温馨提醒:最好用电脑打开公众号查看
PDF#01-075-1186(RDB):质标=定胞(I);d=计算值;I=计算值
Vivianite(Iron Phosphate Hydrate)
Fe3 ( P O4 )2 ( H2 O )8
射线=CuKa1 波长=1.5406 滤波法=
校准= 2θ=11.199-83.311 I/Ic(K值)=2.27
文献: Mori, H., Ito, T.
Acta Crystallogr., v3 p1(1950)
单斜晶系-单晶衍射,C2/m(12) Z=2
晶胞: 10.08x13.43x4.7 <90.0x104.5x90.0> P.S=mC74.00
密度(计算)=2.704 密度(测量)= 分子量=501.61 体积=615.99 F(30)=938.9(0.0010,33/0)
文献: 出处同上
强峰线: 6.72/X 7.89/4 4.88/3 3.84/3 3.20/2 2.98/2 4.55/2 2.72/1
ANX: A2B3X16.
Analysis: H16 Fe3 O16 P2.
Formula from original source: Fe3 (P O4)2 (H2 O)8.
ICSD Collection Code: 30645.
Calculated Pattern Original Remarks: Cf.
200703.
AE: Fe1: O2 (H2 O)4; Fe2: O4 (H2 O)2; P: O4; O1,3: Fe P; O2: Fe2 P; O4,5: Fe H2.
Minor Warning: No e.s.d reported/abstracted on the cell dimension.
No R factors reported/abstracted.
Wyckoff Sequence: j3 i3 g a(C12/M1).
Unit Cell Data Source: Single Crystal.
2θ d(埃) I(f) ( h k l) θ 1/(2d) 2π/d n^2
11.199 7.8947 36.6 ( 1 1 0) 5.599 0.0633 0.7959
13.174 6.7150 100.0 ( 0 2 0) 6.587 0.0745 0.9357
18.166 4.8795 32.6 ( 2 0 0) 9.083 0.1025 1.2877
19.492 4.5503 16.2 ( 0 0 1) 9.746 0.1099 1.3808
20.442 4.3411 4.0 (-1 1 1) 10.221 0.1152 1.4474
21.825 4.0690 12.5 ( 1 3 0) 10.912 0.1229 1.5442
22.506 3.9474 0.4 ( 2 2 0) 11.253 0.1267 1.5917
23.131 3.8421 26.7 (-2 0 1) 11.566 0.1301 1.6354
23.599 3.7669 0.4 ( 0 2 1) 11.800 0.1327 1.6680
24.458 3.6365 2.6 ( 1 1 1) 12.229 0.1375 1.7278
26.710 3.3348 3.7 (-2 2 1) 13.355 0.1499 1.8841
27.823 3.2039 19.7 (-1 3 1) 13.912 0.1561 1.9611
28.204 3.1616 2.8 ( 3 1 0) 14.102 0.1582 1.9874
29.994 2.9768 18.5 ( 2 0 1) 14.997 0.1680 2.1107
30.219 2.9551 11.4 (-3 1 1) 15.110 0.1692 2.1262
30.949 2.8871 1.8 ( 1 3 1) 15.474 0.1732 2.1763
32.340 2.7660 4.4 ( 2 4 0) 16.170 0.1808 2.2716
32.885 2.7214 14.7 ( 2 2 1) 16.443 0.1837 2.3088
33.132 2.7017 10.3 ( 0 4 1) 16.566 0.1851 2.3257
34.041 2.6316 5.6 ( 3 3 0) 17.020 0.1900 2.3876
34.608 2.5897 2.2 ( 1 5 0) 17.304 0.1931 2.4262
35.478 2.5282 9.5 (-2 4 1) 17.739 0.1978 2.4853
35.760 2.5089 3.5 (-3 3 1) 17.880 0.1993 2.5044
36.810 2.4397 0.4 ( 4 0 0) 18.405 0.2049 2.5754
37.170 2.4169 7.5 (-4 0 1) 18.585 0.2069 2.5997
