当前位置:首页>文档>第一章集合与常用逻辑用语章末检测一轮复习讲义2024年高考数学高频考点题型归纳与方法总结(新高考通用)参考答案_02高考数学_新高考复习资料_2024年新高考资料_一轮复习资料

第一章集合与常用逻辑用语章末检测一轮复习讲义2024年高考数学高频考点题型归纳与方法总结(新高考通用)参考答案_02高考数学_新高考复习资料_2024年新高考资料_一轮复习资料

  • 2026-04-19 06:48:48 2026-04-19 06:48:48

文档预览

第一章集合与常用逻辑用语章末检测一轮复习讲义2024年高考数学高频考点题型归纳与方法总结(新高考通用)参考答案_02高考数学_新高考复习资料_2024年新高考资料_一轮复习资料
第一章集合与常用逻辑用语章末检测一轮复习讲义2024年高考数学高频考点题型归纳与方法总结(新高考通用)参考答案_02高考数学_新高考复习资料_2024年新高考资料_一轮复习资料
第一章集合与常用逻辑用语章末检测一轮复习讲义2024年高考数学高频考点题型归纳与方法总结(新高考通用)参考答案_02高考数学_新高考复习资料_2024年新高考资料_一轮复习资料
第一章集合与常用逻辑用语章末检测一轮复习讲义2024年高考数学高频考点题型归纳与方法总结(新高考通用)参考答案_02高考数学_新高考复习资料_2024年新高考资料_一轮复习资料
第一章集合与常用逻辑用语章末检测一轮复习讲义2024年高考数学高频考点题型归纳与方法总结(新高考通用)参考答案_02高考数学_新高考复习资料_2024年新高考资料_一轮复习资料
第一章集合与常用逻辑用语章末检测一轮复习讲义2024年高考数学高频考点题型归纳与方法总结(新高考通用)参考答案_02高考数学_新高考复习资料_2024年新高考资料_一轮复习资料

文档信息

文档格式
docx
文档大小
0.212 MB
文档页数
3 页
上传时间
2026-04-19 06:48:48

文档内容

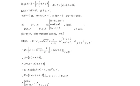
第一章 集合与常用逻辑用语章末检测 参考答案 1.C 2.A 3.B 4.C 5.C 6.C 7.A 8.B 9.ABD 10.BD 11.ACD 12.BCD 13.充分不必要 14.0或1 15. 16.-4或0 17.解:(1)当 时, , , 所以 , (2)若 ,则 , 当 时, ,可得 ,此时符合题意, 当 时,若 则 ,解得: , 综上所述:实数 的取值范围为: . 18.解:(1)∵ ,∴ ,∴ 且 , ∴ 且 , 又 , ∴ ; (2)若选① ,则 , ∵ 且 ,∴ , ∴ ,∴ , ∴实数 的取值范围为 ; 若选② 是 的充分条件,则 , ∵ 且 ,∴ , ∴ ,∴ , ∴实数 的取值范围为 . 19.解:(1)命题p:“ , ”是真命题,故 ,所以 ,解得 , 故m的取值范围是 . (2)由于命题q为真命题,则 , 因为 ,所以 ,所以 , 当 时,一定有 , 要想满足 ,则要满足 ,解得 , 故 时, , 故m的取值范围为 . 20.解:(1)证明:当 时, , 则 ,即: ,解得: , 所以 是关于x的方程 有解的一个充分条件. (2)当 时,因为方程 有一个正根和一个负根, 所以 ,解得: 反之,当 时, ,且 , 所以 有一个正根和一个负根,满足条件. 所以,当 时,关于x的方程 有一个正根和一个负根的充要条件为 . 21.解:(1)由q真: ,得 或 , 所以q假: ; (2)p真: 推出 , 由 和 有且只有一个为真命题, 真 假,或 假 真, 或 ,或 或 . 22.解:(1)因为 , , , ,则 的可能情况有: , , , , , , 所以 , . (2)充分性:若 是等差数列,设公差为d. 因为数列 是递增数列,所以 . 则当 时, , 所以 , . 必要性:若 . 因为 是递增数列,所以 , 所以 ,且互不相等, 所以 . 又 , 所以 ,且互不相等. 所以 , 所以 , 所以 为等差数列. (3)因为数列A由1,2,3,…,11,22这12个数组成,任意两个不同的数作差, 差值只可能为 和 ,共42个不同的值; ∵这12个数在数列 中每个至少出现一次, ∴当 时, 和 这两个数中至少有一个在集合 中, ∵这12个数在数列 中共出现23次,所以数列 中存在 , ∴ , 当数列 :1,2,3,…,11,22,11,10,…,2,1. 有 , . 则 的最大值为43.