文档内容
2020年军队文职考试《数学1》真题
即刻题库 www.jike.vip
1 、 单选题
A :
B :
C :
D :
2 、 单选题
关于多元函数的方向导数, 正确的是( ) 。
A : 函数在一点可微是函数在该点处方向导数存在的充分条件
B : 函数在一点可微是函数在该点处方向导数存在的必要条件
C : 函数在一点连续是函数在该点处方向导数存在的必要条件
D : 函数在一点连续是函数在该点处方向导数存在的充分条件
3 、 单选题
A :
B :
C :
D :
4 、 单选题
A :
B :
C : 3/2
D : 0
5 、 单选题
A :
B :
C :
D :
6 、 单选题
A : 0
B : 1
C : 2
D : 37 、 单选题
A : 3
B : 4
C : 5
D : 6
8 、 单选题
A :
B :
C :
D :
9 、 单选题
A :
B :
C :
D :
10 、 单选题
A :
B :
C :
D :
11 、 单选题
A : 0
B : 1
C : 2
D : 3
12 、 单选题
A : yz
B : −yz
C : xz
D : −xz
13 、 单选题
A : 可去间断点
B : 跳跃间断点C : 无穷间断点
D : 连续点
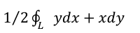
14 、 单选题
A : -1
B : 0
C : 1
D : 不存在
15 、 单选题
A :
B :
C :
D :
16 、 单选题
A : 0
B :
C :
D :
17 、 单选题
设随机变量X和Y相互独立, 且方差D(X) > 0, D(Y) > 0, 则( ) 。
A : X与X + Y一定相关
B : X与X + Y一定不相关
C : X与XY一定相关
D : X与XY一定不相关
18 、 单选题
A : 1
B : -1
C : 2
D : -2
19 、 单选题
A : 1
B : 2
C : 3
D : 4
20 、 单选题
A : 1/4
B : 1
C : 1/2
D : 2
21 、 单选题A :
B :
C :
D :
22 、 单选题
A :
B :
C :
D :
23 、 单选题
对任意两个随机变量X和Y, 若E(XY) = E(X)E(Y), 则( ) 。
A : D(XY) = D(X)D(Y)
B : D(X + Y) = D(X)D(Y)
C : X和Y相互独立
D : X和Y不相互独立
24 、 单选题A : n = 9, p = 0.7
B : n = 9, p = 0.3
C : n = 6, p = 0.45
D : n = 6, p = 0.55
25 、 单选题
下列命题正确的是( ) 。
A : ①
B : ①②
C : ①③
D : ①②③
26 、 单选题
A : 0
B : 2
C : e
D : 1
27 、 单选题
A : 有界函数
B : 无界函数
C : 奇函数
D : 偶函数
28 、 单选题A :
B :
C :
D :
29 、 单选题
A : 不存在
B : f(0, 0)
C : f(1, 1)
D : f x (0, 0)
30 、 单选题
A :
B :
C :
D :
31 、 单选题随机变量x, y的相关系数 是 x 与 y 相互独立的( ) 。
A : 充分但非必要条件
B : 必要但非充分条件
C : 充分必要
D : 既非充分也非必要
32 、 单选题
A :
B :
C :
D :
33 、 单选题
A : 0
B : 0.25
C : 0.5
D : 0.75
34 、 单选题
A : 1/2
B :
C :
D :
35 、 单选题
A :
B :
C :
D :
36 、 单选题
A :
B :
C :
D :
37 、 单选题
A : 2π
B : -2π
C : 6π
D : -6π
38 、 单选题
A :
B :
C :
D :
39 、 单选题
已知平面区域 D 是由直线y = x, x = −1和y = 1所围成, 函数f(x)在区域 D 上连续, 则( )
A :
B :
C :
D :
40 、 单选题A : 0
B : 1
C : 1/6
D : 1/8
41 、 单选题
A : f(x , y)在原点存在偏导数, 但在原点处不可微
B : f(x , y)在原点既存在偏导数也可微
C : f(x , y)在原点既不存偏导数也不可微
D : f(x , y)在原点不存在偏导数, 但在原点可微
42 、 单选题
A : 随 C 的增大而增大
B : 随 C 的增大而减小
C : 不随 C 的变化而变化
D : 当 C 增大时, 其增减性不确定
43 、 单选题
A :
B :
C :
D :
44 、 单选题
A :
B :
C :
D :
45 、 单选题
A :
B :
C :
D :
46 、 单选题A :
B :
C :
D :
47 、 单选题
A :
B :
C : 1/2
D : 1
48 、 单选题
A : 1
B : π
C :
D : 1/2
