当前位置:首页>文档>2018年广西柳州市中考数学试卷(空白卷)_中考真题_2.数学中考真题2015-2024年_地区卷_广西省_柳州中考数学2010-2022

2018年广西柳州市中考数学试卷(空白卷)_中考真题_2.数学中考真题2015-2024年_地区卷_广西省_柳州中考数学2010-2022

  • 2026-04-09 10:02:49 2026-02-07 07:03:52

文档预览

2018年广西柳州市中考数学试卷(空白卷)_中考真题_2.数学中考真题2015-2024年_地区卷_广西省_柳州中考数学2010-2022
2018年广西柳州市中考数学试卷(空白卷)_中考真题_2.数学中考真题2015-2024年_地区卷_广西省_柳州中考数学2010-2022
2018年广西柳州市中考数学试卷(空白卷)_中考真题_2.数学中考真题2015-2024年_地区卷_广西省_柳州中考数学2010-2022
2018年广西柳州市中考数学试卷(空白卷)_中考真题_2.数学中考真题2015-2024年_地区卷_广西省_柳州中考数学2010-2022
2018年广西柳州市中考数学试卷(空白卷)_中考真题_2.数学中考真题2015-2024年_地区卷_广西省_柳州中考数学2010-2022
2018年广西柳州市中考数学试卷(空白卷)_中考真题_2.数学中考真题2015-2024年_地区卷_广西省_柳州中考数学2010-2022
2018年广西柳州市中考数学试卷(空白卷)_中考真题_2.数学中考真题2015-2024年_地区卷_广西省_柳州中考数学2010-2022
2018年广西柳州市中考数学试卷(空白卷)_中考真题_2.数学中考真题2015-2024年_地区卷_广西省_柳州中考数学2010-2022
2018年广西柳州市中考数学试卷(空白卷)_中考真题_2.数学中考真题2015-2024年_地区卷_广西省_柳州中考数学2010-2022
2018年广西柳州市中考数学试卷(空白卷)_中考真题_2.数学中考真题2015-2024年_地区卷_广西省_柳州中考数学2010-2022
2018年广西柳州市中考数学试卷(空白卷)_中考真题_2.数学中考真题2015-2024年_地区卷_广西省_柳州中考数学2010-2022

文档信息

文档格式
doc
文档大小
0.787 MB
文档页数
7 页
上传时间
2026-02-07 07:03:52

文档内容

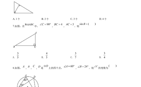
2018 年广西柳州市中考数学试卷 一、选择题(每题只有一个正确选项,本题共12小题,每题3分,共36分) 1.计算: A. B. 2 C. 0 D. 2.如图,这是一个机械模具,则它的主视图是 A. B. C. D. 3.下列图形中,是中心对称图形的是( ) A. B. C. D. 4.现有四张扑克牌:红桃 、黑桃 、梅花 和方块 .将这四张牌洗匀后正面朝下放在桌面上,再从中 任意抽取一张牌,则抽到红桃 的概率为A. 1 B. C. D. 5.世界人口约7000000000人,用科学记数法可表示为 A. B. C. D. 6.如图,图中直角三角形共有 A. 1个 B. 2个 C. 3个 D. 4个 7.如图,在 中, , , ,则 A. B. C. D. 8.如图, , , , 是 上的四个点, , ,则 的度数为 A. B. C. D. 是 9.苹果原价 每斤 元,现在按8折出售,假如现在要买一斤,那么需要付费A. 元 B. 元 C. 元 D. 元 的 10.如图是某年参加国际教育评估 15个国家学生的数学平均成绩 的扇形统计图,由图可知,学生的数 学平均成绩在 之间的国家占 A. B. C. D. 11.计算: =( ) A. B. C. D. 12.已知反比例函数的解析式为 ,则 的取值范围是 A. B. C. D. 二、填空题(本题共6小题,每题3分,共18分) 13.如图, ,若 ,则 __ . 14.如图,在平面直角坐标系中,点 的坐标是__.15.不等式 的解集是__. 的 16.一元二次方程 解是__. 17.篮球比赛中,每场比赛都要分出胜负,每队胜一场得2分,负一场得1分,艾美所在的球队在8场比赛 中得14分.若设艾美所在的球队胜 场,负 场,则可列出方程组为__. 18.如图,在 中, , , , ,则 的长为__. 三、解答题(本题共8小题,共66分) 19.计算: . 20.如图, 和 相交于点 , , .求证: . 21.一位同学进行五次投实心球的练习,每次投出的成绩如表:求该同学这五次投实心球的平均成绩. 22.解方程: . 23.如图,四边形 是菱形,对角线 , 相交于点 ,且 . (1)求菱形 的周长; 的 (2)若 ,求 长. 24.如图,一次函数 的图象与反比例函数 的图象交于 , , 两点. (1)求该反比例函数的解析式; (2)求 的值及该一次函数的解析式.25.如图, 为 的内接三角形, 为 的直径,过点 作 的切线交 的延长线于点 . (1)求证: ; (2)过点 作 的切线 交 于点 ,求证: ; (3)若点 为直径 下方半圆的中点,连接 交 于点 ,且 , ,求 的长. 26.如图,抛物线 与 轴交于 , , 两点(点 在点 的左侧),与 轴交于点 ,且 , 的平分线 交 轴于点 ,过点 且垂直于 的直线 交 轴 于点 ,点 是 轴下方抛物线上的一个动点,过点 作 轴,垂足为 ,交直线 于点 . (1)求抛物线的解析式; (2)设点 的横坐标为 ,当 时,求 的值; (3)当直线 为抛物线 的对称轴时,以点 为圆心, 为半径作 ,点 为 上的一个动点,求 的最小值.