当前位置:首页>文档>2010年江苏省扬州市初中政治试题_中考真题_7.政治中考真题2015-2024年_地区卷_江苏省_扬州中考政治08-22

2010年江苏省扬州市初中政治试题_中考真题_7.政治中考真题2015-2024年_地区卷_江苏省_扬州中考政治08-22

  • 2026-04-14 07:35:46 2026-02-05 13:48:31

文档预览

2010年江苏省扬州市初中政治试题_中考真题_7.政治中考真题2015-2024年_地区卷_江苏省_扬州中考政治08-22
2010年江苏省扬州市初中政治试题_中考真题_7.政治中考真题2015-2024年_地区卷_江苏省_扬州中考政治08-22
2010年江苏省扬州市初中政治试题_中考真题_7.政治中考真题2015-2024年_地区卷_江苏省_扬州中考政治08-22
2010年江苏省扬州市初中政治试题_中考真题_7.政治中考真题2015-2024年_地区卷_江苏省_扬州中考政治08-22
2010年江苏省扬州市初中政治试题_中考真题_7.政治中考真题2015-2024年_地区卷_江苏省_扬州中考政治08-22
2010年江苏省扬州市初中政治试题_中考真题_7.政治中考真题2015-2024年_地区卷_江苏省_扬州中考政治08-22
2010年江苏省扬州市初中政治试题_中考真题_7.政治中考真题2015-2024年_地区卷_江苏省_扬州中考政治08-22
2010年江苏省扬州市初中政治试题_中考真题_7.政治中考真题2015-2024年_地区卷_江苏省_扬州中考政治08-22
2010年江苏省扬州市初中政治试题_中考真题_7.政治中考真题2015-2024年_地区卷_江苏省_扬州中考政治08-22

