当前位置:首页>文档>2015考研数学三真题及答案解析公众号:小乖考研免费分享_06.数学三历年真题_普通版本数学三_2003-2017考研数(三)真题及详解

2015考研数学三真题及答案解析公众号:小乖考研免费分享_06.数学三历年真题_普通版本数学三_2003-2017考研数(三)真题及详解

  • 2026-04-16 15:47:55 2026-02-06 17:54:45

文档预览

2015考研数学三真题及答案解析公众号:小乖考研免费分享_06.数学三历年真题_普通版本数学三_2003-2017考研数(三)真题及详解
2015考研数学三真题及答案解析公众号:小乖考研免费分享_06.数学三历年真题_普通版本数学三_2003-2017考研数(三)真题及详解
2015考研数学三真题及答案解析公众号:小乖考研免费分享_06.数学三历年真题_普通版本数学三_2003-2017考研数(三)真题及详解
2015考研数学三真题及答案解析公众号:小乖考研免费分享_06.数学三历年真题_普通版本数学三_2003-2017考研数(三)真题及详解
2015考研数学三真题及答案解析公众号:小乖考研免费分享_06.数学三历年真题_普通版本数学三_2003-2017考研数(三)真题及详解
2015考研数学三真题及答案解析公众号:小乖考研免费分享_06.数学三历年真题_普通版本数学三_2003-2017考研数(三)真题及详解
2015考研数学三真题及答案解析公众号:小乖考研免费分享_06.数学三历年真题_普通版本数学三_2003-2017考研数(三)真题及详解
2015考研数学三真题及答案解析公众号:小乖考研免费分享_06.数学三历年真题_普通版本数学三_2003-2017考研数(三)真题及详解
2015考研数学三真题及答案解析公众号:小乖考研免费分享_06.数学三历年真题_普通版本数学三_2003-2017考研数(三)真题及详解
2015考研数学三真题及答案解析公众号:小乖考研免费分享_06.数学三历年真题_普通版本数学三_2003-2017考研数(三)真题及详解
2015考研数学三真题及答案解析公众号:小乖考研免费分享_06.数学三历年真题_普通版本数学三_2003-2017考研数(三)真题及详解
2015考研数学三真题及答案解析公众号:小乖考研免费分享_06.数学三历年真题_普通版本数学三_2003-2017考研数(三)真题及详解
2015考研数学三真题及答案解析公众号:小乖考研免费分享_06.数学三历年真题_普通版本数学三_2003-2017考研数(三)真题及详解
2015考研数学三真题及答案解析公众号:小乖考研免费分享_06.数学三历年真题_普通版本数学三_2003-2017考研数(三)真题及详解
2015考研数学三真题及答案解析公众号:小乖考研免费分享_06.数学三历年真题_普通版本数学三_2003-2017考研数(三)真题及详解
2015考研数学三真题及答案解析公众号:小乖考研免费分享_06.数学三历年真题_普通版本数学三_2003-2017考研数(三)真题及详解
2015考研数学三真题及答案解析公众号:小乖考研免费分享_06.数学三历年真题_普通版本数学三_2003-2017考研数(三)真题及详解

