方是题意的理解,文字较多,要明白一轮攻击中含多次攻击,每次攻 击判断技能的触发,在第二问中需要分多种情况进行讨论,然后用互斥事件的概率计算公式进行求解 资料整理【淘宝店铺:向阳百分百】学科网(北京)股份有限公司