当前位置:首页>文档>2017年考研数学二试题及答案解析公众号:小乖考研免费分享_05.数学二历年真题_普通版本数学二_2017年考研数学二真题及解析

2017年考研数学二试题及答案解析公众号:小乖考研免费分享_05.数学二历年真题_普通版本数学二_2017年考研数学二真题及解析

  • 2026-04-15 10:47:59 2026-02-06 17:57:24

文档预览

2017年考研数学二试题及答案解析公众号:小乖考研免费分享_05.数学二历年真题_普通版本数学二_2017年考研数学二真题及解析
2017年考研数学二试题及答案解析公众号:小乖考研免费分享_05.数学二历年真题_普通版本数学二_2017年考研数学二真题及解析
2017年考研数学二试题及答案解析公众号:小乖考研免费分享_05.数学二历年真题_普通版本数学二_2017年考研数学二真题及解析
2017年考研数学二试题及答案解析公众号:小乖考研免费分享_05.数学二历年真题_普通版本数学二_2017年考研数学二真题及解析
2017年考研数学二试题及答案解析公众号:小乖考研免费分享_05.数学二历年真题_普通版本数学二_2017年考研数学二真题及解析
2017年考研数学二试题及答案解析公众号:小乖考研免费分享_05.数学二历年真题_普通版本数学二_2017年考研数学二真题及解析
2017年考研数学二试题及答案解析公众号:小乖考研免费分享_05.数学二历年真题_普通版本数学二_2017年考研数学二真题及解析
2017年考研数学二试题及答案解析公众号:小乖考研免费分享_05.数学二历年真题_普通版本数学二_2017年考研数学二真题及解析
2017年考研数学二试题及答案解析公众号:小乖考研免费分享_05.数学二历年真题_普通版本数学二_2017年考研数学二真题及解析
2017年考研数学二试题及答案解析公众号:小乖考研免费分享_05.数学二历年真题_普通版本数学二_2017年考研数学二真题及解析
2017年考研数学二试题及答案解析公众号:小乖考研免费分享_05.数学二历年真题_普通版本数学二_2017年考研数学二真题及解析
2017年考研数学二试题及答案解析公众号:小乖考研免费分享_05.数学二历年真题_普通版本数学二_2017年考研数学二真题及解析
2017年考研数学二试题及答案解析公众号:小乖考研免费分享_05.数学二历年真题_普通版本数学二_2017年考研数学二真题及解析
2017年考研数学二试题及答案解析公众号:小乖考研免费分享_05.数学二历年真题_普通版本数学二_2017年考研数学二真题及解析
2017年考研数学二试题及答案解析公众号:小乖考研免费分享_05.数学二历年真题_普通版本数学二_2017年考研数学二真题及解析

