当前位置:首页>文档>解答题:圆锥曲线的综合应用(10大题型)(解析版)_2025年新高考资料_一轮复习_备战2025年高考数学一轮复习考点帮_备战2025年高考数学一轮复习考点帮(新高考通用)(完结)

解答题:圆锥曲线的综合应用(10大题型)(解析版)_2025年新高考资料_一轮复习_备战2025年高考数学一轮复习考点帮_备战2025年高考数学一轮复习考点帮(新高考通用)(完结)

  • 2026-04-21 01:00:44 2026-04-21 01:00:44

文档预览

解答题:圆锥曲线的综合应用(10大题型)(解析版)_2025年新高考资料_一轮复习_备战2025年高考数学一轮复习考点帮_备战2025年高考数学一轮复习考点帮(新高考通用)(完结)
解答题:圆锥曲线的综合应用(10大题型)(解析版)_2025年新高考资料_一轮复习_备战2025年高考数学一轮复习考点帮_备战2025年高考数学一轮复习考点帮(新高考通用)(完结)
解答题:圆锥曲线的综合应用(10大题型)(解析版)_2025年新高考资料_一轮复习_备战2025年高考数学一轮复习考点帮_备战2025年高考数学一轮复习考点帮(新高考通用)(完结)
解答题:圆锥曲线的综合应用(10大题型)(解析版)_2025年新高考资料_一轮复习_备战2025年高考数学一轮复习考点帮_备战2025年高考数学一轮复习考点帮(新高考通用)(完结)
解答题:圆锥曲线的综合应用(10大题型)(解析版)_2025年新高考资料_一轮复习_备战2025年高考数学一轮复习考点帮_备战2025年高考数学一轮复习考点帮(新高考通用)(完结)
解答题:圆锥曲线的综合应用(10大题型)(解析版)_2025年新高考资料_一轮复习_备战2025年高考数学一轮复习考点帮_备战2025年高考数学一轮复习考点帮(新高考通用)(完结)
解答题:圆锥曲线的综合应用(10大题型)(解析版)_2025年新高考资料_一轮复习_备战2025年高考数学一轮复习考点帮_备战2025年高考数学一轮复习考点帮(新高考通用)(完结)
解答题:圆锥曲线的综合应用(10大题型)(解析版)_2025年新高考资料_一轮复习_备战2025年高考数学一轮复习考点帮_备战2025年高考数学一轮复习考点帮(新高考通用)(完结)
解答题:圆锥曲线的综合应用(10大题型)(解析版)_2025年新高考资料_一轮复习_备战2025年高考数学一轮复习考点帮_备战2025年高考数学一轮复习考点帮(新高考通用)(完结)
解答题:圆锥曲线的综合应用(10大题型)(解析版)_2025年新高考资料_一轮复习_备战2025年高考数学一轮复习考点帮_备战2025年高考数学一轮复习考点帮(新高考通用)(完结)
解答题:圆锥曲线的综合应用(10大题型)(解析版)_2025年新高考资料_一轮复习_备战2025年高考数学一轮复习考点帮_备战2025年高考数学一轮复习考点帮(新高考通用)(完结)
解答题:圆锥曲线的综合应用(10大题型)(解析版)_2025年新高考资料_一轮复习_备战2025年高考数学一轮复习考点帮_备战2025年高考数学一轮复习考点帮(新高考通用)(完结)
解答题:圆锥曲线的综合应用(10大题型)(解析版)_2025年新高考资料_一轮复习_备战2025年高考数学一轮复习考点帮_备战2025年高考数学一轮复习考点帮(新高考通用)(完结)
解答题:圆锥曲线的综合应用(10大题型)(解析版)_2025年新高考资料_一轮复习_备战2025年高考数学一轮复习考点帮_备战2025年高考数学一轮复习考点帮(新高考通用)(完结)
解答题:圆锥曲线的综合应用(10大题型)(解析版)_2025年新高考资料_一轮复习_备战2025年高考数学一轮复习考点帮_备战2025年高考数学一轮复习考点帮(新高考通用)(完结)
解答题:圆锥曲线的综合应用(10大题型)(解析版)_2025年新高考资料_一轮复习_备战2025年高考数学一轮复习考点帮_备战2025年高考数学一轮复习考点帮(新高考通用)(完结)
解答题:圆锥曲线的综合应用(10大题型)(解析版)_2025年新高考资料_一轮复习_备战2025年高考数学一轮复习考点帮_备战2025年高考数学一轮复习考点帮(新高考通用)(完结)
解答题:圆锥曲线的综合应用(10大题型)(解析版)_2025年新高考资料_一轮复习_备战2025年高考数学一轮复习考点帮_备战2025年高考数学一轮复习考点帮(新高考通用)(完结)
解答题:圆锥曲线的综合应用(10大题型)(解析版)_2025年新高考资料_一轮复习_备战2025年高考数学一轮复习考点帮_备战2025年高考数学一轮复习考点帮(新高考通用)(完结)
解答题:圆锥曲线的综合应用(10大题型)(解析版)_2025年新高考资料_一轮复习_备战2025年高考数学一轮复习考点帮_备战2025年高考数学一轮复习考点帮(新高考通用)(完结)
解答题:圆锥曲线的综合应用(10大题型)(解析版)_2025年新高考资料_一轮复习_备战2025年高考数学一轮复习考点帮_备战2025年高考数学一轮复习考点帮(新高考通用)(完结)
解答题:圆锥曲线的综合应用(10大题型)(解析版)_2025年新高考资料_一轮复习_备战2025年高考数学一轮复习考点帮_备战2025年高考数学一轮复习考点帮(新高考通用)(完结)
解答题:圆锥曲线的综合应用(10大题型)(解析版)_2025年新高考资料_一轮复习_备战2025年高考数学一轮复习考点帮_备战2025年高考数学一轮复习考点帮(新高考通用)(完结)
解答题:圆锥曲线的综合应用(10大题型)(解析版)_2025年新高考资料_一轮复习_备战2025年高考数学一轮复习考点帮_备战2025年高考数学一轮复习考点帮(新高考通用)(完结)
解答题:圆锥曲线的综合应用(10大题型)(解析版)_2025年新高考资料_一轮复习_备战2025年高考数学一轮复习考点帮_备战2025年高考数学一轮复习考点帮(新高考通用)(完结)
解答题:圆锥曲线的综合应用(10大题型)(解析版)_2025年新高考资料_一轮复习_备战2025年高考数学一轮复习考点帮_备战2025年高考数学一轮复习考点帮(新高考通用)(完结)
解答题:圆锥曲线的综合应用(10大题型)(解析版)_2025年新高考资料_一轮复习_备战2025年高考数学一轮复习考点帮_备战2025年高考数学一轮复习考点帮(新高考通用)(完结)
解答题:圆锥曲线的综合应用(10大题型)(解析版)_2025年新高考资料_一轮复习_备战2025年高考数学一轮复习考点帮_备战2025年高考数学一轮复习考点帮(新高考通用)(完结)
解答题:圆锥曲线的综合应用(10大题型)(解析版)_2025年新高考资料_一轮复习_备战2025年高考数学一轮复习考点帮_备战2025年高考数学一轮复习考点帮(新高考通用)(完结)
解答题:圆锥曲线的综合应用(10大题型)(解析版)_2025年新高考资料_一轮复习_备战2025年高考数学一轮复习考点帮_备战2025年高考数学一轮复习考点帮(新高考通用)(完结)
解答题:圆锥曲线的综合应用(10大题型)(解析版)_2025年新高考资料_一轮复习_备战2025年高考数学一轮复习考点帮_备战2025年高考数学一轮复习考点帮(新高考通用)(完结)
解答题:圆锥曲线的综合应用(10大题型)(解析版)_2025年新高考资料_一轮复习_备战2025年高考数学一轮复习考点帮_备战2025年高考数学一轮复习考点帮(新高考通用)(完结)