文档信息

文档格式
doc
文档大小
0.162 MB
文档页数
5 页
上传时间
2026-02-05 13:48:31

文档内容

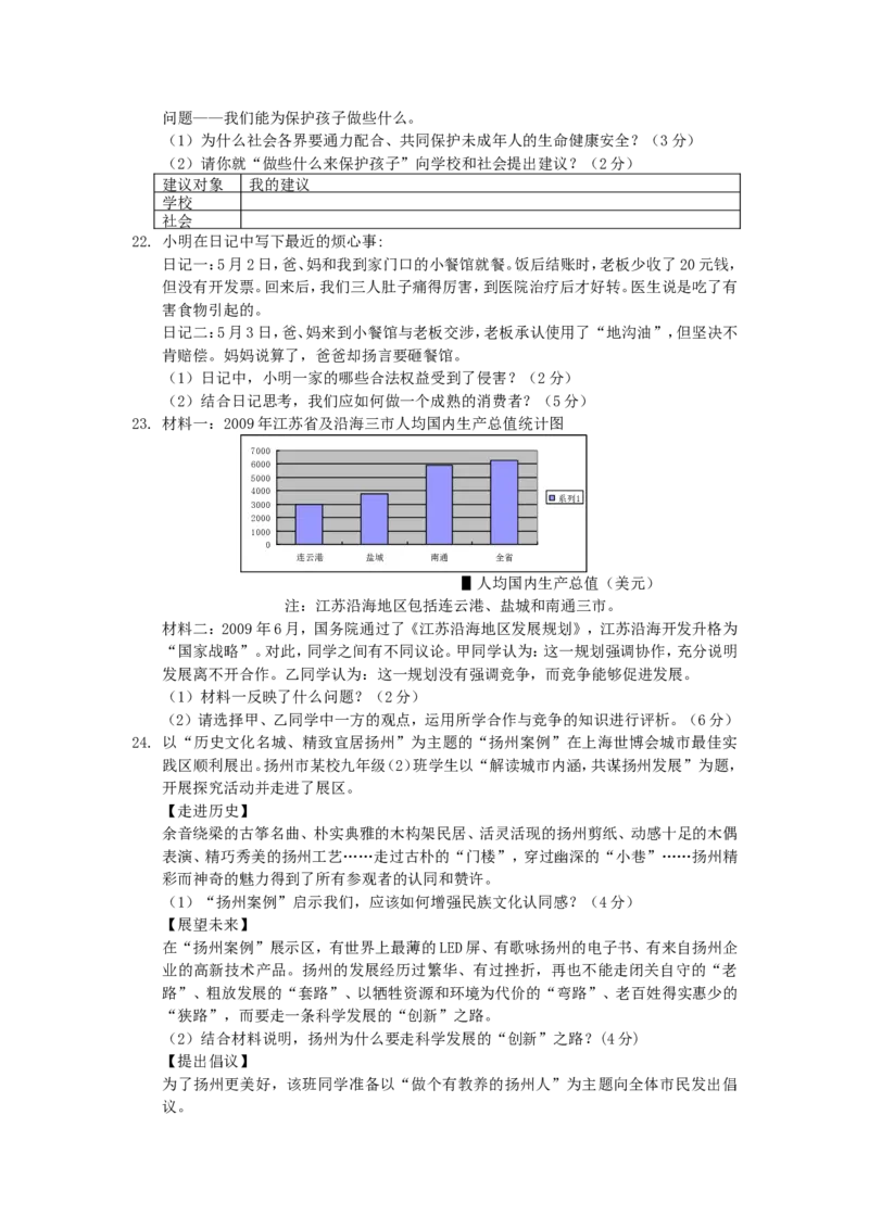
扬州市 2010 年初中毕业、升学统一考试思想品德试题 一、选择题(下列各题只有一个最符合题意的答案,请将所选答案填涂在答题卡上相应的答 题栏内。每小题1分,共20分。) 1. 2009年9月,中国共产党第十七届中央委员会第四次全体会议在北京召开。会议审议通 过了《中共中央关于加强和改进新形势下 若干重大问题的决定》。 A.农村建设 B.民主建设 C.文化建设 D.党的建设 2. 2009年我国国民经济形势总体回升向好,全年国内生产总值33.5万亿元,比去年增长 。 A.7.8% B.8.0% C.8.7% D.9.2% 3. 2009年10月,我国成功研制出千万亿次超级计算机系统——“ ”,成为世界上第 二个研制出此类计算机系统的国家。 A.银河一号 B.天河一号 C.嫦娥一号 D.飞天一号 4. 2010年2月,国际奥委会第122次全会决定,将2014年第二届夏季青年奥林匹克运动 会的承办权授予中国的 市。 A.扬州 B.南京 C.济南 D.广州 5. 2010年1月1日, 自由贸易区正式启动。这是由发展中国家组成的最大自由贸易 区。 A.中国—东盟 B.中国-非盟 C.中国-欧盟 D.中国-阿盟 6. “民族海宝”亮相上海世博会,体现了我国各民族的 A.宗教信仰相同 B.风俗习惯相同 C.文化权利平等 D.语言文字相同 7. 青海玉树地震发生后,胡锦涛主席来到了玉树,勉励灾区学生:“新校园,会有的!新家 园,会有的!”这句话启示我们 A.只要树立信心,就一定能取得胜利 B.面对困难,树立信心尤为重要 C.只要动手去做,就能实现自己的理想 D.克服自卑,灾后重建就能成功 8. 对“交往有度,纯化友谊”中的“度”理解正确的是 A.掌握分寸 B.随心所欲 C.谨小慎微 D.小肚鸡肠 9. “海纳百川,有容乃大”是一种美德。下列说法中,与其意思最接近的是 A.与人善言,暖于布帛 B.一言既出,驷马难追 C.严于律己,宽以待人 D.授人玫瑰,手留余香 10. 右侧漫画中的“贼”侵犯了他人的 A.隐私权 B.受教育权 C.荣誉权 D.知识产权 11. 右侧漫画中的“父亲”教育“儿子”,合适的话是 A.人生一世为名利,不择手段亦英雄 B.诚实做人终觉亏,投机取巧何不为C.自己钻研枉费神,欲求成功找捷径 D.书山有路勤为径,学海无涯苦作舟 12. “江山易改,禀性难移”表达的意思是 A.改变习惯不可能 B.有毅力就能形成好习惯 C.改变习惯不容易 D.想改变就能改变坏习惯 13. 下列做法中,属于对自己行为负责的是 ①有人破坏景观灯,我报警 ②有人乱闯红灯,我也闯 ③有人乱贴小广告,我举报 ④有人乱扔垃圾,我也扔 A.①② B.①③ C.②④ D.③④ 14. 国务院通过的《国家中长期教育改革和发展规划纲要》提出了“优先发展、育人为本、改 革创新、促进公平、提高质量”的工作方针。这表明,在我国 A.发展教育应作为一切工作的中心 B.应试教育与素质教育相比更有优势 C.不同地区教育发展水平完全一致 D.教育是发展科技和培养人才的基础 15. “权利是果,义务是花,只有辛勤浇花,方能结出硕果。 ”这句话形象地比喻了公民权 利和义务的 A.一致性 B.广泛性 C.真实性 D.对等性 16. 2009年9月,国务院新闻办公室发表了《中国的民族政策与各民族共同繁荣发展》的白 皮书。我国的基本民族政策是 A.民族平等 B.民族区域自治制度 C.