49 、 单选题A :
B :
C :
D :
50 、 单选题
A :
B :
C :
D :
51 、 单选题
A : 双叶双曲面
B : 单叶双曲面
C : 球面
D : 椭球面
52 、 单选题A : −3A
B : A T
C : A *
D : (A+ E) 2
53 、 单选题
A :
B :
C :
D :
54 、 单选题
A : Ax = 0有非零解
B : A的列向量两两正交
C : A的行向量两两正交
D :
55 、 单选题
n 阶方阵 A 有 n 个不同的特征值是 A 与对角阵相似的( ) 。
A : 充分但非必要条件
B : 必要但非充分条件
C : 充分必要条件
D : 既非充分条件也非必要条件56 、 单选题
A :
B :
C :
D :
57 、 单选题
A :
B :
C :
D :
58 、 单选题
A : 6
B : -6
C : 9
D : -959 、 单选题
若方阵 A 与方阵 B 相似, 则以下结论正确的是( ) 。
A :
B : A 与 B 具有相同的特征向量
C : det(A) = det(B)
D : A 与 B 均相似于同一个对角矩形
60 、 单选题
设 A、 B、 C 为同阶方阵, 下列命题正确的是( ) 。
A :
B : 若AB = AC, 且 A 为可逆矩阵则B = C
C :
D :
61 、 单选题
A : 2
B : 3
C : 4
D : 0
62 、 单选题
A :
B :
C :
D : a 与 b 的大小关系无法确定
63 、 单选题
A :
B :
C :
D :
64 、 单选题
设随机变量X的概率密度f(x)是偶函数, F(x)是X的分布函数, 则下列选项正确的 是( ) 。
A : F(x)是偶函数
B : F(x)是奇函数
C : F(x) + F − (x) = 1
D : 2F(x) − F(−x) = 1
65 、 单选题
A : 1/4
B : 3/4
C : 1/4或3/4
D : 1/3
66 、 单选题A :
B :
C :
D :
67 、 单选题
设σ是x〇y平面上由分段光滑闭曲线 L 所围区域 D 的面积, L 的方向对区域 D 来说是正
方向, 则计算结果不等于σ的是( ) 。
A :
B :
C :
D :
68 、 单选题
A :
B :
C :
D :
69 、 单选题
A :
B :
C :
D :
70 、 单选题
A :
B :
C :
D :
71 、 单选题
函数 在其定义域内是( )。
A : 有界函数
B : 无界函数C : 奇函数
D : 偶函数
72 、 单选题
不定积分 ( )。
73 、 单选题
A : 1
B : 2
C : 3
D : 4
74 、 单选题
直线 与平面x-y-z+1=0的夹角为( )。
75 、 单选题
设 ,则 =( )。
A : -1B : 0
C : 1
D : 不存在
76 、 单选题
设函数y=f(x)由方程 所确定则 ( )。
77 、 单选题
微分方程 的特解的正确形式y=( )
78 、 单选题
79 、 单选题80 、 单选题
设是 xOy平面上由分段光滑闭曲线L所围区域D的面积。L的方向对区域D来说是正方
向,则计算结果不等于的是
81 、 单选题
设A、B、C为同阶方阵,下列命题正确的是( )
82 、 单选题
若方阵A与方阵B相似,则以下结论正确的是( )
A : -λE=B-λE
B : A与B具有相同的特征向量
C : det(A)=det(B)
D : A与B均相似于同一个对角矩形83 、 单选题
设A为3阶矩阵,|A|=-3,将A按列分块为A=〔A1,A2,A3〕,则 的值
为:
A : 6
B : -6
C : 9
D : -9
84 、 单选题
如果向量组 可由向量组 线性表出且s>t,那么( )
85 、 单选题
86 、 单选题
n阶方阵A有n个不同的特征值是A与对角阵相似的( )
A : 充分但非必要条件
B : 必要但非充分条件
C : 充分必要条件
D : 既非充分条件也非必要条件87 、 单选题
88 、 单选题
89 、 单选题
随机变量x,y的相关系数 是x与y相互独立的( )。
A : 充分但非必要条件
B : 必要但非充分条件
C : 充分必要
D : 既非充分也非必要
90 、 单选题91 、 单选题
A : ①
B : ①②
C : ①③
D : ①②③
92 、 单选题
93 、 单选题
设 ,则x=0是f(x)的( )。
A : 可去间断点
B : 跳跃间断点C : 无穷间断点
D : 连续点
94 、 单选题
方程 在(0,+∞)内的实根个数是( )。
A : 0
B : 1
C : 2
D : 3
95 、 单选题
96 、 单选题
曲线 的渐近线有( )条。
A : 0
B : 1
C : 2
D : 3
97 、 单选题
若正项级数 收敛,则下列级数中不一定收敛的是( )。98 、 单选题
曲线 (0≤x<+∞)与两坐标轴所围成的平面图形绕x轴旋转一周所得立体的体
积为( )。
A.1
B.π
C.