38.389 2.3429 0.1 ( 3 1 1) 19.194 0.2134 2.6818
38.820 2.3179 5.4 (-1 5 1) 19.410 0.2157 2.7107
38.880 2.3145 4.8 (-1 1 2) 19.440 0.2160 2.7147
39.247 2.2937 1.6 (-2 0 2) 19.623 0.2180 2.7394
39.247 2.2937 1.6 ( 4 2 0) 19.623 0.2180 2.7394
39.599 2.2741 2.2 (-4 2 1) 19.799 0.2199 2.7630
39.599 2.2741 2.2 ( 0 0 2) 19.799 0.2199 2.7630
40.465 2.2274 8.2 ( 2 4 1) 20.232 0.2245 2.8209
41.205 2.1891 6.3 ( 1 5 1) 20.603 0.2284 2.8703
41.573 2.1705 1.3 (-2 2 2) 20.786 0.2304 2.8948
41.890 2.1548 1.8 ( 0 2 2) 20.945 0.2320 2.9159
42.919 2.1055 1.3 (-3 1 2) 21.460 0.2375 2.9842
43.015 2.1011 1.4 ( 3 3 1) 21.507 0.2380 2.9905
43.536 2.0771 1.8 ( 1 1 2) 21.768 0.2407 3.0250
43.536 2.0771 1.8 (-1 3 2) 21.768 0.2407 3.0250
43.667 2.0712 5.1 ( 3 5 0) 21.833 0.2414 3.0336
44.496 2.0345 0.6 ( 2 6 0) 22.248 0.2458 3.0883
45.104 2.0085 2.0 ( 0 6 1) 22.552 0.2489 3.1283
45.104 2.0085 2.0 (-3 5 1) 22.552 0.2489 3.1283
45.944 1.9737 0.6 ( 4 4 0) 22.972 0.2533 3.1835
46.251 1.9613 2.5 (-5 1 1) 23.125 0.2549 3.2036
46.251 1.9613 2.5 (-4 4 1) 23.125 0.2549 3.2036
46.387 1.9559 2.3 ( 4 0 1) 23.193 0.2556 3.2125
46.941 1.9341 2.0 ( 5 1 0) 23.471 0.2585 3.2487
46.941 1.9341 2.0 (-2 6 1) 23.471 0.2585 3.2487
47.182 1.9248 5.8 (-3 3 2) 23.591 0.2598 3.2644
47.279 1.9210 6.5 (-4 0 2) 23.639 0.2603 3.2707
47.755 1.9030 3.4 ( 1 3 2) 23.878 0.2627 3.3018
48.136 1.8888 1.6 ( 2 0 2) 24.068 0.2647 3.3265
48.306 1.8825 1.3 ( 1 7 0) 24.153 0.2656 3.3376
48.306 1.8825 1.3 ( 0 4 2) 24.153 0.2656 3.3376
48.435 1.8778 1.4 ( 4 2 1) 24.218 0.2663 3.3460
49.299 1.8469 0.2 (-4 2 2) 24.649 0.2707 3.4019
50.130 1.8183 0.6 ( 2 2 2) 25.065 0.2750 3.4556
50.293 1.8128 2.7 (-5 3 1) 25.146 0.2758 3.4661
51.004 1.7891 0.9 ( 2 6 1) 25.502 0.2795 3.5119
51.004 1.7891 0.9 ( 5 3 0) 25.502 0.2795 3.5119
51.251 1.7811 3.3 ( 3 5 1) 25.626 0.2807 3.5278
51.643 1.7685 2.6 (-1 7 1) 25.822 0.2827 3.5529
51.643 1.7685 2.6 (-1 5 2) 25.822 0.2827 3.5529
53.527 1.7106 0.1 ( 1 7 1) 26.763 0.2923 3.6731
54.093 1.6940 0.2 (-5 1 2) 27.047 0.2952 3.7090
54.231 1.6900 0.9 ( 4 4 1) 27.116 0.2959 3.7178
54.626 1.6788 4.0 ( 0 8 0) 27.313 0.2978 3.7428
54.942 1.6698 6.0 (-6 0 1) 27.471 0.2994 3.7628
