当前位置:首页>文档>浙江省舟山市2024-2025学年高二下学期6月期末化学答案_2025年6月_250630浙江省舟山市2024-2025学年高二下学期6月期末考试(全科)_浙江省舟山市2024-2025学年高二下学期6月期末化学

浙江省舟山市2024-2025学年高二下学期6月期末化学答案_2025年6月_250630浙江省舟山市2024-2025学年高二下学期6月期末考试(全科)_浙江省舟山市2024-2025学年高二下学期6月期末化学

  • 2026-04-09 22:34:56 2026-02-08 22:32:35

文档预览

浙江省舟山市2024-2025学年高二下学期6月期末化学答案_2025年6月_250630浙江省舟山市2024-2025学年高二下学期6月期末考试(全科)_浙江省舟山市2024-2025学年高二下学期6月期末化学
浙江省舟山市2024-2025学年高二下学期6月期末化学答案_2025年6月_250630浙江省舟山市2024-2025学年高二下学期6月期末考试(全科)_浙江省舟山市2024-2025学年高二下学期6月期末化学
浙江省舟山市2024-2025学年高二下学期6月期末化学答案_2025年6月_250630浙江省舟山市2024-2025学年高二下学期6月期末考试(全科)_浙江省舟山市2024-2025学年高二下学期6月期末化学
浙江省舟山市2024-2025学年高二下学期6月期末化学答案_2025年6月_250630浙江省舟山市2024-2025学年高二下学期6月期末考试(全科)_浙江省舟山市2024-2025学年高二下学期6月期末化学

文档信息

文档格式
pdf
文档大小
0.291 MB
文档页数
2 页
上传时间
2026-02-08 22:32:35

文档内容

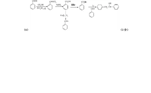
舟山市 2024 学年第二学期期末检测 高二化学答案 一、选择题(本大题共16小题,每小题3分,共48分。) 题号 1 2 3 4 5 6 7 8 答案 D C C B D D B A 题号 9 10 11 12 13 14 15 16 答案 B B A B D D C B 二.非选择题(本大题共 4 小题,共 52 分。) 17.(16分) (1)N3->O2->Mg2+(2分) (2) (2分)若4个氮原子都画的给1分 cadb(2分) (3)abc(2分) (4)6(1分) 1(1分) 2(2分) (5)①MnO +SO =Mn2++SO 2- (2分) ②SiO 、CaSO (2分) 2 2 4 2 4 18.(12分) (1)a+c-b-d(2分) (2)AC(2分) (3)Ⅰ (2分) 反应Ⅲ的活化能最小(2分) (4)2CH 3 NH 2 -18e-+4H 2 O=2CO 2↑+N 2↑+18H+(或从一水甲胺开始写 )(2分)减小(2分) 19.(12分) (1)2FeO+H O +6H+=2Fe3++4H O或者2Fe2++H O +2H+=2Fe3++2H O(2分) 2 2 2 2 2 2 适当升高温度、把废渣粉碎、适当提高硫酸浓度等任选一个(2分) (2)3≤pH<5.5(2分) (3)①BC(2分) ②aec (1分)fdc(1分) (4)加稀硫酸充分振荡后再分液 (2分) 20.(12分) (1)羟基、碳碳双键(2分) (2)AC(2分) (3) (1分) {#{QQABbQSUogggABBAAAhCQQ24CgGQkBGACaoGREAUoAABSRNABAA=}#}(4) (2分) (5)9种(2分) 或 (1分) (6) (2分) {#{QQABbQSUogggABBAAAhCQQ24CgGQkBGACaoGREAUoAABSRNABAA=}#}