当前位置:首页>文档>西安中学2026届高三质量检测考试(三)化学试题答案_2025年12月_251222陕西省西安中学2025-2026学年高三上学期质量检测(三)(全科)

西安中学2026届高三质量检测考试(三)化学试题答案_2025年12月_251222陕西省西安中学2025-2026学年高三上学期质量检测(三)(全科)

  • 2026-03-29 05:12:10 2026-02-09 03:14:08

文档预览

西安中学2026届高三质量检测考试(三)化学试题答案_2025年12月_251222陕西省西安中学2025-2026学年高三上学期质量检测(三)(全科)
西安中学2026届高三质量检测考试(三)化学试题答案_2025年12月_251222陕西省西安中学2025-2026学年高三上学期质量检测(三)(全科)
西安中学2026届高三质量检测考试(三)化学试题答案_2025年12月_251222陕西省西安中学2025-2026学年高三上学期质量检测(三)(全科)
西安中学2026届高三质量检测考试(三)化学试题答案_2025年12月_251222陕西省西安中学2025-2026学年高三上学期质量检测(三)(全科)

文档信息

文档格式
docx
文档大小
0.075 MB
文档页数
2 页
上传时间
2026-02-09 03:14:08

文档内容

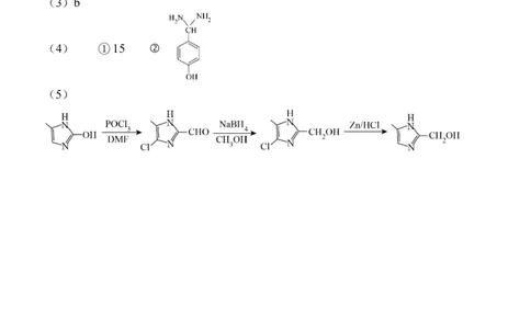
西安中学 2026 届高三质量检测考试(三) 化学答案 一、选择题(本题共14小题,每小题3分,共42分。每小题只有一个选项符合题 目要求。) 题号 1 2 3 4 5 6 7 选项 A B D A B C D 题号 8 9 10 11 12 13 14 选项 D C B C A B D 二、非选择题:本题共4题,共58分。 15.(14分,每空2分) (1)+3或正三价 (2)球形干燥管 (3) 或 (4)温度太低,反应速率太慢;温度太高会使 分解,还会增加浓氨水挥发 (5)除去活性炭等不溶性杂质,同时防止 在冷却时结晶析出,导致损失 (6)71.2% 16.(14分,除标注外每空2分) (1) (2)充分搅拌或者适当提高水的温度,加快反应速率 (3) 4.5~9.3 Al(OH) 、H SiO 3 2 3 (4) CO 2 (5)蒸发浓缩、趁热过滤(各1分) 17.(14分,每空2分) (1)CO(g)+2H (g) ⇌ CH OH(g)∆ H=−92.4KJ/mol 2 3 (2)b (3)0.125p (4)①温度升高,反应速率加快,时空收率增大 ②A(5)①1120 ② 使用更高效的催化剂 18.(16分,除标注外每空2分) (1) ① 乙二醛 ② ③ 还原反应 (2) +2NH +CH OH+NH Cl 3 3 4 (3)b (4) ①15 ② (5)