54.942 1.6698 6.0 (-3 5 2) 27.471 0.2994 3.7628
55.130 1.6646 3.4 ( 3 1 2) 27.565 0.3004 3.7746
55.457 1.6556 4.8 ( 1 5 2) 27.728 0.3020 3.7952
55.566 1.6526 2.7 ( 3 7 0) 27.783 0.3026 3.8021
55.566 1.6526 2.7 ( 4 6 0) 27.783 0.3026 3.8021
55.799 1.6462 1.5 ( 2 4 2) 27.900 0.3037 3.8168
55.945 1.6422 0.9 (-4 6 1) 27.973 0.3045 3.8260
56.105 1.6380 0.9 ( 5 1 1) 28.052 0.3053 3.8360
56.536 1.6265 0.8 ( 6 0 0) 28.268 0.3074 3.8630
56.765 1.6205 0.5 (-3 7 1) 28.382 0.3086 3.8774
56.765 1.6205 0.5 (-6 2 1) 28.382 0.3086 3.8774
57.751 1.5951 5.7 (-5 3 2) 28.876 0.3135 3.9390
57.751 1.5951 5.7 (-5 5 1) 28.876 0.3135 3.9390
58.057 1.5874 1.0 ( 2 8 0) 29.029 0.3150 3.9581
58.399 1.5790 3.4 ( 5 5 0) 29.200 0.3167 3.9793
58.399 1.5790 3.4 ( 6 2 0) 29.200 0.3167 3.9793
58.561 1.5750 2.3 ( 0 8 1) 29.280 0.3175 3.9894
58.729 1.5709 1.3 ( 3 3 2) 29.365 0.3183 3.9998
59.028 1.5636 0.3 (-2 0 3) 29.514 0.3198 4.0184
59.666 1.5484 1.6 (-1 1 3) 29.833 0.3229 4.0578
59.666 1.5484 1.6 ( 5 3 1) 29.833 0.3229 4.0578
60.098 1.5383 1.5 (-2 8 1) 30.049 0.3250 4.0844
60.771 1.5229 0.2 (-2 2 3) 30.385 0.3283 4.1259
61.135 1.5147 2.3 (-6 0 2) 30.567 0.3301 4.1482
62.022 1.4951 1.7 (-6 4 1) 31.011 0.3344 4.2025
62.022 1.4951 1.7 ( 3 7 1) 31.011 0.3344 4.2025
62.334 1.4884 3.3 ( 4 0 2) 31.167 0.3359 4.2215
62.442 1.4861 1.9 (-1 7 2) 31.221 0.3365 4.2280
62.752 1.4795 0.7 ( 0 2 3) 31.376 0.3380 4.2469
62.843 1.4776 0.8 (-6 2 2) 31.421 0.3384 4.2524
62.961 1.4751 1.0 ( 1 9 0) 31.480 0.3390 4.2596
63.087 1.4724 2.3 (-1 3 3) 31.543 0.3396 4.2672
63.087 1.4724 2.3 ( 4 6 1) 31.543 0.3396 4.2672
63.577 1.4623 2.4 (-4 0 3) 31.789 0.3419 4.2969
63.577 1.4623 2.4 ( 2 8 1) 31.789 0.3419 4.2969
63.796 1.4578 1.4 (-4 6 2) 31.898 0.3430 4.3102
64.024 1.4531 0.7 ( 4 2 2) 32.012 0.3441 4.3239
64.326 1.4470 0.3 (-3 3 3) 32.163 0.3455 4.3422
64.500 1.4435 0.3 ( 2 6 2) 32.250 0.3464 4.3526
64.624 1.4411 0.6 (-5 5 2) 32.312 0.3470 4.3601
64.851 1.4366 0.6 ( 1 1 3) 32.425 0.3480 4.3737
65.224 1.4293 0.7 (-4 2 3) 32.612 0.3498 4.3961
65.224 1.4293 0.7 (-7 1 1) 32.612 0.3498 4.3961
65.386 1.4261 0.8 (-3 7 2) 32.693 0.3506 4.4059
65.555 1.4228 1.6 ( 3 5 2) 32.778 0.3514 4.4159