民族团结 D.西部大开发战略 17. 十一届全国人大三次会议通过的《选举法》修正案规定,我国将实行城乡按相同人口比 例选举人大代表。这表明,我国城乡居民将平等地享有 A.监督权 B.政治自由 C.选举权 D.人身自由权 18. 党中央高度关注“三农”问题。连续七年的中央“一号文件”推出了多项强农惠农政 策。这有助于 ①人民群众共享经济繁荣成果 ②实现社会公平 ③建立社会主义基本经济制度 ④保持同步富裕 A.①② B.①③ C.②③ D.②④ 19. 新中国成立60年来,我国在政治、经济、文化建设等方面取得巨大成就,国际竞争力不 断增强。当前国际竞争的实质是以 实力为基础的综合国力的较量。 A.政治与经济 B.经济与科技 C.科技与文化 D.政治与军事 20. 右侧漫画反映了某些生产经营者 A.具有创新精神 B.懂得合法经营 C.缺乏诚信观念 D.善守商业机密 二、非选择题(共30分.其中21题5分,22题7分,23题8分,24题10分。) 21. 我国个别地区发生针对未成年学生的伤害案件后,社会各界高度关注校园安全。党中央、 国务院高度重视,教育、公安、司法等部门也积极行动起来。整个社会都在思考这样一个问题——我们能为保护孩子做些什么。 (1)为什么社会各界要通力配合、共同保护未成年人的生命健康安全?(3分) (2)请你就“做些什么来保护孩子”向学校和社会提出建议?(2分) 建议对象 我的建议 学校 社会 22. 小明在日记中写下最近的烦心事: 日记一:5月2日,爸、妈和我到家门口的小餐馆就餐。饭后结账时,老板少收了20元钱, 但没有开发票。回来后,我们三人肚子痛得厉害,到医院治疗后才好转。医生说是吃了有 害食物引起的。 日记二:5月3日,爸、妈来到小餐馆与老板交涉,老板承认使用了“地沟油”,但坚决不 肯赔偿。妈妈说算了,爸爸却扬言要砸餐馆。 (1)日记中,小明一家的哪些合法权益受到了侵害?(2分) (2)结合日记思考,我们应如何做一个成熟的消费者?(5分) 23. 材料一:2009年江苏省及沿海三市人均国内生产总值统计图 7000 6000 5000 4000 系列1 3000 2000 1000 0 连云港 盐城 南通 全省 ▋人均国内生产总值(美元) 注:江苏沿海地区包括连云港、盐城和南通三市。 材料二:2009年6月,国务院通过了《江苏沿海地区发展规划》,江苏沿海开发升格为 “国家战略”。对此,同学之间有不同议论。甲同学认为:这一规划强调协作,充分说明 发展离不开合作。乙同学认为:这一规划没有强调竞争,而竞争能够促进发展。 (1)材料一反映了什么问题?(2分) (2)请选择甲、乙同学中一方的观点,运用所学合作与竞争的知识进行评析。(6分) 24. 以“历史文化名城、精致宜居扬州”为主题的“扬州案例”在上海世博会城市最佳实 践区顺利展出。扬州市某校九年级(2)班学生以“解读城市内涵,共谋扬州发展”为题, 开展探究活动并走进了展区。 【走进历史】 余音绕梁的古筝名曲、朴实典雅的木构架民居、活灵活现的扬州剪纸、动感十足的木偶 表演、精巧秀美的扬州工艺……走过古朴的“门楼”,穿过幽深的“小巷”……扬州精 彩而神奇的魅力得到了所有参观者的认同和赞许。 (1)“扬州案例”启示我们,应该如何增强民族文化认同感?(4分) 【展望未来】 在“扬州案例”展示区,有世界上最薄的LED屏、有歌咏扬州的电子书、有来自扬州企 业的高新技术产品。扬州的发展经历过繁华、有过挫折,再也不能走闭关自守的“老 路”、粗放发展的“套路”、以牺牲资源和环境为代价的“弯路”、老百姓得实惠少的 “狭路”,而要走一条科学发展的“创新”之路。 (2)结合材料说明,扬州为什么要走科学发展的“创新”之路?