D.
99 、 单选题
100 、 单选题
曲线C:x=1+t, y=1+t^{2}, z=1+t^{3}在点P(0,2,0)处的切线方程为( )。101 、 单选题
设z=f(x,y)有二阶偏导数,则 =( )。
102 、 单选题
设函数 ,则下列说法正确的是( )。
A : f(x,y)在原点存在偏导数,但在原点处不可微
B : f(x,y)在原点既存在偏导数也可微
C : f(x,y)在原点既不存偏导数也不可微
D : f(x,y)在原点不存在偏导数,但在原点可微
103 、 单选题
函数u=sinxsinysinz满足条件 的条件极值为( )。
104 、 单选题
已知平面区域D是由直线y=x,x=-1和y=1所围成,函数f(x)在区域D上连续,则( )。105 、 单选题
设 是柱面 与平面z-x+y=1的交线,从z轴正向看取逆时针方向,则曲线积
分 ( )。
A : 2π
B : -2π
C : 6π
D : -6π
106 、 单选题
已知f(x)可微,f(0)=2,曲线积分 与路径无关,则f(x)
=( )。
107 、 单选题
幂级数 的收敛域是( )。
A : -2,4)
B : [-2,4)
C : -2,4]
D : [-2,4]108 、 单选题
设f(x,y)连续,交换二次积分的积分 次序,正确的是( )。
109 、 单选题
设f(x,y)为有界闭区域 上连续可导函数,则
=( )。
A.不存在
B.f(0,0)
C.f(1,1)
D.
110 、 单选题
常微分方程 是全微分方程,则a=( )。
A : 0
B : 2
C : e
D : 1
111 、 单选题设 , 是行列式D的元素的余子式,则
( )。
A : 1
B : -1
C : 2
D : -2
112 、 单选题
设矩阵 ,且 (E是2阶单位矩阵),则B=( )。
113 、 单选题
与矩阵 既相似又合同的矩阵是( )。A :
B :
C :
D :
114 、 单选题
设A为5阶方阵,且满足 =A,则R(A)+R(A-E)=( ).α
A : 3
B : 4
C : 5
D : 6
115 、 单选题
116 、 单选题117 、 单选题
设A为n阶实对称矩阵,且满足 ,则下列结论不正确的是( )。
A.Ax=0有非零解
B.A的列向量两两正交
C.A的行向量两两正交
D.A≠0但
118 、 单选题
齐次线性方程组 的系数矩阵为A,存在方阵B≠0,使
得AB=0,则( )。
119 、 单选题
若n阶可逆矩阵A的属于特征值 的特征向量是α,则在下列矩阵中α不是其特征向量的是
( )。
A.-3 A
B.