65.555 1.4228 1.6 ( 6 0 1) 32.778 0.3514 4.4159
65.753 1.4190 1.0 (-1 9 1) 32.877 0.3524 4.4278
65.836 1.4175 1.6 (-2 4 3) 32.918 0.3527 4.4327
65.836 1.4175 1.6 ( 1 7 2) 32.918 0.3527 4.4327
66.436 1.4061 1.3 ( 5 5 1) 33.218 0.3556 4.4686
67.202 1.3919 0.1 ( 6 2 1) 33.601 0.3592 4.5140
67.490 1.3867 0.1 ( 7 1 0) 33.745 0.3606 4.5311
67.490 1.3867 0.1 ( 1 9 1) 33.745 0.3606 4.5311
67.695 1.3830 0.2 ( 4 8 0) 33.847 0.3615 4.5432
67.695 1.3830 0.2 ( 0 4 3) 33.847 0.3615 4.5432
67.929 1.3788 1.0 (-4 8 1) 33.964 0.3626 4.5571
67.929 1.3788 1.0 (-5 7 1) 33.964 0.3626 4.5571
68.140 1.3750 0.6 ( 1 3 3) 34.070 0.3636 4.5695
68.496 1.3688 0.5 (-7 3 1) 34.248 0.3653 4.5905
68.496 1.3688 0.5 ( 5 7 0) 34.248 0.3653 4.5905
68.959 1.3607 0.1 ( 4 4 2) 34.479 0.3675 4.6177
69.266 1.3554 0.7 ( 2 0 3) 34.633 0.3689 4.6357
69.266 1.3554 0.7 (-2 8 2) 34.633 0.3689 4.6357
69.534 1.3508 0.7 ( 0 8 2) 34.767 0.3701 4.6514
69.674 1.3485 3.6 (-1 5 3) 34.837 0.3708 4.6595
69.998 1.3430 2.2 (0,10,0) 34.999 0.3723 4.6785
69.998 1.3430 2.2 (-7 1 2) 34.999 0.3723 4.6785
70.260 1.3386 1.9 (-3 9 1) 35.130 0.3735 4.6937
70.260 1.3386 1.9 (-6 6 1) 35.130 0.3735 4.6937
70.718 1.3311 1.1 ( 7 3 0) 35.359 0.3756 4.7204
70.854 1.3289 1.4 ( 2 2 3) 35.427 0.3763 4.7283
70.854 1.3289 1.4 (-3 5 3) 35.427 0.3763 4.7283
71.408 1.3199 0.3 ( 5 1 2) 35.704 0.3788 4.7604
71.666 1.3158 0.2 (-5 3 3) 35.833 0.3800 4.7752
71.666 1.3158 0.2 ( 6 6 0) 35.833 0.3800 4.7752
72.029 1.3101 0.1 ( 6 4 1) 36.014 0.3817 4.7961
73.010 1.2949 0.3 (2,10,0) 36.505 0.3861 4.8524
73.243 1.2913 0.2 (-7 3 2) 36.622 0.3872 4.8658
73.457 1.2881 0.2 (0,10,1) 36.728 0.3882 4.8780
73.950 1.2807 0.5 (-2 6 3) 36.975 0.3904 4.9061
73.950 1.2807 0.5 (-6 0 3) 36.975 0.3904 4.9061
74.297 1.2756 0.3 (-5 7 2) 37.149 0.3920 4.9258
74.413 1.2739 0.4 ( 4 8 1) 37.206 0.3925 4.9324
74.510 1.2725 0.3 ( 5 3 2) 37.255 0.3929 4.9379
74.510 1.2725 0.3 ( 1 5 3) 37.255 0.3929 4.9379
74.853 1.2675 1.6 (-7 5 1) 37.426 0.3945 4.9573
74.853 1.2675 1.6 (-2,10,1) 37.426 0.3945 4.9573
75.088 1.2641 1.1 ( 3 9 1) 37.544 0.3955 4.9705
75.088 1.2641 1.1 (-4 8 2) 37.544 0.3955 4.9705