文档信息

文档格式
doc
文档大小
0.587 MB
文档页数
13 页
上传时间
2026-02-06 17:54:45

文档内容

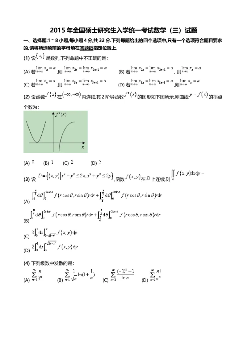
2015 年全国硕士研究生入学统一考试数学(三)试题 一、选择题:1 8小题,每小题4分,共32分.下列每题给出的四个选项中,只有一个选项符合题目要求 的,请将所选项前的字母填在答题纸指定位置上. (1) 设 是数列,下列命题中不正确的是: (A) 若 ,则 (B) 若 , 则 (C) 若 ,则 (D) 若 ,则 (2) 设函数 在 内连续,其2阶导函数 的图形如下图所示,则曲线 的拐点 个数为: (A) (B) (C) (D) (3) 设 ,函数 在 上连续,则 (A) (B) (C) (D) (4) 下列级数中发散的是: (A) (B) (C) (D)(5) 设矩阵 , .若集合 ,则线性方程组 有无穷多解的充分必 要条件为: (A) (B) (C) (D) (6) 设二次型 在正交变换为 下的标准形为 ,其中 ,若 ,则 在正交变换 下的标准形为: (A) (B) (C) (D) (7) 若 为任意两个随机事件,则: (A) (B) (C) (D) (8) 设总体 为来自该总体的简单随机样本, 为样本均值,则 (A) (B) (C) (D) 二、填空题:9 14小题,每小题4分,共24分.请将答案写在答题纸指定位置上. (9) (10) 设函数 连续, 若 则 (11) 若函数 由方程 确定,则 (12) 设函数 是微分方程 的解,且在 处取得极值3,则 (13) 设 阶矩阵 的特征值为 , 其中E为 阶单位矩阵,则行列式 (14) 设二维随机变量 服从正态分布 ,则三、解答题:15~23小题,共94分.请将解答写在答题纸指定位置上.解答应写出文字说明、证明过 程或演算步骤. (15) (本题满分10分) 设函数 , ,若 与 在 是等价无穷小,求 的值. (16) (本题满分10 分) 计算二重积分 ,其中 (17) (本题满分10分) 为了实现利润的最大化,厂商需要对某商品确定其定价模型,设 为该商品的需求量, 为价格, MC为边际成本, 为需求弹性 . (I) 证明定价模型为 ; (II) 若该商品的成本函数为 ,需求函数为 ,试由(I)中的定价模型确定 此商品的价格. (18) (本题满分10分) 设函数 在定义域 上的导数大于零,若对任意的 ,由线 在点 处的切 线与直线 及 轴所围成区域的面积恒为4,且 ,求 的表达式. (19) (本题满分 10分) (I) 设函数 可导,利用导数定义证明 (II) 设函数 可导, ,写出 的求导公式. (20) (本题满分11分) 设矩阵 ,且 . (I) 求 的值; (II)若矩阵 满足 ,其中 为3阶单位矩阵,求 .(21) (本题满分11分) 设矩阵 相似于矩阵 . (I)求 的值; (II)求可逆矩阵 ,使 为对角矩阵. (22) (本题满分11分) 设随机变量 的概率密度为 对 进行独立重复的观测,直到 个大于 的观测值出现的停止.记 为观测次数. (I) 求 的概率分布; (II) 求 (23) (本题满分11分) 设总体 的概率密度为 其中 为未知参数, 为来自总体 的简单随机样本. (I) 求 的矩估计量. (II) 求 的最大似然估计量. 2015 年全国硕士研究生入学统一考试数学(三)答案 (1) 【答案】(D) 【考查分析】本题考查数列极限与子列极限的关系. 【详解】数列收敛,那么它的任何无穷子数列均收敛,所以(A)与(C)正确;一个数列存在多个无穷子 列并集包含原数列所有项,且这些子列均收敛于同一个值,则原数列是收敛的.(B)正确,(D)错,故选 (D). (2) 【答案】(C) 【考查分析】本题考查曲线的拐点. 【详解】拐点出现在二阶导数等于零,或二阶导数不存在的点,并且在这点的左右两侧二阶导函数 异号.因此,由 的图形可得,曲线 存在两个拐点.故选(C).(3) 【答案】(B) 【考查分析】本题考查直角坐标和极坐标的转换. 