解答题:圆锥曲线的综合应用(10大题型)(解析版)_2025年新高考资料_一轮复习_备战2025年高考数学一轮复习考点帮_备战2025年高考数学一轮复习考点帮(新高考通用)(完结)
解答题:圆锥曲线的综合应用(10大题型)(解析版)_2025年新高考资料_一轮复习_备战2025年高考数学一轮复习考点帮_备战2025年高考数学一轮复习考点帮(新高考通用)(完结)
解答题:圆锥曲线的综合应用(10大题型)(解析版)_2025年新高考资料_一轮复习_备战2025年高考数学一轮复习考点帮_备战2025年高考数学一轮复习考点帮(新高考通用)(完结)
解答题:圆锥曲线的综合应用(10大题型)(解析版)_2025年新高考资料_一轮复习_备战2025年高考数学一轮复习考点帮_备战2025年高考数学一轮复习考点帮(新高考通用)(完结)
解答题:圆锥曲线的综合应用(10大题型)(解析版)_2025年新高考资料_一轮复习_备战2025年高考数学一轮复习考点帮_备战2025年高考数学一轮复习考点帮(新高考通用)(完结)
解答题:圆锥曲线的综合应用(10大题型)(解析版)_2025年新高考资料_一轮复习_备战2025年高考数学一轮复习考点帮_备战2025年高考数学一轮复习考点帮(新高考通用)(完结)
解答题:圆锥曲线的综合应用(10大题型)(解析版)_2025年新高考资料_一轮复习_备战2025年高考数学一轮复习考点帮_备战2025年高考数学一轮复习考点帮(新高考通用)(完结)
解答题:圆锥曲线的综合应用(10大题型)(解析版)_2025年新高考资料_一轮复习_备战2025年高考数学一轮复习考点帮_备战2025年高考数学一轮复习考点帮(新高考通用)(完结)
解答题:圆锥曲线的综合应用(10大题型)(解析版)_2025年新高考资料_一轮复习_备战2025年高考数学一轮复习考点帮_备战2025年高考数学一轮复习考点帮(新高考通用)(完结)
解答题:圆锥曲线的综合应用(10大题型)(解析版)_2025年新高考资料_一轮复习_备战2025年高考数学一轮复习考点帮_备战2025年高考数学一轮复习考点帮(新高考通用)(完结)
解答题:圆锥曲线的综合应用(10大题型)(解析版)_2025年新高考资料_一轮复习_备战2025年高考数学一轮复习考点帮_备战2025年高考数学一轮复习考点帮(新高考通用)(完结)
解答题:圆锥曲线的综合应用(10大题型)(解析版)_2025年新高考资料_一轮复习_备战2025年高考数学一轮复习考点帮_备战2025年高考数学一轮复习考点帮(新高考通用)(完结)
解答题:圆锥曲线的综合应用(10大题型)(解析版)_2025年新高考资料_一轮复习_备战2025年高考数学一轮复习考点帮_备战2025年高考数学一轮复习考点帮(新高考通用)(完结)
解答题:圆锥曲线的综合应用(10大题型)(解析版)_2025年新高考资料_一轮复习_备战2025年高考数学一轮复习考点帮_备战2025年高考数学一轮复习考点帮(新高考通用)(完结)
解答题:圆锥曲线的综合应用(10大题型)(解析版)_2025年新高考资料_一轮复习_备战2025年高考数学一轮复习考点帮_备战2025年高考数学一轮复习考点帮(新高考通用)(完结)
解答题:圆锥曲线的综合应用(10大题型)(解析版)_2025年新高考资料_一轮复习_备战2025年高考数学一轮复习考点帮_备战2025年高考数学一轮复习考点帮(新高考通用)(完结)
解答题:圆锥曲线的综合应用(10大题型)(解析版)_2025年新高考资料_一轮复习_备战2025年高考数学一轮复习考点帮_备战2025年高考数学一轮复习考点帮(新高考通用)(完结)
解答题:圆锥曲线的综合应用(10大题型)(解析版)_2025年新高考资料_一轮复习_备战2025年高考数学一轮复习考点帮_备战2025年高考数学一轮复习考点帮(新高考通用)(完结)
解答题:圆锥曲线的综合应用(10大题型)(解析版)_2025年新高考资料_一轮复习_备战2025年高考数学一轮复习考点帮_备战2025年高考数学一轮复习考点帮(新高考通用)(完结)
解答题:圆锥曲线的综合应用(10大题型)(解析版)_2025年新高考资料_一轮复习_备战2025年高考数学一轮复习考点帮_备战2025年高考数学一轮复习考点帮(新高考通用)(完结)
解答题:圆锥曲线的综合应用(10大题型)(解析版)_2025年新高考资料_一轮复习_备战2025年高考数学一轮复习考点帮_备战2025年高考数学一轮复习考点帮(新高考通用)(完结)
解答题:圆锥曲线的综合应用(10大题型)(解析版)_2025年新高考资料_一轮复习_备战2025年高考数学一轮复习考点帮_备战2025年高考数学一轮复习考点帮(新高考通用)(完结)
解答题:圆锥曲线的综合应用(10大题型)(解析版)_2025年新高考资料_一轮复习_备战2025年高考数学一轮复习考点帮_备战2025年高考数学一轮复习考点帮(新高考通用)(完结)
解答题:圆锥曲线的综合应用(10大题型)(解析版)_2025年新高考资料_一轮复习_备战2025年高考数学一轮复习考点帮_备战2025年高考数学一轮复习考点帮(新高考通用)(完结)
解答题:圆锥曲线的综合应用(10大题型)(解析版)_2025年新高考资料_一轮复习_备战2025年高考数学一轮复习考点帮_备战2025年高考数学一轮复习考点帮(新高考通用)(完结)
解答题:圆锥曲线的综合应用(10大题型)(解析版)_2025年新高考资料_一轮复习_备战2025年高考数学一轮复习考点帮_备战2025年高考数学一轮复习考点帮(新高考通用)(完结)
解答题:圆锥曲线的综合应用(10大题型)(解析版)_2025年新高考资料_一轮复习_备战2025年高考数学一轮复习考点帮_备战2025年高考数学一轮复习考点帮(新高考通用)(完结)
解答题:圆锥曲线的综合应用(10大题型)(解析版)_2025年新高考资料_一轮复习_备战2025年高考数学一轮复习考点帮_备战2025年高考数学一轮复习考点帮(新高考通用)(完结)
解答题:圆锥曲线的综合应用(10大题型)(解析版)_2025年新高考资料_一轮复习_备战2025年高考数学一轮复习考点帮_备战2025年高考数学一轮复习考点帮(新高考通用)(完结)
解答题:圆锥曲线的综合应用(10大题型)(解析版)_2025年新高考资料_一轮复习_备战2025年高考数学一轮复习考点帮_备战2025年高考数学一轮复习考点帮(新高考通用)(完结)
解答题:圆锥曲线的综合应用(10大题型)(解析版)_2025年新高考资料_一轮复习_备战2025年高考数学一轮复习考点帮_备战2025年高考数学一轮复习考点帮(新高考通用)(完结)
解答题:圆锥曲线的综合应用(10大题型)(解析版)_2025年新高考资料_一轮复习_备战2025年高考数学一轮复习考点帮_备战2025年高考数学一轮复习考点帮(新高考通用)(完结)
解答题:圆锥曲线的综合应用(10大题型)(解析版)_2025年新高考资料_一轮复习_备战2025年高考数学一轮复习考点帮_备战2025年高考数学一轮复习考点帮(新高考通用)(完结)
解答题:圆锥曲线的综合应用(10大题型)(解析版)_2025年新高考资料_一轮复习_备战2025年高考数学一轮复习考点帮_备战2025年高考数学一轮复习考点帮(新高考通用)(完结)

文档信息

文档格式
docx
文档大小