75.388 1.2598 0.6 (-1 9 2) 37.694 0.3969 4.9875
75.388 1.2598 0.6 (-8 0 1) 37.694 0.3969 4.9875
75.596 1.2569 0.6 ( 2 4 3) 37.798 0.3978 4.9992
75.596 1.2569 0.6 ( 0 6 3) 37.798 0.3978 4.9992
75.742 1.2548 0.5 ( 3 1 3) 37.871 0.3985 5.0074
75.742 1.2548 0.5 ( 2 8 2) 37.871 0.3985 5.0074
76.003 1.2511 0.4 ( 5 7 1) 38.002 0.3996 5.0220
76.594 1.2429 0.6 ( 7 1 1) 38.297 0.4023 5.0551
76.853 1.2394 0.5 ( 4 6 2) 38.427 0.4034 5.0696
77.000 1.2374 2.1 ( 7 5 0) 38.500 0.4041 5.0778
77.000 1.2374 2.1 (-8 2 1) 38.500 0.4041 5.0778
77.987 1.2242 1.1 (-4 6 3) 38.994 0.4084 5.1326
77.987 1.2242 1.1 (2,10,1) 38.994 0.4084 5.1326
78.115 1.2225 0.4 (-3 9 2) 39.057 0.4090 5.1396
78.546 1.2169 0.2 ( 1 9 2) 39.273 0.4109 5.1634
78.909 1.2122 0.3 ( 3 3 3) 39.455 0.4125 5.1834
78.909 1.2122 0.3 (1,11,0) 39.455 0.4125 5.1834
79.079 1.2100 0.3 (-1 7 3) 39.539 0.4132 5.1927
79.454 1.2052 0.1 (-7 5 2) 39.727 0.4149 5.2133
79.675 1.2024 0.1 ( 7 3 1) 39.838 0.4158 5.2254
79.852 1.2002 0.1 ( 8 2 0) 39.926 0.4166 5.2350
80.143 1.1966 0.1 (-3 7 3) 40.071 0.4179 5.2509
80.143 1.1966 0.1 (-6 4 3) 40.071 0.4179 5.2509
80.494 1.1923 0.3 (-5 9 1) 40.247 0.4194 5.2700
80.702 1.1897 0.4 ( 5 5 2) 40.351 0.4203 5.2813
80.702 1.1897 0.4 ( 6 0 2) 40.351 0.4203 5.2813
81.052 1.1855 0.1 ( 5 9 0) 40.526 0.4218 5.3003
81.181 1.1839 0.1 (-6 8 1) 40.590 0.4223 5.3072
81.518 1.1798 0.3 (-1,11,1) 40.759 0.4238 5.3255
81.518 1.1798 0.3 (-8 4 1) 40.759 0.4238 5.3255
81.797 1.1765 0.2 (4,10,0) 40.899 0.4250 5.3405
81.942 1.1748 0.9 (-2 0 4) 40.971 0.4256 5.3483
81.942 1.1748 0.9 (-4,10,1) 40.971 0.4256 5.3483
82.227 1.1715 0.5 ( 6 2 2) 41.113 0.4268 5.3636
82.511 1.1681 0.4 ( 6 8 0) 41.256 0.4280 5.3788
82.865 1.1641 0.3 (-3 1 4) 41.432 0.4295 5.3977
82.865 1.1641 0.3 ( 4 0 3) 41.432 0.4295 5.3977
83.066 1.1617 0.2 (1,11,1) 41.533 0.4304 5.4084
83.311 1.1590 0.4 (-2,10,2) 41.655 0.4314 5.4214
83.311 1.1590 0.4 ( 2 6 3) 41.655 0.4314 5.4214
请在微信客户端打开
附图:







PDF#01-072-6647(RDB):质标=空白(B);d=计算值;I=计算值
Tellurium, syn
Te
射线=CuKa1 波长=1.5406 滤波法=
校准= 2θ=23.018-144.780 I/Ic(K值)=13.5
文献: Tedenac, J.C., Bouree-Vigneron, F., Marin-Ayral, R.-M., Chapon, L., Bouad, N.