【详解】在极坐标系下该二重积分要分成两个积分区域 所以 ,选(B). (4) 【答案】(C) 【考查分析】本题考查数项级数的敛散性. 【详解】选项(A), 为正项级数,因为 ,所以根据正项级数的比值 判别法 收敛;选项(B), 为正项级数,因为 ,根据 级数收 敛准则,知 收敛; 选项(C), ,根据莱布尼茨判别法知 收敛, 发散, 所以根据级数收敛定义知, 发散; 选项(D), 为正项级数,因为 ,所以 根据正项级数的比值判别法 收敛,所以选(C). (5) 【答案】(D) 【考查分析】本题考查非齐次线性方程组解的判定 【详解】对增广矩阵进行初等行变换,得到 由 ,故 或 ,同时 或 .故选(D).(6) 【答案】(A) 【考查分析】本题考查二次型的正交变换. 【详解】由 ,故 .且 . 所以 .选(A). (7) 【答案】(C) 【考查分析】本题考查概率的性质. 【详解】由于 ,按概率的基本性质,我们有 且 , 从而 ,选(C). (8) 【答案】(B) 【考查分析】本题考查统计量的数字特征. 【详解】根据样本方差 的性质 ,而 , 从而 ,选(B). (9) 【答案】 【考查分析】本题考查 型未定式极限. 【详解】方法一: 方法二:(10) 【答案】 【考查分析】本题考查变上限积分函数求导. 【详解】因为 连续,所以 可导,所以 ; 因为 ,所以 又因为 ,所以 故 (11) 【答案】 【考查分析】本题考查隐函数的全微分. 【详解】当 , 时代入 ,得 . 对 两边求微分,得 把 , , 代入上式,得 所以 (12) 【答案】 【考查分析】本题考查二阶常系数齐次线性微分方程的解的结构和性质. 【详解】 的特征方程为 ,特征根为 , , 所以该齐次微分方程的通解为 , 因为 可导,所以 为驻点, 即 , ,所以 , , 故 (13) 【答案】 【考查分析】本题考查抽象型行列式的计算. 【详解】 的所有特征值为 的所有特征值为所以 . (14) 【答案】 【考查分析】本题考查二维正态分布的性质. 【详解】由题设知, ,且 相互独立,从而 . (15) 【答案】 【考查分析】本题考查利用等价无穷小的定义求参数. 【详解】方法一:利用泰勒公式. 即 方法二:利用洛必达法则. 因为分母的极限为 ,则分子的极限为 ,即,分母的极限为 ,则分子的极限为 ,即 ,则 . (16) 【答案】 【考查分析】本题考查利用简化性质计算二重积分. 【详解】 (17) 【答案】(I)略 (II) . 【考查分析】本题考查导数的经济应用. 【详解】(I)由于利润函数 ,两边对 求导,得 . 当且仅当 时,利润 最大,又由于 ,所以 , 故当 时,利润最大. 23(II)由于 ,则 代入(I)中的定价模型,得 ,从而解得 . (18) 【答案】 . 【考查分析】本题考查导数的几何应用和一阶微分方程求解. 【详解】设 在点 处的切线方程为: 令 ,得到 . 由题意, ,即 , 转化为一阶微分方程 , 分离变量得到通解为: , 已知 ,得到 ,因此 ; 即 . (19) 【考查分析】本题考查导数的定义和导数的四则运算法则. 【详解】(I) (II) 由题意得(20) 【答案】 【考查分析】本题结合矩阵方程考查矩阵的运算. 【详解】(I) (II)由题意知 , (21) 【答案】(I) . (II) ,则 . 【考查分析】本题考查相似矩阵和矩阵的相似对角化. 【详解】(I) 则 即 .即 整理得到 (II) 的特征值 . 当 时, 的基础解系为 当 时, 的基础解系为 ,则 的特征值为 . 令 ,则 . (22) 【答案】(I) , . (II) . 【考查分析】本题考查离散型随机变量的概率分布和数学期望. 【详解】(I) 记 为观测值大于 的概率,则 . 的概率分布为 ,(II) 记 ,则 , 从而 . (23) 【答案】(I) . (II) . 【考查分析】本题考查矩估计和最大似然估计. 【详解】(I) . 令 ,即 ,解得 . 为 的矩估计量,其中 ; (II) 似然函数 当 时, , 取对数,得到 . 求导,得到 , 则 越大,似然函数 越大,但是 , 所以当 时,似然函数 最大. 为 的最大似然估计量.