2.127 MB
文档页数
62 页
上传时间
2026-04-21 01:00:44

文档内容

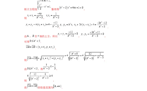
解答题:圆锥曲线的综合应用 题型一:最值问题 (24-25高三上·福建福州·月考)已知椭圆 经过点 ,右焦点为 (1)求椭圆 的方程; (2)若直线 与 交于 两点,且直线 与 的斜率互为相反数,求 的中点 与 的最小距离. 【答案】(1) ;(2) 【解析】(1)由已知可得 ,解得 ; 所以椭圆 的方程为 . (2)由于直线 与 的斜率互为相反数, 不妨设直线 的斜率为 ,则直线 的斜率为 , ; 则直线 的方程为 ,如下图所示:联立 ,整理可得 , 可得 ,又 ,可得 , 即 , 同理用 代替 可得 ; 因此可得 的中点 ,因此可得 , 所以可得点 在直线 上, 可得点 与 的最小距离即为点 到直线 的距离 , 当且仅当 时,取得最小值. 求最值及问题常用的两种方法: (1)几何法:题中给出的条件有明显的几何特征,则考虑用几何图形性质来解决; (2)代数法:题中所给出的条件和结论的几何特征不明显,则可以建立目标函数,再求该函数的最值, 求函数的最值常见的方法有基本不等式法、单调性法、导数法和三角换元法等。 1.(24-25高三上·贵州黔东南·开学考试)已知双曲线 : 的一个焦点与抛物线 : 的焦点 重合,且 被 的准线 截得的弦长为 . (1)求 的方程; (2)若过 的直线与 的上支交于 , 两点,设 为坐标原点,求 的取值范围. 【答案】(1) ;(2) 【解析】(1)由题可知, 的坐标为 ,则 .易知 的方程为 ,不妨设 与 相交于点 , , 则 ,整理得 , 则 ,可得 故 的方程为 . (2)由题可知,直线 的斜率一定存在, 设 : , , ,则 , . 联立方程组 整理得 , 则 , , . 由 , 在 轴的上方,所以 , , 可得 . , 则 . 由 ,得 , 则 , 故 的取值范围为 . 2.(24-25高三上·四川成都·期中)已知抛物线 : 经过点 ,直线 : 与 的交点为A,B,且直线 与 倾斜角互补.(1)求抛物线在点 处的切线方程; (2)求 的值; (3)若 ,求 面积的最大值. 【答案】(1) ;(2) ;(3) 【解析】(1)由题意可知, ,所以 ,所以抛物线 的方程为 , 即 ,则 , 则抛物线在P点的切线斜率为 , 则切线方程为 , 故切线方程为 . (2)如图所示: 设 , ,将直线 的方程代入 , 得 ,所以 , , 因为直线 与 倾斜角互补, 所以 , 即 , 所以 , 即 ,所以 . (3)由(1)(2)可知, ,所以 , , 则 , 因为 ,所以 ,即 , 又点 到直线 的距离为 , 所以 , 因为 , 所以 ,当且仅当 ,即 时,等号成立,所以 面积最大值为 . 题型二:参数范围问题 (23-24高三下·全国·模拟预测)已知椭圆 . (1)若椭圆 的左右焦点分别为 为 的上顶点,求 的周长; (2)设过定点 的直线 与椭圆 交于不同的两点 ,且 为锐角(其中 为坐标原点),求 直线 的斜率 的取值范围. 【答案】(1) ;(2) 【解析】(1)由题意得 , 所以 , 所以 的周长为 ; (2)显然 不满足题意,设直线 的方程为 , 由 ,得 , 由 ,得 , 则 , , 因为 为锐角, 不共线,所以 , 所以 ,所以 , 所以 , 解得 , 因为 ,所以解得 或 , 所以实数 的取值范围为圆锥曲线的取范围问题 1、利用圆锥曲线的几何性质或判别式构造不等关系,从而确定参数的取值范围; 2、利用已知参数的范围,求新参数的范围,解这类问题的核心是建立两个参数之间的等量关系; 3、利用隐含的不等关系建立不等式,从而求出参数的取值范围; 4、利用已知的不等关系构造不等式,从而求出参数的取值范围; 5、利用求函数的值域的方法将待求量表示为其他变量的函数,求其值域,从而确定参数的取值范围. 1.(23-24高三下·江苏苏州·月考)在平面直角坐标系 中,已知动点 到定点 的距离和它 到定直线 的距离之比为 ,记 的轨迹为曲线 . (1)求 的方程; (2)已知点 ,不过 的直线 与 交于 , 两点,直线 , , 的斜率依次成等比数列,求 到 距离的取值范围. 【答案】(1) ;(2) . 【解析】(1)设 ,由题意得 , 化简得 ,所以 : . (2)由题意,直线 的斜率存在且不为0, 设直线 的方程为 ( ), , .联立 ,得 , 所以 , 因为 ,即 ,所以 , 所以 ,又 ,所以 , 所以 ,所以 . 所以点 到直线 的距离 , 令 ,则 , 代入 ,即 ,解得 . 所以 , . 当 时, 恒成立, 所以 在区间 单调递增, 所以 ,即点 到直线 的距离的取值范围为 . 2.(24-25高三上·湖南·开学考试)已知抛物线 的焦点为 ,点 在抛物线 上,且 .(1)求抛物线 的标准方程; (2)抛物线的准线与 轴交于点 ,过 的直线 交抛物线 于 两点,且 ,点 为线段 的垂直平分线与 轴的交点,求点 的横坐标 的取值范围. 【答案】(1) ;(2) . 【解析】(1)因为 在拋物线 上,所以 , 得 ; 因为 ,所以 ,即 ,解得 , 所以抛物线 的标准方程为 . (2)易知抛物线的准线为 ,则可得 ; 设 ,由 可得 , 如下图所示: 设直线 ,代入到 中得 , 所以 ,即可得 , 联立两式并整理可得 , 又 由 可得 递增,即有 ,即 , 又 中点坐标为 , 可得直线 的垂直平分线的方程为 , 令 ,可得 , 所以点 的横坐标 的取值范围为 .题型三:定值问题 (24-25高三上·贵州毕节·期中)已知椭圆 的焦距为4, 为椭圆 上一点. (1)求椭圆 的标准方程; (2)设 为椭圆 的左焦点,直线 , 为椭圆上任意一点,点 到 的距离为 ,点 到 的距离 为 ,若 为定值,求此定值及 的值. 【答案】(1) ;(2) 【解析】(1)由椭圆 的焦距为4,可得 ,解得 , 所以 ①,又椭圆经过点 ,所以 ②, 由①②解得 ,所以椭圆 的标准方程为 ; (2)设 ,所以 ,所以 , 因为 为椭圆的左焦点,所以其坐标为 ,直线 , 点 到 的距离为 ,点 到 的距离为 , 若 为定值,则 为定值 对 恒成立, 即 为定值 对 恒成立, 所以 为定值 对 恒成立, 即 为定值 对 恒成立, 所以 ,解得 , 所以 为定值 ,此时 的值为 .圆锥曲线的定值问题 (1)解析几何中的定值问题是指某些几何量(线段长度,图形面积,角度,直线的斜率等)的大小或某 些代数表达式的值和题目中的参数无关,不依参数的变化而变化,而始终是一个确定的值, 求定值问题常见的解题方法有两种: 法一、先猜后证(特例法):从特殊入手,求出定值,再证明这个定值与变量无关; 法二、引起变量法(直接法):直接推理、计算,并在计算推理过程中消去参数,从而得到定值。 (2)直接法解题步骤 第一步设变量:选择适当的量当变量,一般情况先设出直线的方程: 或 、点的坐 标; 第二步表示函数:要把证明为定值的量表示成上述变量的函数,一般情况通过题干所给的已知条件,进 行正确的运算,将需要用到的所有中间结果(如弦长、距离等)用引入的变量表示出来; 第三步定值:将中间结果带入目标量,通过计算化简得出目标量与引入的变量无关,是一个常数。 1.(24-25高三上·湖北武汉·开学考试)已知曲线 上的点到点 的距离比到直线 的距离小 为坐标原点.