J. Solid State Chem., v173 p189(2003)
六方晶系-粉末衍射,P3121(152) Z=3
晶胞: 4.458x4.458x5.925 <90.0x90.0x120.0> P.S=hP3.00
密度(计算)=6.233 密度(测量)= 分子量=127.6 体积=101.98 F(30)=999.9(0.0000,30/0)
文献: 出处同上
强峰线: 3.23/X 2.35/4 2.23/2 3.86/2 1.84/1 2.09/1 1.62/1 1.48/1
ANX: N.
Analysis: Te1.
Formula from original source: Te.
ICSD Collection Code: 96502.
Significant Warning: 15%<R factor (for powder).
Wyckoff Sequence: a(P3121).
Unit Cell Data Source: Powder Diffraction.
2θ d(埃) I(f) ( h k l) θ 1/(2d) 2π/d n^2
23.018 3.8607 18.2 ( 1 0 0) 11.509 0.1295 1.6275
27.554 3.2346 100.0 ( 0 1 1) 13.777 0.1546 1.9425
38.264 2.3503 36.3 ( 1 0 2) 19.132 0.2127 2.6734
40.434 2.2290 20.1 ( 1 1 0) 20.217 0.2243 2.8188
43.336 2.0863 10.8 ( 1 1 1) 21.668 0.2397 3.0117
45.912 1.9750 7.3 ( 0 0 3) 22.956 0.2532 3.1814
47.036 1.9304 2.2 ( 2 0 0) 23.518 0.2590 3.2549
49.629 1.8354 14.9 ( 2 0 1) 24.815 0.2724 3.4233
51.249 1.7811 6.0 ( 1 1 2) 25.625 0.2807 3.5276
51.965 1.7583 2.8 ( 0 1 3) 25.982 0.2844 3.5735
56.885 1.6173 9.0 ( 0 2 2) 28.443 0.3092 3.8849
62.812 1.4782 8.3 ( 1 1 3) 31.406 0.3382 4.2505
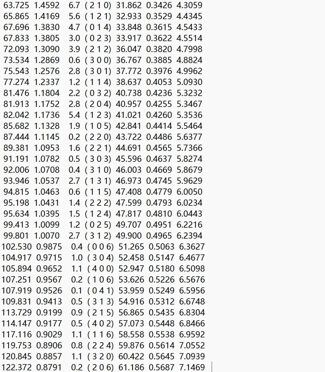
63.725 1.4592 6.7 ( 2 1 0) 31.862 0.3426 4.3059
65.865 1.4169 5.6 ( 1 2 1) 32.933 0.3529 4.4345
67.696 1.3830 4.7 ( 0 1 4) 33.848 0.3615 4.5433
67.833 1.3805 3.0 ( 0 2 3) 33.917 0.3622 4.5514
72.093 1.3090 3.9 ( 2 1 2) 36.047 0.3820 4.7998
73.534 1.2869 0.6 ( 3 0 0) 36.767 0.3885 4.8824
75.543 1.2576 2.8 ( 3 0 1) 37.772 0.3976 4.9962
77.274 1.2337 1.2 ( 1 1 4) 38.637 0.4053 5.0930
81.476 1.1804 2.2 ( 0 3 2) 40.738 0.4236 5.3232
81.913 1.1752 2.8 ( 2 0 4) 40.957 0.4255 5.3467
82.042 1.1736 5.4 ( 1 2 3) 41.021 0.4260 5.3536
85.682 1.1328 1.9 ( 1 0 5) 42.841 0.4414 5.5464