(4分) 【提出倡议】 为了扬州更美好,该班同学准备以“做个有教养的扬州人”为主题向全体市民发出倡 议。(3)请结合所学知识,从以下两方面写出你的倡议要点(40字以内).(2分) 道德品质方面: 行为习惯方面: 参考答案: 一、选择题:1-10 DCBBACBACD 11-20 DCBDABCABC 二、非选择题 21.(1)未成年人作为社会弱势群体,作为国家未来建设的生力军,对他们加以保护是考察一 国人权水平的重要方面;(1分) 当前侵害未成年人生命健康权的现象仍大量存在,为他们创 造一个安全健康的生存环境显得尤为重要;(1分)保护未成年人的生命健康权时家庭、学校 国家和社会的共同责任,需要社会各方面通力合作,相互配合。(1分) (2)学校:加强安全教育、校园管理,提供安全的活动场所与活动设施等;(1分) 社会:加强治安管理,优化校园周边环境,提供良好的活动条件、场所等(1分) (本问具有开放性,如言之有理,可酌情给分) 22.(1)侵害了小明一家的人身安全权、知情权、公平交易权、求偿权。(2分)(答出其中两点 给1分,答出三点给2分) (2)消费者应努力掌握所需服务的知识与技能;(1分)主动索要发票:(1分)要尽量接受正 规服务,少到不正规餐馆就餐;(1分)要善于识别消费陷阱,提防上当受骗;(1分)当合法权 益受到侵害时,应正确维权。(1分) 23.(1)当前江苏沿海三市的人均国内生产总值都低于全省平均水平,经济发展水平相对较 低。(2分) (2)选择甲同学观点: ①江苏沿海地区的发展离不开合作。(1分)只有通过合作才能把有限的人力、物力、财力集 中起来,加快江苏沿海地区的建设;(1分)只有通过合作才能实现优势互补,促进区域经济 协调发展:(1分)只有通过合作才能扬长避短,联合参与国际分工,促进整体发展。(1分) ②合作也离不开竞争。(1分)合作往往是不同竞争对象之间的合作,合作之中仍然存在各种 不同的利益,存在着相互竞争。只有在合作中竞争,在竞争中合作,才能不断取得发展。(1 分) 所以,甲同学强调合作是正确的,但也不能忽视竞争。 选择乙同学观点: ①江苏沿海地区的发展离不开竞争。(1分)各种竞争,归根到底是人的竞争。竞争能促进人 的成长进步和全面发展;(1分)竞争能增强整体的凝聚力和战斗力;(1分)竞争能优化资源 配置,增强创新能力,提高经济效益。(1分) ②竞争也需要合作。(1分)在竞争过程中,需要交流信息,需要相互鼓励和支持,需要相互学 习、取长补短。只有在合作中竞争,在竞争中合作,才能不断取得发展。(1分) 所以,乙同学强调竞争是正确的,但也不能忽视合作。 24.(1)要积极继承优秀的传统文化,大力弘扬中华民族的传统美德和民族精神。(1分)要防 止和剔除民族文化中消极、落后成分,与现代社会相适应,与现代文明相协调;(1分)要随着 时代的进步,在实践中不断推进民族文化的创新与发展;(1分)要吸收世界文化的优秀成果, 建设中国特色社会主义先进文化。(1分) (2)勇于创新是扬州战胜困难和挫折的必由之路:(1分)创新精神是中华民族精神的重要内 容,创新是民族进步的灵魂,是国家兴旺发达的不竭动力,也是扬州赶超发达地区,实现全面 小康的动力。(1分)“老路”、“套路”、“弯路”、“狭路”都违背了科学发展观,(1分) 只有落实科学发展观才能保持扬州经济社会全面、和谐、可持续发展。(1分) (3)道德品质方面:懂礼节、胸怀宽广、不盲目自大、懂得尊重别人等:(1分)行为习惯方面:有礼貌、尊重别人、注重生活细节等。(1分)本问具有开放性,回答时应体现 主题要求、围绕书本知识作答。若未运用书本知识作答,言之有理可给1分)