C.A*
D.120 、 单选题
设二次型f(x,y,z)=
的秩是3,正
惯性指数是2,则对任意实数s>0,f(x,y,z)= s的图形是( )。
A : 双叶双曲面
B : 单叶双曲面
C : 球面
D : 椭球面
121 、 单选题
122 、 单选题
设两两独立且概率相等的三事件A,B,C满足条件 ,且ABC=?,则P
(A)=( )。123 、 单选题
124 、 单选题
设随机变量X的概率密度f(x)是偶函数,F(x)是X的分布函数,则下列选项正确的是
( )。
A : F(x)是偶函数
B : F(x)是奇函数
C : F(x)+ F-(x)=1
D : 2F(x)-F(-x)=1
125 、 单选题
设随机变量X~N(μ,1),Y~N(μ,4),若a=p{X≥μ},b=p{Y≤μ+2},则( )。
A : a
B : a=b
C : a>b
D : a与b的大小关系无法确定
126 、 单选题设随机变量 ,且满足 ,则
( )。
A : 0
B : 0.25
C : 0.5
D : 0.75
127 、 单选题
设随机变量(X,Y)的联合分布函数为F(x,y),边缘分布为 和 ,
则P{X>x,Y>y}=( )。
128 、 单选题
已知随机变量X服从二项分布,且E(X)=2.7,D (X)=1.89,则二项分布的参数n,p的值为
( )。
A : n=9,p=0.7
B : n=9,p=0.3
C : n=6, p=0.45
D : n=6, p=0.55
129 、 单选题
对任意两个随机变量X和Y,若E(XY)=E(X)E(Y),则( )。
A : D(XY)=D(X)D(Y)
B : D(X+Y)=D(X)D(Y)
C : X和Y相互独立
D : X和Y不相互独立
130 、 单选题
设随机变量X和Y相互独立,且方差D(X)>0,D(Y)>0,则( )。
A : X与X+Y一定相关
B : X与X+Y一定不相关
C : X与XY一定相关
D : X与XY一定不相关131 、 单选题
设 ,则 ( )。
A : yz
B : -yz
C : xz
D : -xz
132 、 单选题
设函数y=f(x)具有二阶导数,且 , , 为自变量,x
在 处的增量, 与dy分别为f(x)在点处对应的增量与微分,若 ,则(
)。
133 、 单选题
134 、 单选题
关于多元函数的方向导数,正确的是( )。
A : 函数在一点可微是函数在该点处方向导数存在的充分条件
B : 函数在一点可微是函数在该点处方向导数存在的必要条件
C : 函数在一点连续是函数在该点处方向导数存在的必要条件D : 函数在一点连续是函数在该点处方向导数存在的充分条件
135 、 单选题
已知级数 是函数f(x)在(-∞,+∞)上的幂级数展开式,则f(x)
=( )。
136 、 单选题
设函数 0的不同实根的个数是( )。
A : 2
B : 3
C : 4
D : 0
137 、 单选题
已知矩阵A= 与矩阵B= 相似,则x,y的取值分别是( )。
138 、 单选题139 、 单选题
140 、 单选题A : 随C的增大而增大
B : 随C的增大而减小
C : 不随C的变化而变化
D : 当C增大时,其增减性不确定
B :
C :
D :
2 、 单选题
关于多元函数的方向导数, 正确的是( ) 。
A : 函数在一点可微是函数在该点处方向导数存在的充分条件
B : 函数在一点可微是函数在该点处方向导数存在的必要条件
C : 函数在一点连续是函数在该点处方向导数存在的必要条件
D : 函数在一点连续是函数在该点处方向导数存在的充分条件
3 、 单选题
A :
B :
C :
D :
4 、 单选题
A :
B :
C : 3/2
D : 0
5 、 单选题
A :
B :
C :
D :
6 、 单选题
A : 0
B : 1
C : 2
D : 37 、 单选题
A : 3
B : 4
C : 5
D : 6
8 、 单选题
A :
B :
C :
D :
9 、 单选题
A :
B :
C :
D :
10 、 单选题
A :
B :
C :
D :
11 、 单选题
A : 0
B : 1
C : 2
D : 3
12 、 单选题
A : yz
B : −yz
C : xz
D : −xz
13 、 单选题
A : 可去间断点
B : 跳跃间断点C : 无穷间断点
D : 连续点
14 、 单选题
A : -1
B : 0
C : 1
D : 不存在
15 、 单选题
A :
B :
C :
D :
16 、 单选题
A : 0
B :
C :
D :
17 、 单选题
设随机变量X和Y相互独立, 且方差D(X) > 0, D(Y) > 0, 则( ) 。
A : X与X + Y一定相关
B : X与X + Y一定不相关
C : X与XY一定相关
D : X与XY一定不相关
18 、 单选题