文档信息

文档格式
doc
文档大小
1.042 MB
文档页数
11 页
上传时间
2026-02-06 17:57:24

文档内容

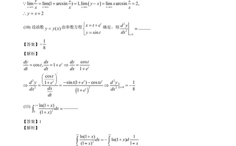
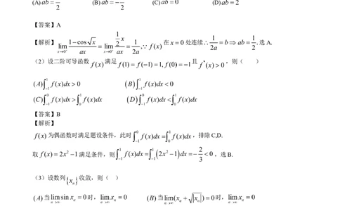
Born to win 2017 年全国硕士研究生入学统一考试数学二试题解析 一、选择题:1~8小题,每小题4分,共32分,下列每小题给出的四个选项中,只有一项符合题目要求的,请 将所选项前的字母填在答题纸指定位置上. (1))若函数 在 处连续,则( ) (A) (B) (C) (D) 【答案】A 1 x 1 1 【解析】 1cos x 2 1 在x0处连续 bab .选A. lim  lim  ,  f(x) 2a 2 x0 ax x0 ax 2a (2)设二阶可导函数 满足 且 ,则( ) 【答案】B 【解析】 0 1 f(x)为偶函数时满足题设条件,此时 f(x)dx f(x)dx,排除C,D. 1 0 取 f(x)2x2 1满足条件,则 1 f(x)dx 1  2x2 1  dx 2 0,选B. 1 1 3 (3)设数列 收敛,则( ) 当 时, 当 时, 当 时, 当 时, 【答案】D 【解析】特值法:(A)取 x  ,有limsinx 0,limx ,A错; n n n n n 取 ,排除B,C.所以选D. x 1 n (4)微分方程的特解可设为 ( 全国统一服务热线:400—668—2155 1Born to 精勤求学 自强不息 win! (A) (B) (C) (D) 【答案】A 2 480 22i 【解析】特征方程为: 1,2 f(x)e2x(1cos2x)e2x e2xcos2xy*  Ae2x,y*  xe2x(Bcos2xCsin2x),  1 2 故特解为: y*  y* y*  Ae2x xe2x(Bcos2xCsin2x), 选C. 1 2 (5)设 具有一阶偏导数,且对任意的 ,都有 ,则 (A) (B) (C) (D) 【答案】C f(x,y) f(x,y) 【解析】 是关于 的单调递增函数,是关于 的单调递减函数, 0, 0, f(x,y) x y x y 所以有 ,故答案选D. f(0,1) f(1,1) f(1,0) (6)甲乙两人赛跑,计时开始时,甲在乙前方10(单位:m)处,图中实线表示甲的速度曲线 (单位: ),虚线表示乙的速度曲线 ,三块阴影部分面积的数值依次为10,20,3,计时开始后乙追上甲 的时刻记为 (单位:s),则( ) 2 2 全国统一服务热线:400—668—2155Born to win (A) (B) (C) (D) 【答案】B 【解析】从0到t 这段时间内甲乙的位移分别为 t 0v (t)dt, t 0v (t)dt,则乙要追上甲,则 0 1 2 0 0 t 0v (t)v (t)dt 10,当t 25时满足,故选C. 2 1 0 0 (7)设 为三阶矩阵, 为可逆矩阵,使得 ,则 ( ) (A) (B) (C) (D) 【答案】 B 【解析】 , 因此B正确。 (8)设矩阵 ,则( ) (A) (B) (C) (D) 【答案】B 【解析】由 可知A的特征值为2,2,1, 因为 ,∴A可相似对角化,即 由 可知B特征值为2,2,1. 因为 ,∴B不可相似对角化,显然C可相似对角化,∴ ,但B不相似于C. ( 全国统一服务热线:400—668—2155 3Born to 精勤求学 自强不息 win! 二、填空题:914小题,每小题4分,共24分,请将答案写在答题纸指定位置上. (9) 曲线 的斜渐近线方程为_______ 【答案】 y  x2 【解析】 y 2 2 lim lim(1arcsin )1,limyxlimxarcsin 2,  x x x x x x x y  x2 (10) 设函数 由参数方程 确定,则 ______ 1 【答案】 8 【解析】 dy dx dy cost cost, 1et   dt dt dx 1et '  cost    d2y 1et  sint(1et)costet d2y 1      dx2 dx  1et2 dx2 t0 8 dt (11) _______ 【答案】1 【解析】 (12) 设函数 具有一阶连续偏导数,且 , ,则 4 4 全国统一服务热线:400—668—2155Born to win 【答案】 【解析】 故 , 因此 ,即 ,再由 ,可得 【答案】 【解析】 (13) 【答案】 . 【解析】交换积分次序: . (14)设矩阵 的一个特征向量为 ,则 【答案】-1 【解析】设 ,由题设知 ,故 故 . 三、解答题:15—23小题,共94分.请将解答写在答题纸指定位置上.解答应写出文字说明、证明过程或演算 步骤. (15)(本题满分10分)求极限 【答案】 【解析】 ,令 ,则有 ( 全国统一服务热线:400—668—2155 5Born to 精勤求学 自强不息 win! (16)(本题满分10分)设函数 具有2阶连续偏导数, ,求 , 【答案】 【解析】 结论: (17)(本题满分10分)求 【答案】 【解析】 6 6 全国统一服务热线:400—668—2155Born to win (18)(本题满分10分)已知函数 由方程 确定,求 的极值 【答案】极大值为 ,极小值为 【解析】 两边求导得: (1) 令 得 对(1)式两边关于x求导得 (2) 将 代入原题给的等式中,得 , 将 代入(2)得 将 代入(2)得 故 为极大值点, ; 为极小值点, (19)(本题满分10分)设函数 在区间 上具有2阶导数,且 ,证明: 方程 在区间 内至少存在一个实根; 方程 在区间 内至少存在两个不同实根。 【答案】 【解析】 (I) 二阶导数, 解:1)由于 ,根据极限的保号性得 有 ,即 进而 又由于 二阶可导,所以 在 上必连续 那么 在 上连续,由 根据零点定理得: 至少存在一点 ,使 ,即得证 ( 全国统一服务热线:400—668—2155 7Born to 精勤求学 自强不息 win! (II)由(1)可知 , ,令 ,则 由罗尔定理 ,则 , 对 在 分别使用罗尔定理: 且 ,使得 ,即 在 至少有两个不同实根。 得证。 (20)(本题满分11分)已知平面区域 计算二重积分 。 【答案】 【解析】 (21)(本题满分11分)设 是区间 内的可导函数,且 ,点 是曲线L: 上任意 一点,L在点P处的切线与y轴相交于点 ,法线与x轴相交于点 ,若 ,求L上点的坐 标 满足的方程。 【答案】 【解析】设 的切线为 ,令 得 ,法线 ,令 得 。由 得 ,即 。 令 , 则 , 按 照 齐 次 微 分 方 程 的 解 法 不 难 解 出 , (22)(本题满分11分)设3阶矩阵 有3个不同的特征值,且 。 证明: 若 ,求方程组 的通解。 8 8 全国统一服务热线:400—668—2155Born to win 【答案】(I)略;(II)通解为 【解析】 (I)证明:由 可得 ,即 线性相关, 因此, ,即A的特征值必有0。 又因为A有三个不同的特征值,则三个特征值中只有1个0,另外两个非0. 且由于A必可相似对角化,则可设其对角矩阵为 ∴ (II)由(1) ,知 ,即 的基础解系只有1个解向量, 由 可得 ,则 的基础解系为 , 又 ,即 ,则 的一个特解为 , 综上, 的通解为 (23)(本题满分 11 分)设二次型 在正交变换 下的标准型 ,求 的值及一个正交矩阵 . 【答案】 【解析】 ( 全国统一服务热线:400—668—2155 9Born to 精勤求学 自强不息 win! ,其中 由于 经正交变换后,得到的标准形为 , 故 , 将 代入,满足 ,因此 符合题意,此时 ,则 , 由 ,可得A的属于特征值-3的特征向量为 ; 由 ,可得A的属于特征值6的特征向量为 由 ,可得A的属于特征值0的特征向量为 令 ,则 ,由于 彼此正交,故只需单位化即可: , 则 , 10 10 全国统一服务热线:400—668—2155Born to win 如果想要了解更多,广大研友们也可加入2017考研复试交流群(118146590)和大家一起交流考研心 路历程。也可将自己考研的经验传授给学弟学妹们2018考研交流总群(337587371),希望他们在 2018年金榜题名。 ( 全国统一服务热线:400—668—2155 11