直线 过定点 . (1)直线 与曲线 仅有一个公共点,求直线 的方程; (2)曲线 与直线 交于 两点,试分别判断直线 的斜率之和、斜率之积是否为定值?并说明理 由. 【答案】(1) 或 或 ;(2)斜率之和为定值、斜率之积不是定值 【解析】(1)曲线 上的点到点 的距离比到直线 的距离小 , 故曲线 上的点到点 的距离与到直线 的距离相等, 故曲线 为以 为焦点,直线 为准线的抛物线, 即有 , 过点 的直线 与抛物线 仅有一个公共点, 若直线 可能与抛物线 的对称轴平行时,则有: , 若直线 与抛物线 相切时,易知: 是其中一条直线, 另一条直线与抛物线 上方相切时,不妨设直线 的斜率为 ,设为 , 联立 可得: , 则有: ,解得: , 故此时的直线 的方程为: ,综上,直线 的方程为: 或 或 ; (2)若 与 交于 两点,分别设其坐标为 ,且 , 由(1)可知直线 要与抛物线 有两个交点,则直线 的斜率存在且不为0, 不妨设直线 的斜率为 ,则有: , 联立直线 与抛物线 可得: ,可得: , 即有 , 根据韦达定理可得: , 则有: , 则 ,故为定值; 故不为定值; 综上: 为定值 不为定值. 2.(24-25高三上·甘肃张掖·模拟预测)已知双曲线 的焦距为8,右焦点为 , 直线 与双曲线在一、三象限的交点分别为 ,且 . (1)求双曲线 的方程及 的面积; (2)直线 与双曲线 交于 两点,若直线 与 轴分别交于点 ,且 .证明: 为定值. 【答案】(1) , 的面积为 ;(2) 【解析】(1)由于 ,故 , 又 ,且 关于 对称,所以 ,因此 , 在 中, , 取椭圆左焦点 ,连接 ,根据对称性可得 , 由椭圆定义可得 ,即 , 由于 ,所以 ,进而可得 ,故双曲线方程为 , (2)设 , , , , 由(1)知 ,即 , 联立 与 的方程可得 则 , , 则直线 方程为 ,令 ,则 , 故 同理可得 , 由于 ,所以 在线段 的垂直平分线上,故 , 故 , , 化简得 代入韦达定理可得即 ,故 , 故 ,或 , 若 ,此时直线 经过定点 ,该点与 重合,不满足题意, 故 题型四:过定点问题 (24-25高三上·河南驻马店·开学考试)已知动圆P过点 ,并且与圆 外切,设动 圆 的圆心P的轨迹为C. (1)直线 与圆 相切于点Q,求 的值; (2)求曲线C的方程; (3)过点 的直线 与曲线C交于E,F两点,设直线 ,点 ,直线 交 于点M,证明直 线 经过定点,并求出该定点的坐标. 【答案】(1) ;(2) , ;(3)证明见解析,定点 【解析】(1)由直线与圆的位置关系可知, , 所以点 ; (2)由题意可知,设动圆半径为 , , , , 即 , 所以点 是以 为焦点的双曲线的右支, , ,则 , 所以曲线 的方程为 , ; (3)当直线 的斜率不存在时, , , 直线 ,当 ,得 ,即 ,直线 , 此时直线过点 ,当直线 的斜率存在时,设直线 , , , 直线 ,当 时, , , 联立 ,得 , , , , 下面证明直线 经过点 ,即证 , , 把 , 代入整理得 , 即 , 所以直线 经过点 , 综上可知,直线 经过定点,定点坐标为 . 圆锥曲线的定点问题 1、参数无关法:把直线或者曲线方程中的变量 , 当作常数看待,把方程一端化为零,既然是过定 点,那么这个方程就要对任意参数都成立,这时的参数的系数就要全部为零,这样就得到一个关于 , 的方程组,这个方程组的解所确定的点就是直线或曲线所过的定点。 2、特殊到一般法:根据动点或动直线、动曲线的特殊情况探索出定点,再证明该定点与变量无关。 3、关系法:对满足一定条件上的两点连结所得直线定点或满足一定条件的曲线过定点问题,可设直线 (或曲线)上两点的坐标,利用坐标在直线(或曲线)上,建立点的坐标满足方程(组),求出相应的 直线(或曲线),然后再利用直线(或曲线)过定点的知识求解。 1.(24-25高三上·湖北襄阳·月考)已知抛物线 与双曲线 的渐近线在第一象 限的交点为Q,且Q点的横坐标为3.(1)求抛物线E的方程; (2)过点 的直线l与抛物线E相交于 两点,B关于x轴的对称点为 ,求证:直线 必过定 点. 【答案】(1) ;(2)证明见解析 【解析】(1)设点 的坐标为 ,因为点 在第一象限,所以 , 双曲线 的渐近线方程为 ,因为点 在双曲线的渐近线上,所以 , 所以点 的坐标为 ,又点 在抛物线 上,所以 ,所以 , 故抛物线 的标准方程为: ; (2)设直线 的方程为 ,联立 ,消 得, , 方程 的判别式 ,即 , 设 , ,则 , 因为点A、B在第一象限,所以 ,故 , 设B关于x轴的对称点为 , 则直线 的方程为 , 令 得: . 直线 过定点 . 2.(24-25高三上·天津北辰·期中)已知椭圆 : ( )的一个焦点为 ,其短轴长是 焦距的 倍,点 为椭圆上任意一点,且 的最大值为 . (1)求椭圆 的方程; (2)设动直线 : 与椭圆 有且只有一个公共点 ,且与直线 相交于点 .问: 轴上是否存 在定点 ,使得以 为直径的圆恒过定点 ?若存在,求出点 的坐标;若不存在,说明理由. 【答案】(1) ;(2)存在,定点 【解析】(1)依题意设焦距为 ,一个焦点为 , 因为点 为椭圆上任意一点,且 的最大值为 ,则 ,则 ,解得 (负值已舍去), 所以椭圆 的方程 ; (2)由 ,消元可得 , ∵动直线 与椭圆 有且只有一个公共点 ,设 , 且 , 即 , 化简得 , , 此时 , ,即 , 由 ,得 , 假设在 轴上存在定点 满足条件,设 , 则 对满足 式的 , 恒成立, , , 由 , 得 , 整理得 由于 式对满足 式的 恒成立, 所以 ,解得 , 故存在定点 ,使得以 为直径的圆恒过点 . 题型五:定直线问题 (24-25高三上·北京·月考)已知椭圆C: 的左、右焦点分别为 、 ,一个焦点为 ,P是椭圆上一动点(与左、右顶点不重合).已知 的面积的最大值为2. (1)求椭圆C的方程; (2)过点 且斜率不为0的直线l与椭圆C相交于M,N两点,椭圆长轴的两个端点分别为 , , 与 相交于点Q,求证:点Q在某条定直线上. 【答案】(1) ;(2)证明见解析 【解析】(1)由题意可得椭圆的半焦距 , ,所以 , 所以 , 所以椭圆C的方程为 ; (2)不妨设 , ,l的方程为 , 联立 ,得 , 恒成立, 设 , ,则 , 故 , , 又 的方程为 , 的方程为 , 联立两直线方程得 , 即 , 因为 ,所以 , 整理得 , 故点Q在定直线 上.解决圆锥曲线中动点在定直线问题的解题步骤: 1、联立直线与圆锥曲线的方程消元;2、挖掘图形中的对称性,解出动点横坐标或纵坐标;3、将动点的 横纵坐标分别用参数表示,再消去参数;4、设点,将方程变形解出定直线方程。 1.(23-24高三下·湖南长沙·三模)已知抛物线 ,过点 的直线 与 交于不同的 两点 .当直线 的倾斜角为 时, . (1)求 的方程; (2)在线段 上取异于点 的点 ,且满足 ,试问是否存在一条定直线,使得点 恒在这 条定直线上?若存在,求出该直线;若不存在,请说明理由. 【答案】(1) ;(2)点 恒在直线 上. 【解析】(1)设 . 若直线 的倾斜角为 ,则直线 的方程为 . 联立 得 , 则 , 且 , 所以 . 因为 ,所以 ,故 的方程为 . (2)存在,定直线为 . 