当前位置:首页>文档>数学(湖南卷)(参考答案及评分标准)_2数学总复习_赠送:2024中考模拟题数学_一模_数学(湖南卷)-2024年中考第一次模拟考试

数学(湖南卷)(参考答案及评分标准)_2数学总复习_赠送:2024中考模拟题数学_一模_数学(湖南卷)-2024年中考第一次模拟考试

  • 2026-04-13 13:17:32 2026-02-06 00:59:47

文档预览

数学(湖南卷)(参考答案及评分标准)_2数学总复习_赠送:2024中考模拟题数学_一模_数学(湖南卷)-2024年中考第一次模拟考试
数学(湖南卷)(参考答案及评分标准)_2数学总复习_赠送:2024中考模拟题数学_一模_数学(湖南卷)-2024年中考第一次模拟考试
数学(湖南卷)(参考答案及评分标准)_2数学总复习_赠送:2024中考模拟题数学_一模_数学(湖南卷)-2024年中考第一次模拟考试
数学(湖南卷)(参考答案及评分标准)_2数学总复习_赠送:2024中考模拟题数学_一模_数学(湖南卷)-2024年中考第一次模拟考试
数学(湖南卷)(参考答案及评分标准)_2数学总复习_赠送:2024中考模拟题数学_一模_数学(湖南卷)-2024年中考第一次模拟考试
数学(湖南卷)(参考答案及评分标准)_2数学总复习_赠送:2024中考模拟题数学_一模_数学(湖南卷)-2024年中考第一次模拟考试
数学(湖南卷)(参考答案及评分标准)_2数学总复习_赠送:2024中考模拟题数学_一模_数学(湖南卷)-2024年中考第一次模拟考试
数学(湖南卷)(参考答案及评分标准)_2数学总复习_赠送:2024中考模拟题数学_一模_数学(湖南卷)-2024年中考第一次模拟考试
数学(湖南卷)(参考答案及评分标准)_2数学总复习_赠送:2024中考模拟题数学_一模_数学(湖南卷)-2024年中考第一次模拟考试
数学(湖南卷)(参考答案及评分标准)_2数学总复习_赠送:2024中考模拟题数学_一模_数学(湖南卷)-2024年中考第一次模拟考试
数学(湖南卷)(参考答案及评分标准)_2数学总复习_赠送:2024中考模拟题数学_一模_数学(湖南卷)-2024年中考第一次模拟考试
数学(湖南卷)(参考答案及评分标准)_2数学总复习_赠送:2024中考模拟题数学_一模_数学(湖南卷)-2024年中考第一次模拟考试
数学(湖南卷)(参考答案及评分标准)_2数学总复习_赠送:2024中考模拟题数学_一模_数学(湖南卷)-2024年中考第一次模拟考试

文档信息

文档格式
docx
文档大小
0.527 MB
文档页数
9 页
上传时间
2026-02-06 00:59:47

文档内容

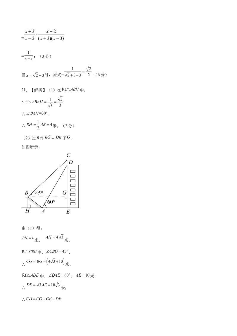
2024 年中考第一次模拟考试(湖南卷) 数学·参考答案 第Ⅰ卷 一、选择题(本大题共10个小题,每小题3分,共30分.在每个小题给出的四个选项中,只有一项符合 题目要求,请选出并在答题卡上将该项涂黑) 1 2 3 4 5 6 7 8 9 10 B A D C A C D B C B 第Ⅱ卷 二、填空题(本大题共8小题,每小题3分,共24分) 11. 12. 13. 14. /18度 15. / 16. 17. 18. / 三、解答题(本大题共8个小题,第19、20、21题每题6分,第22、23题每题8分,第24、25题每题10 分,第26题12分,共66分) 19.【解析】 .(6分) 20.【解析】原式== = ;(3分) 当 时,原式= .(6分) 21.【解析】(1)在 中, ∴ , ∴ 米;(2分) (2)过 作 于 , 如图所示: 由(1)得: 米, 米, 中, , ∴ 米, 中, , 米, ∴ 米, ∴米 答:广告牌 的高度约为 米.(6分) 22.【解析】(1)证明:由题意得 , 四边形 是平行四边形, ,点 为 中点, ,即 , 四边形 为矩形;(4分) (2)∵四边形 为矩形, , ∵点 为 中点, 在 中, , 解得: 在 中, , 故 的长为 .(8分) 23.【解析】(1)九年级(1)班的学生人数 (人), 投中2次的人数为: (人), 扇形统计图中 , 故答案为:40,55;(2分) (2)扇形统计图中“3次”对应的圆心角的度数为: , 故答案为:36;(4分) (3)画树状图如下:由图可知,共有12种等可能的情况,其中恰好抽到一男一女的情况有8种, , 即恰好抽到一男一女的概率是 .(8分) 24.【解析】(1)证明:由平移的性质,得: , 轴,且 在 轴上, , . , , 四边形 为平行四边形;(3分) (2)连接 ,如图 所示. 四边形 为平行四边形, , 又 , 四边形 是平行四边形, , , 三点共线. 轴, 在 轴上, ,四边形 是平行四边形, . 点 的坐标为 , , 点 的坐标为 . 点 在反比例函数 的图象上, , 反比例函数的表达式为 ;(7分) (3)连接 ,如图 所示. 在 中, , , 平移的距离为 , 四边形 是平行四边形, , 线段 扫过的面积为 .(10分) 25.【解析】(1)∵ 是 的直径, ∴ , ∴ .(2分) (2)连接 ,如图所示:∵ , ∴ , ∵ 是 的切线, ∴ , ∴ , , 又∵ , ∴ , ∴ , ∴ , ∴ 是等边三角形. ∴ , ∴弧 的长度 , 在 中, , , ∴ , ∴ , ∴阴影部分的周长为: .(5分) (3)连接 , ,过 作 于 点,如图所示:∵ , ∴设 ,则 , , 由 得: , ∵ , , ∴ , ∴ , ∴ , ∴ , ∴ .(10分) 26.【解析】(1)∵抛物线 的对称轴为直线 ,极限分割线为 , 极限分割线与这条抛物线的一个交点坐标为 ,则另一个交点坐标为 . 故答案为: 和 .(4分) (2)抛物线经过点 , ∴ ∴ ∴ , 解得 ∴点D的坐标为 .(8分) (3)①设 与对称轴交于点 ,若 ,则 .∵点C的坐标为 ,点D的坐标为 .. ∴ , ∴ , ∴ , 解得 . ∵抛物线 的顶点为 , ∴抛物线 的顶点为 , ∴当 时, ,故顶点为 ; ∴当 时, ,故顶点为 ; ∴顶点为 或顶点为 .(10分) 存在, 或 或 . 如图,设 与对称轴的交点为 .由 知, ,抛物线 的顶点为 ,∴抛物线 的极限分割线 : , 直线 垂直平分 , ∴直线 : , ∴点 到直线 的距离为 ; 直线 与直线 关于极限分割线 对称, 直线 : , ∵ , ∴点 到直线 的距离为 , 点 到直线 的距离与点 到直线 的距离相等, ∴ , ∴ 或 , 解得 或 或 , 故 或 或 .(12分)