A : 1
B : -1
C : 2
D : -2
19 、 单选题
A : 1
B : 2
C : 3
D : 4
20 、 单选题
A : 1/4
B : 1
C : 1/2
D : 2
21 、 单选题A :
B :
C :
D :
22 、 单选题
A :
B :
C :
D :
23 、 单选题
对任意两个随机变量X和Y, 若E(XY) = E(X)E(Y), 则( ) 。
A : D(XY) = D(X)D(Y)
B : D(X + Y) = D(X)D(Y)
C : X和Y相互独立
D : X和Y不相互独立
24 、 单选题A : n = 9, p = 0.7
B : n = 9, p = 0.3
C : n = 6, p = 0.45
D : n = 6, p = 0.55
25 、 单选题
下列命题正确的是( ) 。
A : ①
B : ①②
C : ①③
D : ①②③
26 、 单选题
A : 0
B : 2
C : e
D : 1
27 、 单选题
A : 有界函数
B : 无界函数
C : 奇函数
D : 偶函数
28 、 单选题A :
B :
C :
D :
29 、 单选题
A : 不存在
B : f(0, 0)
C : f(1, 1)
D : f x (0, 0)
30 、 单选题
A :
B :
C :
D :
31 、 单选题随机变量x, y的相关系数 是 x 与 y 相互独立的( ) 。
A : 充分但非必要条件
B : 必要但非充分条件
C : 充分必要
D : 既非充分也非必要
32 、 单选题
A :
B :
C :
D :
33 、 单选题
A : 0
B : 0.25
C : 0.5
D : 0.75
34 、 单选题
A : 1/2
B :
C :
D :
35 、 单选题
A :
B :
C :
D :
36 、 单选题
A :
B :
C :
D :
37 、 单选题
A : 2π
B : -2π
C : 6π
D : -6π
38 、 单选题
A :
B :
C :
D :
39 、 单选题
已知平面区域 D 是由直线y = x, x = −1和y = 1所围成, 函数f(x)在区域 D 上连续, 则( )
A :
B :
C :
D :
40 、 单选题A : 0
B : 1
C : 1/6
D : 1/8
41 、 单选题
A : f(x , y)在原点存在偏导数, 但在原点处不可微
B : f(x , y)在原点既存在偏导数也可微
C : f(x , y)在原点既不存偏导数也不可微
D : f(x , y)在原点不存在偏导数, 但在原点可微
42 、 单选题
A : 随 C 的增大而增大
B : 随 C 的增大而减小
C : 不随 C 的变化而变化
D : 当 C 增大时, 其增减性不确定
43 、 单选题
A :
B :
C :
D :
44 、 单选题
A :
B :
C :
D :
45 、 单选题
A :
B :
C :
D :
46 、 单选题A :
B :
C :
D :
47 、 单选题
A :
B :
C : 1/2
D : 1
48 、 单选题
A : 1
B : π
C :
D : 1/2
49 、 单选题A :
B :
C :
D :
50 、 单选题
A :
B :
C :
D :
51 、 单选题
A : 双叶双曲面
B : 单叶双曲面
C : 球面
D : 椭球面
52 、 单选题A : −3A
B : A T
C : A *
D : (A+ E) 2
53 、 单选题
A :
B :
C :
D :
54 、 单选题
A : Ax = 0有非零解
B : A的列向量两两正交
C : A的行向量两两正交
D :
55 、 单选题
n 阶方阵 A 有 n 个不同的特征值是 A 与对角阵相似的( ) 。
A : 充分但非必要条件
B : 必要但非充分条件
C : 充分必要条件
D : 既非充分条件也非必要条件56 、 单选题
A :
B :
C :
D :
57 、 单选题
A :
B :
C :
D :
58 、 单选题
A : 6
B : -6
C : 9
D : -959 、 单选题
若方阵 A 与方阵 B 相似, 则以下结论正确的是( ) 。
A :
B : A 与 B 具有相同的特征向量
C : det(A) = det(B)
D : A 与 B 均相似于同一个对角矩形
60 、 单选题
设 A、 B、 C 为同阶方阵, 下列命题正确的是( ) 。
A :
B : 若AB = AC, 且 A 为可逆矩阵则B = C
C :
D :
61 、 单选题
A : 2
B : 3
C : 4
D : 0
62 、 单选题
A :
B :
C :
D : a 与 b 的大小关系无法确定
63 、 单选题
A :
B :
C :
D :
64 、 单选题