由题意知直线 的斜率存在, 设直线 的方程为 , . 联立 得 . 由 ,得 且 , . 不妨设 ,则 , 过点 向 轴作垂线,垂足分别为点 ,如图所示, 则 , .因为 ,所以 , 整理得 ,所以 . 代入直线 的方程得 . 因为 ,所以点 恒在直线 上. 2.(24-25高三上·上海·期中)已知双曲线C的中心为坐标原点, 是 的两个焦点,其中左焦点为 ,离心率为 . (1)求 的方程; (2)双曲线 上存在一点 ,使得 ,求三角形 的面积; (3)记 的左、右顶点分别为 ,过点 的直线与 的左支交于M,N两点, 在第二象限,直 线 与 交于点 .证明:点 在定直线上. 【答案】(1) ;(2) ;(3)证明见解析 【解析】(1)设双曲线方程为 , 由左焦点坐标可知 , 则 ,可得 , , 双曲线方程为 . (2)由(1)知, , ,所以 , , 在 中,由余弦定理得 , 即 , 即 ,即 , 所以三角形 的面积为 . (3)证明:由(1)可得 ,设 , 显然直线 的斜率不为0,所以设直线 的方程为 ,且 ,联立 ,可得 , 且 , , 则 , 直线 的方程为 , 直线 的方程为 , 联立直线 与直线 的方程,消去 可得: , 由 ,可得 ,即 , 据此可得点 在定直线 上运动. 题型六:动点轨迹问题 (23-24高三下·湖南益阳·一模)已知两点 , 及一动点 ,直线 , 的斜率满足 ,动点 的轨迹记为 .过点 的直线 与 交于 , 两点,直线 , 交于点 . (1)求 的方程; (2)求 的面积的最大值; (3)求点 的轨迹方程. 【答案】(1) ;(2) ;(3) 【解析】(1)设动点 ,因为直线 , 的斜率满足 , ,化简整理得 . 所以轨迹 的方程为 . (2)设过点 的直线 的方程为: , , ,由 ,得 ,显然 . 则 , . . 令 ,则 , ,所以 . 设 ,则 , 所以当 时, ,则 在 单调递减, 所以 的最大值为 , 即 , 时, 的面积取最大值 . (3)由已知可设直线 的方程为 ,即 , 直线 的方程为 ,即 , 消去 ,得 ,显然 , ,(*) 由(2),得 , , , , 所以(*)式可化为 , ,即 . 显然 ,否则 重合,不合题设, 所以点 的轨迹方程为 .求解动点 的轨迹方程的常见方法: (1)定义法:如果动点 的运动规律符合我们已知的某种曲线(如圆、椭圆、双曲线、抛物线)的定 义,则可先设出轨迹方程,再根据已知条件待定方程中的参数,即可求得轨迹方程; (2)直接法:如果动点 的运动规律满足的等量关系容易建立,则可用点 的坐标 表示该等量关 系,即可得轨迹方程; (3)相关点法:如果动点 的运动是由另外一点 的运动引发的,而点 的运动规律已知(坐标满足 某已知的曲线方程),则用点 的坐标 表示出相关点 的坐标,然后将点 的坐标代入已知曲线 方程,即可得到点 的轨迹方程; (4)交轨消参法:在求动点轨迹时,有时会出现要求两动曲线交点的轨迹问题,这类问题通常通过解方 程组得出交点(含参数)的坐标,再消去参数求得所求的轨迹方程. 1.(23-24高三下·江西抚州·月考)在平面直角坐标系 中,已知双曲线 经过点 ,点 与点 关于原点对称, 为 上一动点,且 异于 两点. (1)求 的离心率; (2)若△ 的重心为 ,点 ,求 的最小值; (3)若△ 的垂心为 ,求动点 的轨迹方程. 【答案】(1) ;(2) ;(3) (去除点 ). 【解析】(1)因为双曲线 经过点 ,所以 ,解得 , 所以 的离心率 , (2)易知 .设 . 因为△ 的重心为 ,所以 ,解得 , 因为 ,所以 ,即 . 因为 不共线,所以 且 , 所以 的轨迹不含 两点. 故 ,当且仅当 时,等号成立,即 的最小值为 . (3)因为 为△ 的垂心,所以 , 设 , 当直线 或 的斜率为0时,点 的坐标为 或 , 此时点 与点 重合,不合题意,舍. 当直线 或 的斜率不为0时,直线 与 的斜率存在, 则 , 由(2)知 ,则 , 则 . 因为 ,所以 , ,则 ,得 , 则 ,因为 构成三角形,故 不能在轨迹上, 综上,动点 的轨迹方程为 (去除点 ). 2.(23-24高三下·安徽合肥·模拟预测)图1为一种卫星信号接收器,该接收器的曲面与其轴截面的交线 为抛物线的一部分,已知该接收器的口径 ,深度 ,信号处理中心 位于抛物线的焦点 处,以顶点 为坐标原点,以直线 为 轴建立如图2所示的平面直角坐标系 .(1)求该抛物线的方程; (2)设 是该抛物线的准线与 轴的交点,直线 过点 ,且与抛物线交于 , 两点,若线段 上有一 点 ,满足 ,求点 的轨迹方程. 【答案】(1) ;(2) , 【解析】(1)设抛物线的方程为 . 因为 , ,所以点 在抛物线上, 所以 ,故 ,所以抛物线的方程为 . (2) 如图,由(1)知 . 设直线 : , , , , 由 可得 , 由 ,得 ,且 , , . 分别过点 作 轴的垂线与过点 的 轴的垂线交于点 ,显然 , 则有 ,同理有,由 可得 , 整理得 . 又 时, ,因 ,且 ,故有 即点 的轨迹方程为 , . 题型七:角度关系证明问题 (24-25高三上·云南昆明·开学考试)在平面直角坐标系 中,已知点 ,动点 满足直 线 与直线 的斜率之积为 ,设点 的轨迹为曲线 . (1)求 的方程; (2)已知点 ,直线 与 轴交于点 ,直线 与 交于点 ,证明: . 【答案】(1) ;(2)证明见解析 【解析】(1)由题意可设 ,且 , 则 , 所以曲线 的方程为 . (2)当 ,不妨取 ,满足曲线的方程 , 则 的方程为 ,可得 , 此时可得 ,又 ,故 ; 当 不垂直于 时,设 ,则直线 的方程为 ,联立 ,得 , 所以 ,则 , 故 , 又 , 故 , 即 ,所以 , 综上所述: . 角度关系的证明往往转化为斜率问题或坐标问题,其中角相等问题优先考虑转为斜率之和为零处理,或 考虑用向量进行计算。 1.(23-24高三下·山西运城·三模)已知双曲线 的左、右焦点分别为 , ,点 为 的 左顶点,点 为 右支上一点(非顶点), 的平分线 交 轴于 (1)过右焦点 作 于 ,求 ; (2)求证: . 【答案】(1) ;(2)证明见解析 【解析】(1)延长 交 于点 ,因为 平分 , , 所以 ,所以 , , 所以 为 的中点,又 为 的中点,所以 且 ,又 ,所以 , 所以 . (2)依题意可知 , , 当 时 ,解得 ,不妨取 ,则 , ,所以 ,满足 ; 当 时,设 ,则 , 所以 , , 则 , 所以 , 又 , ,则 , 所以 , 综上可得 . 2.(23-24高三下·广西·二模)已知抛物线 ,过点 作直线交抛物线C于A,B两点,过 A,B两点分别作抛物线C的切线交于点P. (1)证明:P在定直线上; (2)若F为抛物线C的焦点,证明: . 【答案】(1)证明见解析;(2)证明见解析 【解析】(1)证明:设 , ,则 , 直线 的方程为 ,即 ,又因为直线 过点 ,所以 ,即 , 设直线 的方程为 ,与抛物线方程 联立,解得 或 , 又因为直线 与抛物线相切,所以 ,即 , 所以直线 的方程为 ,即 , 同理直线 的方程为 , 由 ,解得 ,即 , 故点P在直线 上. (2)证明:∵ , , 注意到两角都在 内,可知要证 .即证 . 而 , , 所以 , 又 , 所以 ,同理 , 即有 ,故 . 