87.444 1.1145 0.2 ( 2 2 0) 43.722 0.4486 5.6377
89.381 1.0953 1.6 ( 2 2 1) 44.691 0.4565 5.7366
91.191 1.0782 0.5 ( 3 0 3) 45.596 0.4637 5.8274
92.006 1.0708 0.4 ( 3 1 0) 46.003 0.4669 5.8679
93.946 1.0537 2.7 ( 1 3 1) 46.973 0.4745 5.9629
94.815 1.0463 0.6 ( 1 1 5) 47.408 0.4779 6.0050
95.198 1.0431 1.4 ( 2 2 2) 47.599 0.4793 6.0234
95.634 1.0395 1.5 ( 1 2 4) 47.817 0.4810 6.0443
99.413 1.0099 1.2 ( 0 2 5) 49.707 0.4951 6.2216
99.801 1.0070 2.7 ( 3 1 2) 49.900 0.4965 6.2394
102.530 0.9875 0.4 ( 0 0 6) 51.265 0.5063 6.3627
104.917 0.9715 1.0 ( 3 0 4) 52.458 0.5147 6.4677
105.894 0.9652 1.1 ( 4 0 0) 52.947 0.5180 6.5098
107.251 0.9567 0.2 ( 1 0 6) 53.626 0.5226 6.5676
107.919 0.9526 0.1 ( 0 4 1) 53.959 0.5249 6.5956
109.831 0.9413 0.5 ( 3 1 3) 54.916 0.5312 6.6748
113.729 0.9199 0.9 ( 2 1 5) 56.865 0.5435 6.8304
114.147 0.9177 0.5 ( 4 0 2) 57.073 0.5448 6.8466
117.116 0.9029 1.1 ( 1 1 6) 58.558 0.5538 6.9592
119.753 0.8906 0.8 ( 2 2 4) 59.876 0.5614 7.0552
120.845 0.8857 1.1 ( 3 2 0) 60.422 0.5645 7.0939
122.372 0.8791 0.2 ( 2 0 6) 61.186 0.5687 7.1469
123.128 0.8760 0.7 ( 3 2 1) 61.564 0.5708 7.1727
124.170 0.8717 0.7 ( 0 3 5) 62.085 0.5736 7.2077
125.161 0.8678 1.8 ( 1 3 4) 62.580 0.5762 7.2405
125.317 0.8672 1.9 ( 4 0 3) 62.658 0.5766 7.2456
130.386 0.8486 0.7 ( 2 3 2) 65.193 0.5892 7.4042
132.217 0.8425 0.1 ( 4 1 0) 66.109 0.5935 7.4579
134.890 0.8341 1.4 ( 4 1 1) 67.445 0.5995 7.5330
137.393 0.8268 0.7 ( 0 1 7) 68.696 0.6047 7.5995
140.738 0.8178 1.6 ( 1 2 6) 70.369 0.6114 7.6827
143.178 0.8119 0.7 ( 2 2 5) 71.589 0.6159 7.7393
143.819 0.8104 1.5 ( 1 4 2) 71.910 0.6170 7.7537
144.780 0.8082 2.3 ( 2 3 3) 72.390 0.6187 7.7746
附图:



感谢你读到这里
七七想与你分享每一个前进的脚印🌼
夜雨聆风