设随机变量X的概率密度f(x)是偶函数, F(x)是X的分布函数, 则下列选项正确的 是( ) 。
A : F(x)是偶函数
B : F(x)是奇函数
C : F(x) + F − (x) = 1
D : 2F(x) − F(−x) = 1
65 、 单选题
A : 1/4
B : 3/4
C : 1/4或3/4
D : 1/3
66 、 单选题A :
B :
C :
D :
67 、 单选题
设σ是x〇y平面上由分段光滑闭曲线 L 所围区域 D 的面积, L 的方向对区域 D 来说是正
方向, 则计算结果不等于σ的是( ) 。
A :
B :
C :
D :
68 、 单选题
A :
B :
C :
D :
69 、 单选题
A :
B :
C :
D :
70 、 单选题
A :
B :
C :
D :
71 、 单选题
函数 在其定义域内是( )。
A : 有界函数
B : 无界函数C : 奇函数
D : 偶函数
72 、 单选题
不定积分 ( )。
73 、 单选题
A : 1
B : 2
C : 3
D : 4
74 、 单选题
直线 与平面x-y-z+1=0的夹角为( )。
75 、 单选题
设 ,则 =( )。
A : -1B : 0
C : 1
D : 不存在
76 、 单选题
设函数y=f(x)由方程 所确定则 ( )。
77 、 单选题
微分方程 的特解的正确形式y=( )
78 、 单选题
79 、 单选题80 、 单选题
设是 xOy平面上由分段光滑闭曲线L所围区域D的面积。L的方向对区域D来说是正方
向,则计算结果不等于的是
81 、 单选题
设A、B、C为同阶方阵,下列命题正确的是( )
82 、 单选题
若方阵A与方阵B相似,则以下结论正确的是( )
A : -λE=B-λE
B : A与B具有相同的特征向量
C : det(A)=det(B)
D : A与B均相似于同一个对角矩形83 、 单选题
设A为3阶矩阵,|A|=-3,将A按列分块为A=〔A1,A2,A3〕,则 的值
为:
A : 6
B : -6
C : 9
D : -9
84 、 单选题
如果向量组 可由向量组 线性表出且s>t,那么( )
85 、 单选题
86 、 单选题
n阶方阵A有n个不同的特征值是A与对角阵相似的( )
A : 充分但非必要条件
B : 必要但非充分条件
C : 充分必要条件
D : 既非充分条件也非必要条件87 、 单选题
88 、 单选题
89 、 单选题
随机变量x,y的相关系数 是x与y相互独立的( )。
A : 充分但非必要条件
B : 必要但非充分条件
C : 充分必要
D : 既非充分也非必要
90 、 单选题91 、 单选题
A : ①
B : ①②
C : ①③
D : ①②③
92 、 单选题
93 、 单选题
设 ,则x=0是f(x)的( )。
A : 可去间断点
B : 跳跃间断点C : 无穷间断点
D : 连续点
94 、 单选题
方程 在(0,+∞)内的实根个数是( )。
A : 0
B : 1
C : 2
D : 3
95 、 单选题
96 、 单选题
曲线 的渐近线有( )条。
A : 0
B : 1
C : 2
D : 3
97 、 单选题
若正项级数 收敛,则下列级数中不一定收敛的是( )。98 、 单选题
曲线 (0≤x<+∞)与两坐标轴所围成的平面图形绕x轴旋转一周所得立体的体
积为( )。
A.1
B.π
C.
D.
99 、 单选题
100 、 单选题
曲线C:x=1+t, y=1+t^{2}, z=1+t^{3}在点P(0,2,0)处的切线方程为( )。101 、 单选题
设z=f(x,y)有二阶偏导数,则 =( )。
102 、 单选题
设函数 ,则下列说法正确的是( )。
A : f(x,y)在原点存在偏导数,但在原点处不可微
B : f(x,y)在原点既存在偏导数也可微
C : f(x,y)在原点既不存偏导数也不可微
D : f(x,y)在原点不存在偏导数,但在原点可微
103 、 单选题
函数u=sinxsinysinz满足条件 的条件极值为( )。
104 、 单选题
已知平面区域D是由直线y=x,x=-1和y=1所围成,函数f(x)在区域D上连续,则( )。105 、 单选题
设 是柱面 与平面z-x+y=1的交线,从z轴正向看取逆时针方向,则曲线积
分 ( )。
A : 2π
B : -2π
C : 6π
D : -6π
106 、 单选题
已知f(x)可微,f(0)=2,曲线积分 与路径无关,则f(x)
=( )。
107 、 单选题
幂级数 的收敛域是( )。
A : -2,4)
B : [-2,4)
C : -2,4]
D : [-2,4]108 、 单选题
设f(x,y)连续,交换二次积分的积分 次序,正确的是( )。
109 、 单选题
设f(x,y)为有界闭区域 上连续可导函数,则
=( )。
A.不存在
B.f(0,0)
C.f(1,1)
D.