题型八:向量共线问题 (24-25高三上·四川成都·模拟预测)椭圆 的中心为坐标原点 ,焦点在 轴上,离心率 ,椭圆 上的点到焦点的最短距离为 ,直线 与 轴交于点 ( ),与椭圆 交于相异两点 、 ,且 . (1)求椭圆方程; (2)求 的取值范围. 【答案】(1) ;(2) 【解析】(1)设椭圆的方程为 ,由题 ,解得 , , 因此椭圆的方程为 即 . (2)由题意可知向量 起点相同,终点共线, 又由 得 , 故 ,即 ,即 , 显然直线 斜率存在且不为 ,设其方程为 , 联立方程 ,消去 ,得 ,所以 , 设 , ,则 , , 又由 得 ,即 , 因此 ,从而 , , 所以 , 整理得 ,显然 , 所以 ,解得 或 .经检验,此时 , 因此 的取值范围是 . 三点共线问题证明的解题策略一般有以下几种: (1)斜率法:若过任意两点的直线的斜率都存在,通过计算证明过任意两点的直线的斜率相等来证明三 点共线; (2)距离法:计算出任意两点间的距离,若某两点间的距离等于另外两个距离之和,则这三点共线; (3)向量法:利用向量共线定理证明三点共线; (4)直线方程法:求出过其中两点的直线方程,在证明第三点也在该直线上; (5)点到直线的距离法:求出过其中某两点的直线方程,计算出第三点到该直线的距离,若距离为0, 则三点共线;(6)面积法:通过计算求出以三点为三角形的面积,若面积为0,则三点共线,在处理三点共线问题, 离不开解析几何的重要思想:“设而不求思想”。 1.(23-24高三下·山西太原·三模)已知双曲线 的左、右顶点分别为 与 ,点 在 上,且直线 与 的斜率之和为 . (1)求双曲线 的方程; (2)过点 的直线与 交于 两点(均异于点 ),直线 与直线 交于点 ,求 证: 三点共线. 【答案】(1) ;(2)证明见解析 【解析】(1)由题意得 ,且 (2)由 (1) 得 , 设直线 的方程为 ,则 , 由 得 , 直线 的方程为 ,令 ,则 , , 所以 三点共线.2.已知抛物线 经过点 ,直线 与抛物线 有两个不同的交点 ,直线 交 轴于 ,直线 交 轴于 . (1)若直线 过点 ,求直线 的斜率 的取值范围; (2)若直线 过抛物线 的焦点 ,交 轴于点 ,求 的值; (3)若直线 过点 ,设 ,求 的值. 【答案】(1) ;(2) ;(3)2 【解析】(1)因为抛物线 经过点 ,所以 ,所以 , 所以抛物线 的解析式为 . 又因为直线 过点 ,且直线 与抛物线 有两个不同的交点. 易知直线 斜率存在且不为 ,故可设直线 的方程式为 . 根据题意可知直线 不能过点 ,所以直线 的斜率 . 若直线 与抛物线的一个交点为 ,此时该点与点 所在的直线斜率不存在, 则该直线与 轴无交点,与题目条件矛盾, 此时 ,所以直线 斜率 . 联立方程 ,得 , 因为直线 与抛物线有两个不同交点,所以 ,所以 . 故直线 的斜率 的取值范围是 且 且 . 即率 的取值范围是 . (2)如图所示设直线 的方程为: 由 ,得 , 设 , , 则 ,∵ , , , , ∴ , ,∴ , . (3)如图所示 设点 , ,则 , , 因为 ,所以 ,故 ,由 得 , 设 , , 直线 方程为 , 令 ,得 ①,由直线 可得 ②, 因为 ③, 将①②代入③可得,, 又由根与系数的关系: , , 所以 , 所以 . 题型九:存在性问题探究 (23-24高三下·上海·三模)已知椭圆 : , 、 分别为左、右焦点,直线 过 交椭圆于 、 两点. (1)求椭圆的离心率; (2)当 ,且点 在 轴上方时,求 、 两点的坐标; (3)若直线 交 轴于 ,直线 交 轴于 ,是否存在直线 ,使得 ?若存在,求出直线 的方程;若不存在,请说明理由. 【答案】(1) ;(2) ; ;(3)存在直线 或 满足题意 【解析】(1)由椭圆方程知, , ,所以 , 所以离心率 . (2) , ,设 ,且 . 所以 , , , , 又 在椭圆上,满足 ,即 , ,解得 ,即 . 所以直线 : ,联立 ,解得 或 , 所以 ; (3)设 , , , , 直线 : , 联立 ,得 . 则 , . 直线 的方程: ,令 得 纵坐标 ; 直线 的方程: ,令 得 的纵坐标 . 则 , 若 ,即 , , , , 代入根与系数的关系,得 ,解得 . 存在直线 或 满足题意. 圆锥曲线存在性问题的解题技巧: 1、特殊值(点)法:对于一些复杂的题目,可通过其中的特殊情况,解得所求要素的必要条件,然后再证明求得的要素也使得其他情况均成立; 2、假设法:先假设存在,推证满足条件的结论。若结论正确,则存在;若结论不正确,则不存在。 1.(24-25高三上·上海·月考)已知双曲线 的离心率 ,左顶点 , 过C的右焦点F作与x轴不重合的直线l,交C于P、Q两点. (1)求双曲线C的方程; (2)求证:直线 、 的斜率之积为定值; (3)设 ,试问:在x轴上是否存在定点T,使得 恒成立?若存在,求出点T的坐 标;若不存在,说明理由. 【答案】(1) ;(2)证明见解析;(3)存在, 【解析】(1)设双曲线的半焦距为c. 由题意知 ,故 , 因此 . (2)由题意知 .设直线 , 与双曲线方程联立得 . 设 、 ,则 , 故直线 、 的斜率之积为 . (3)由题意知 ,得 . 设 ,则 .即 . 由于 ,上式即 ,解得 . 利用(*)式,得 , 因此存在定点 满足题目要求. 2.(23-24高三下·西藏拉萨·月考)已知抛物线 ,准线 与 轴交于点 为抛 物线 上一点, 交 轴于点 .当 时, . (1)求抛物线 的方程; (2)设直线 与抛物线 的另一交点为 (点 在点 之间),过点 且垂直于 轴的直线交 于 点 .是否存在实数 ,使得 ?若存在,求出 的值;若不存在,请说明理由. 【答案】(1) ;(2)存在, 【解析】(1)因为当 时, ,所以四边形 为平行四边形, 所以 即 所以 将 代入 ,得 ,解得 所以抛物线 的方程为 . (2)如图, 由题意,得 .设直线 斜率不能为0, 故其方程为 ,则 . 由 ,得 , 所以 . 假设存在实数 ,使得 ,即 . 由题意,知 , 所以 . 又 ,所以 , 即存在实数 ,使得 成立. 题型十:“非对称”韦达定理 (23-24高三上·陕西西安·期中)已知椭圆 的长轴长为4,左、右顶点分别为A, B,经过点P(1,0)的动直线与椭圆 相交于不同的两点C,D(不与点A,B重合). (1)求椭圆 的方程及离心率; (2)若直线CB与直线AD相交于点M,判断点M是否位于一条定直线上?若是,求出该直线的方程;若不 是,说明理由. 【答案】(1)椭圆方程为 ,离心率为 ;(2) 点在定直线 上. 【解析】(1)由题意 , ,所以椭圆方程为 , , ,则 ,离心率为 ; (2)由题意设动直线方程为 ,设 , , 由 得 , 显然 , 直线 方程为 ,直线 方程为 , 联立方程组 ,得 又 ,代入得 , 由 , 得 ,即 ,所以 , 所以 点在定直线 上. 将直线的方程与圆锥曲线方程联立,消去 ,得到关键方程(设方程的两根 和 ),在某些问题中, 可能会涉及到需计算两根系数不相同的代数式。例如,运算过程中出现了 、 等结构, 且无法直接通过合并同类项化为系数相同的情况处理,像这种非对称的结构,通常是无法根据伟大定理 直接求出的,此时一般的处理技巧是抓住 和 的关系将两根积向两根和转化,通过局部计算、 整体约分的方法解决问题。 1.(23-24高三上·上海闵行·期中)已知双曲线 : 的离心率为 ,点 在 双曲线 上.过 的左焦点F作直线 交 的左支于A、B两点. (1)求双曲线C的方程; (2)若 ,试问:是否存在直线 ,使得点M在以 为直径的圆上?请说明理由. (3)点 ,直线 交直线 于点 .设直线 、 的斜率分别 、 ,求证: 为定 值. 【答案】(1) ;(2)不存在,理由见解析;(3)证明见解析 【解析】(1)由双曲线 的离心率为 ,且 在双曲线 上, 可得 ,解得 ,∴双曲线的方程为 . (2)双曲线 的左焦点为 , 当直线 的斜率为0时,此时直线为 ,与双曲线 左支只有一个交点,舍去; 当直线 的斜率不为0时,设 , 联立方程组 ,消 得 ,易得 , 设 ,则 ,可得 ,∵ , 则 , 即 ,可得 与 不垂直, ∴不存在直线 ,使得点 在以 为直径的圆上. (3)由直线 ,得 , ∴ ,又 , ∴ , ∵ ,∴ ,且 , ∴ ,即 为定值. 2.(24-25高三上·重庆·月考)已知 是椭圆 的右焦点, 为坐标原点, 为椭 圆上任意一点, 的最大值为 ,当 时, 的面积为 . (1)求 的值; (2) 为椭圆的左、右顶点,点 满足 ,当 与 不重合时,射线 交椭圆 于点 ,直 线 交于点 ,求 的最大值. 【答案】(1) ;(2) 【解析】(1)因为 ①, 设椭圆的左焦点为 ,因为 ,所以 . 即 , 又 ,所以 , 所以 ,所以 ,所以 , 因为 ,所以 ,所以 ②,又 ③, 由①②③,解得 ,所以 . (2)由(1)可知椭圆 的方程为 , 因为点 满足 ,所以 ,设直线 的方程为 , 联立 ,得 , 设 ,易得 ,则 , 直线 的方程为 ,直线 的方程为 , 联立得 , 因为 ,所以 ,解得 所以动点 的轨迹方程为 . 由椭圆的对称性不妨设 ,直线 的倾斜角分别为 , 因为 ,所以 , 因为 ,所以 , 当且仅当 时,等号成立,此时 , ,所以 的最大值为 .1.(23-24高三下·河北·模拟预测)椭圆 : 左右顶点分别为 , ,且 , 离心率 . (1)求椭圆 的方程; (2)直线 与抛物线 相切,且与 相交于 、 两点,求 面积的最大值. 【答案】(1) ;(2) 【解析】(1)由题意 ,得 , . 又 的离心率为 ,得 ,所以 , 则 , 得椭圆 的方程为 . (2) 方法一:由题意当直线 斜率不存在时,直线 方程为 , 易得 ,此时 . 当直线 斜率存在时,方程可设为 ,与抛物线 联立得 整理得 由 . 联立 ,得 , 又 ,整理得且 ,得 设 , ,则 , . 得 又点 到直线 距离为 , 由二次函数性质知当 (满足 )时, 取得最大值为 , 综上所述,得 的面积的最大值为 .方法二:由题意知直线 斜率不为0,故方程可设为 , 与抛物线 联立得 , 直线 与抛物线相切得 , 联立 ,得 , 且 . 设 , 则 , . 又 与 轴交于点 , 则 又 , , 当 (此时 ,符合 )时, 取得最大值为 综上所述,得 的面积的最大值为 . 方法三: 由 ,求导数得2 , 不妨设 ,则 , 由导数的几何意义知过点 的切线的斜率为 , 故所求切线方程为 , 化简得 即 , 又 在抛物线 上, 所以切线方程为: (可验证对 ,此方程也适用) 因此可得抛物线的方程 ,求经过抛物线上一点 的切线的方程为 . 故由题意可设直线 的切点为 ,则切线方程为当切点为原点时,易得 当切点不是原点时,联立 , 又 ,整理得 , ,得 , 设 , , 则 , . 得 又点 到直线 距离为 , 当 时(满足 ),面积最大 . 综上所述,得 的面积的最大值为 . 方法四: 设直线 的切点为 ,即 , 由方法三可设切线方程为 . 由题意知直线 斜率不为0,得直线 方程为 , ,得 . 设 , 则 , .又 与 轴交于点 , 则 当 (满足 )时, 取得最大值为 . 综上所述,得 的面积的最大值为 2.(24-25高三上·河北石家庄·月考)已知焦距为 的椭圆 的右焦点为 ,右 顶点为 ,过F作直线 与椭圆 交于 、 两点(异于点 ),当 轴时, . (1)求椭圆 的方程; (2)证明: 是钝角. 【答案】(1) ;(2)证明见解析 【解析】(1)由题意: , 所以椭圆 的方程为: . (2)如图: 因为 、 两点异于点 ,故直线 斜率不为 . 设直线 : , 由 .设 , ,则 , . 所以 , 所以 为钝角或平角(舍去). 故 为钝角. 3.(24-25高三上·重庆·月考)已知双曲线 的一条渐近线方程为 ,点 在双曲线C上. (1)求双曲线C的方程. (2)设过点 的直线l与双曲线C交于M,N两点,问在x轴上是否存在定点Q,使得 为常 数?若存在,求出Q点坐标及此常数的值;若不存在,说明理由. 【答案】(1) ;(2)存在, , . 【解析】(1)由题意得,因为双曲线渐近线方程为 , 所以 , 又点 在双曲线上,所以将坐标代入双曲线标准方程得: , 联立两式解得 , , 所以双曲线的标准方程为: . (2)如图所示, 点 ,直线l与双曲线交于 两点, 由题意得,设直线l的方程为 , 点坐标为 ,联立 得, , 设 , , 则 , , , , , , 所以 , 所以若要使得上式为常数,则 , 即 ,此时 , 所以存在定点 ,使得 为常数 . 4.(24-25高三上·云南保山·期中)若 为抛物线 上一点,过 作两条关于 对称的直 线分别另交 于 两点. (1)求抛物线 的方程与焦点坐标; (2)判断直线 的斜率是否为定值?若是,求出定值;若不是,请说明理由. 【答案】(1) ,焦点为 ;(2)存在, . 【解析】(1)由题意,得 ,得 ,所求抛物线 方程为 ,其焦点坐标为 . (2)如图,由题意,不妨设直线 的方程为 ,联立抛物线方程 ,消去 得 , 由韦达定理得 , 因为直线 与 关于 对称,所以 ,且 , 所以 , 所以 ,即 ,即 , 由韦达定理得 ,解得 , 所以直线 的斜率为定值 . 5.(24-25高三上·湖北武汉·期中)已知椭圆 : 的离心率为 ,点 在 上,直线 与 交于不同于A的两点 , . (1)求 的方程; (2)若 ,求 面积的最大值; (3)记直线 , 的斜率分别为 , ,若 ,证明:以 为直径的圆过定点,并求出定点 坐标. 【答案】(1) ;(2) ;(3)证明见解析,定点 【解析】(1)由题意可知: ,解得 , 所以椭圆 的方程为 .(2)若 ,可知直线 的斜率存在, 设直线 : , , 联立方程 ,消去y可得 , 则 ,整理可得 , 可得 , 因为 ,则 , 由 ,可得 , 则 , 整理可得 , 则 , 且 ,则 ,可得 , 解得 ,且满足 , 可知直线 : 过定点 , 则 面积 , 令 ,则 ,可得 , 因为 在 内单调递增,则 , 所以当 时, 面积取到最大值 . (3)若直线 的斜率不存在,设 ,可得 ,可得 , 这与 相矛盾,不合题意; 可知直线 的斜率存在,设直线 : , , 可得 , 整理可得 , 则 , 且 ,则 ,可得 ,解得 , 设以 为直径的圆过定点 , 则 , 可得 , 则 , 整理可得 , 则 , 可得 , 注意到上式对任意的 均成立,则 ,解得 , 所以以 为直径的圆过定点 . 6.(24-25高三上·上海宝山·月考)已知椭圆 的左、右焦点分别为为椭圆的一个顶点,且右焦点 F 到双曲线. 