110 、 单选题
常微分方程 是全微分方程,则a=( )。
A : 0
B : 2
C : e
D : 1
111 、 单选题设 , 是行列式D的元素的余子式,则
( )。
A : 1
B : -1
C : 2
D : -2
112 、 单选题
设矩阵 ,且 (E是2阶单位矩阵),则B=( )。
113 、 单选题
与矩阵 既相似又合同的矩阵是( )。A :
B :
C :
D :
114 、 单选题
设A为5阶方阵,且满足 =A,则R(A)+R(A-E)=( ).α
A : 3
B : 4
C : 5
D : 6
115 、 单选题
116 、 单选题117 、 单选题
设A为n阶实对称矩阵,且满足 ,则下列结论不正确的是( )。
A.Ax=0有非零解
B.A的列向量两两正交
C.A的行向量两两正交
D.A≠0但
118 、 单选题
齐次线性方程组 的系数矩阵为A,存在方阵B≠0,使
得AB=0,则( )。
119 、 单选题
若n阶可逆矩阵A的属于特征值 的特征向量是α,则在下列矩阵中α不是其特征向量的是
( )。
A.-3 A
B.
C.A*
D.120 、 单选题
设二次型f(x,y,z)=
的秩是3,正
惯性指数是2,则对任意实数s>0,f(x,y,z)= s的图形是( )。
A : 双叶双曲面
B : 单叶双曲面
C : 球面
D : 椭球面
121 、 单选题
122 、 单选题
设两两独立且概率相等的三事件A,B,C满足条件 ,且ABC=?,则P
(A)=( )。123 、 单选题
124 、 单选题
设随机变量X的概率密度f(x)是偶函数,F(x)是X的分布函数,则下列选项正确的是
( )。
A : F(x)是偶函数
B : F(x)是奇函数
C : F(x)+ F-(x)=1
D : 2F(x)-F(-x)=1
125 、 单选题
设随机变量X~N(μ,1),Y~N(μ,4),若a=p{X≥μ},b=p{Y≤μ+2},则( )。
A : a
B : a=b
C : a>b
D : a与b的大小关系无法确定
126 、 单选题设随机变量 ,且满足 ,则
( )。
A : 0
B : 0.25
C : 0.5
D : 0.75
127 、 单选题
设随机变量(X,Y)的联合分布函数为F(x,y),边缘分布为 和 ,
则P{X>x,Y>y}=( )。
128 、 单选题
已知随机变量X服从二项分布,且E(X)=2.7,D (X)=1.89,则二项分布的参数n,p的值为
( )。
A : n=9,p=0.7
B : n=9,p=0.3
C : n=6, p=0.45
D : n=6, p=0.55
129 、 单选题
对任意两个随机变量X和Y,若E(XY)=E(X)E(Y),则( )。
A : D(XY)=D(X)D(Y)
B : D(X+Y)=D(X)D(Y)
C : X和Y相互独立
D : X和Y不相互独立
130 、 单选题
设随机变量X和Y相互独立,且方差D(X)>0,D(Y)>0,则( )。
A : X与X+Y一定相关
B : X与X+Y一定不相关
C : X与XY一定相关
D : X与XY一定不相关131 、 单选题
设 ,则 ( )。
A : yz
B : -yz
C : xz
D : -xz
132 、 单选题
设函数y=f(x)具有二阶导数,且 , , 为自变量,x
在 处的增量, 与dy分别为f(x)在点处对应的增量与微分,若 ,则(
)。
133 、 单选题
134 、 单选题
关于多元函数的方向导数,正确的是( )。
A : 函数在一点可微是函数在该点处方向导数存在的充分条件
B : 函数在一点可微是函数在该点处方向导数存在的必要条件
C : 函数在一点连续是函数在该点处方向导数存在的必要条件D : 函数在一点连续是函数在该点处方向导数存在的充分条件
135 、 单选题
已知级数 是函数f(x)在(-∞,+∞)上的幂级数展开式,则f(x)
=( )。
136 、 单选题
设函数 0的不同实根的个数是( )。
A : 2
B : 3
C : 4
D : 0
137 、 单选题
已知矩阵A= 与矩阵B= 相似,则x,y的取值分别是( )。
138 、 单选题139 、 单选题
140 、 单选题A : 随C的增大而增大
B : 随C的增大而减小
C : 不随C的变化而变化
D : 当C增大时,其增减性不确定