渐近线的距离为 (1)求椭圆C的标准方程; ₂ (2)设直线 与椭圆C交于 A、B两点. ①若直线 过椭圆右焦点F ,且△AF B的面积为 求实数k的值; ②若直线 过定点P(0,2), ₂且k>0, 在₁ x轴上是否存在点T(t,0)使得以TA、TB为邻边的平行四边形为菱 形? 若存在,则求出实数t的取值范围; 若不存在,请说明理由. 【答案】(1) ;(2)① ;② 【解析】(1)由双曲线. 的渐近线方程为 , 再由椭圆 的右焦点分别为 到渐近线的距离为 可得: ,因为 ,所以解得 , 再由椭圆的一个顶点为 ,可得 , 所以由 , 即椭圆C的标准方程为 ; (2)①直线 过椭圆右焦点F 可得: ,即 , ₂ 所以由直线 与椭圆C的标准方程 联立方程组,消去 得: , 设两交点 ,则有 所以 , 又椭圆左焦点 到直线 的距离为 , 所以 , 解得: 或 (舍去),即 ; ②假设存在点 使得以 为邻边的平行四边形为菱形, 由于直线过定点 , 且 ,可知直线方程为 ,与椭圆 联立方程组,消去 得: , 由 ,且 ,解得 , 设两交点 , 中点 ,则有 所以 , 即 ,整理得 , 又因为 ,所以 ,则 . 1.(2024·全国·高考真题)已知 和 为椭圆 上两点. (1)求C的离心率; (2)若过P的直线 交C于另一点B,且 的面积为9,求 的方程. 【答案】(1) ;(2)直线 的方程为 或 . 【解析】(1)由题意得 ,解得 , 所以 . (2)法一: ,则直线 的方程为 ,即 ,,由(1)知 , 设点 到直线 的距离为 ,则 , 则将直线 沿着与 垂直的方向平移 单位即可, 此时该平行线与椭圆的交点即为点 , 设该平行线的方程为: , 则 ,解得 或 , 当 时,联立 ,解得 或 , 即 或 , 当 时,此时 ,直线 的方程为 ,即 , 当 时,此时 ,直线 的方程为 ,即 , 当 时,联立 得 , ,此时该直线与椭圆无交点. 综上直线 的方程为 或 . 法二:同法一得到直线 的方程为 , 点 到直线 的距离 , 设 ,则 ,解得 或 , 即 或 ,以下同法一. 法三:同法一得到直线 的方程为 , 点 到直线 的距离 ,设 ,其中 ,则有 , 联立 ,解得 或 , 即 或 ,以下同法一; 法四:当直线 的斜率不存在时,此时 , ,符合题意,此时 ,直线 的方程为 ,即 , 当线 的斜率存在时,设直线 的方程为 , 联立椭圆方程有 ,则 ,其中 ,即 , 解得 或 , , , 令 ,则 ,则 同法一得到直线 的方程为 , 点 到直线 的距离 , 则 ,解得 , 此时 ,则得到此时 ,直线 的方程为 ,即 , 综上直线 的方程为 或 . 法五:当 的斜率不存在时, 到 距离 , 此时 不满足条件. 当 的斜率存在时,设 ,令 , ,消 可得 ,,且 ,即 , , 到直线 距离 , 或 ,均满足题意, 或 ,即 或 . 法六:当 的斜率不存在时, 到 距离 , 此时 不满足条件. 当直线 斜率存在时,设 , 设 与 轴的交点为 ,令 ,则 , 联立 ,则有 , , 其中 ,且 , 则 , 则 ,解的 或 ,经代入判别式验证均满足题 意. 则直线 为 或 ,即 或 .2.(2024·全国·高考真题)已知椭圆 的右焦点为 ,点 在 上,且 轴. (1)求 的方程; (2)过点 的直线交 于 两点, 为线段 的中点,直线 交直线 于点 ,证明: 轴. 【答案】(1) ;(2)证明见解析 【解析】(1)设 ,由题设有 且 ,故 ,故 ,故 , 故椭圆方程为 . (2)直线 的斜率必定存在,设 , , , 由 可得 , 故 ,故 , 又 , 而 ,故直线 ,故 , 所以 , 故 ,即 轴.3.(2024·天津·高考真题)已知椭圆 的离心率为 .左顶点为 ,下顶点为 是 线段 的中点(O为原点), 的面积为 . (1)求椭圆的方程. (2)过点C的动直线与椭圆相交于 两点.在 轴上是否存在点 ,使得 恒成立.若存在, 求出点 纵坐标的取值范围;若不存在,请说明理由. 【答案】(1) ;(2)存在 ,使得 恒成立. 【解析】(1)因为椭圆的离心率为 ,故 , ,其中 为半焦距, 所以 ,故 , 故 ,所以 , ,故椭圆方程为: . (2) 若过点 的动直线的斜率存在,则可设该直线方程为: , 设 , 由 可得 , 故 且 而 , 故, 因为 恒成立,故 ,解得 . 若过点 的动直线的斜率不存在,则 或 , 此时需 ,两者结合可得 . 综上,存在 ,使得 恒成立. 4.(2024·北京·高考真题)已知椭圆 : ,以椭圆 的焦点和短轴端点为顶点的四 边形是边长为2的正方形.过点 且斜率存在的直线与椭圆 交于不同的两点 ,过点 和 的直线 与椭圆 的另一个交点为 . (1)求椭圆 的方程及离心率; (2)若直线BD的斜率为0,求t的值. 【答案】(1) ;(2) 【解析】(1)由题意 ,从而 , 所以椭圆方程为 ,离心率为 ; (2)直线 斜率不为0,否则直线 与椭圆无交点,矛盾, 从而设 , ,联立 ,化简并整理得 , 由题意 ,即 应满足 , 所以 , 若直线 斜率为0,由椭圆的对称性可设 , 所以 ,在直线 方程中令 , 得 , 所以 , 此时 应满足 ,即 应满足 或 , 综上所述, 满足题意,此时 或 . 5.(2024·上海·高考真题)已知双曲线 左右顶点分别为 ,过点 的直线 交双曲线 于 两点. (1)若离心率 时,求 的值. (2)若 为等腰三角形时,且点 在第一象限,求点 的坐标. (3)连接 并延长,交双曲线 于点 ,若 ,求 的取值范围. 【答案】(1) ;(2) ;(3) 【解析】(1)由题意得 ,则 , . (2)当 时,双曲线 ,其中 , , 因为 为等腰三角形,则 ①当以 为底时,显然点 在直线 上,这与点 在第一象限矛盾,故舍去; ②当以 为底时, ,设 ,则 , 联立解得 或 或 , 因为点 在第一象限,显然以上均不合题意,舍去; (或者由双曲线性质知 ,矛盾,舍去); ③当以 为底时, ,设 ,其中 , 则有 ,解得 ,即 . 综上所述: . (3)由题知 , 当直线 的斜率为0时,此时 ,不合题意,则 , 则设直线 , 设点 ,根据 延长线交双曲线 于点 , 根据双曲线对称性知 , 联立有 , 显然二次项系数 , 其中 , ①, ②, , 则 ,因为 在直线 上, 则 , , 即 ,即 ,将①②代入有 , 即 化简得 , 所以 , 代入到 , 得 , 所以 , 且 ,解得 ,又因为 ,则 , 综上知, , . 6.(2024·上海·高考真题)在平面直角坐标系 中,已知点 为椭圆 上一点, 、 分 别为椭圆的左、右焦点. (1)若点 的横坐标为2,求 的长; (2)设 的上、下顶点分别为 、 ,记 的面积为 的面积为 ,若 ,求 的取值范围 (3)若点 在 轴上方,设直线 与 交于点 ,与 轴交于点 延长线与 交于点 ,是否存在 轴上方的点 ,使得 成立?若存在,请求出点 的坐标;若不 存在,请说明理由. 【答案】(1) ;(2) ;(3)存在, 【解析】(1)设 ,由点 为椭圆 上一点,得 ,即 ,又 , 所以 . (2)设 ,而 , 则 ,由 ,得 , 即 ,又 ,则 ,解得 , , 所以 的范围是 .(3)设 ,由图象对称性,得 、 关于 轴对称,则 , 又 ,于是 , 则 ,同理 , 由 ,得 , 因此 ,即 ,则 , 设直线 ,由 消去 得 , 则 ,即 ,而 ,解得 , , 由 ,得 ,所以 .