当前位置:首页>文档>信息必刷卷02(新高考Ⅱ卷专用)参考答案_2025年4月_2504162025年高考考前信息必刷卷(新高考Ⅰ卷+ⅠⅠ卷专用)_2025年高考考前数学信息必刷卷(新高考ⅠⅠ卷专用)

信息必刷卷02(新高考Ⅱ卷专用)参考答案_2025年4月_2504162025年高考考前信息必刷卷(新高考Ⅰ卷+ⅠⅠ卷专用)_2025年高考考前数学信息必刷卷(新高考ⅠⅠ卷专用)

  • 2026-04-21 16:41:32 2026-02-10 22:10:51

文档预览

信息必刷卷02(新高考Ⅱ卷专用)参考答案_2025年4月_2504162025年高考考前信息必刷卷(新高考Ⅰ卷+ⅠⅠ卷专用)_2025年高考考前数学信息必刷卷(新高考ⅠⅠ卷专用)
信息必刷卷02(新高考Ⅱ卷专用)参考答案_2025年4月_2504162025年高考考前信息必刷卷(新高考Ⅰ卷+ⅠⅠ卷专用)_2025年高考考前数学信息必刷卷(新高考ⅠⅠ卷专用)
信息必刷卷02(新高考Ⅱ卷专用)参考答案_2025年4月_2504162025年高考考前信息必刷卷(新高考Ⅰ卷+ⅠⅠ卷专用)_2025年高考考前数学信息必刷卷(新高考ⅠⅠ卷专用)
信息必刷卷02(新高考Ⅱ卷专用)参考答案_2025年4月_2504162025年高考考前信息必刷卷(新高考Ⅰ卷+ⅠⅠ卷专用)_2025年高考考前数学信息必刷卷(新高考ⅠⅠ卷专用)
信息必刷卷02(新高考Ⅱ卷专用)参考答案_2025年4月_2504162025年高考考前信息必刷卷(新高考Ⅰ卷+ⅠⅠ卷专用)_2025年高考考前数学信息必刷卷(新高考ⅠⅠ卷专用)
信息必刷卷02(新高考Ⅱ卷专用)参考答案_2025年4月_2504162025年高考考前信息必刷卷(新高考Ⅰ卷+ⅠⅠ卷专用)_2025年高考考前数学信息必刷卷(新高考ⅠⅠ卷专用)
信息必刷卷02(新高考Ⅱ卷专用)参考答案_2025年4月_2504162025年高考考前信息必刷卷(新高考Ⅰ卷+ⅠⅠ卷专用)_2025年高考考前数学信息必刷卷(新高考ⅠⅠ卷专用)
信息必刷卷02(新高考Ⅱ卷专用)参考答案_2025年4月_2504162025年高考考前信息必刷卷(新高考Ⅰ卷+ⅠⅠ卷专用)_2025年高考考前数学信息必刷卷(新高考ⅠⅠ卷专用)
信息必刷卷02(新高考Ⅱ卷专用)参考答案_2025年4月_2504162025年高考考前信息必刷卷(新高考Ⅰ卷+ⅠⅠ卷专用)_2025年高考考前数学信息必刷卷(新高考ⅠⅠ卷专用)
信息必刷卷02(新高考Ⅱ卷专用)参考答案_2025年4月_2504162025年高考考前信息必刷卷(新高考Ⅰ卷+ⅠⅠ卷专用)_2025年高考考前数学信息必刷卷(新高考ⅠⅠ卷专用)

文档信息

文档格式
docx
文档大小
0.559 MB
文档页数
6 页
上传时间
2026-02-10 22:10:51

文档内容

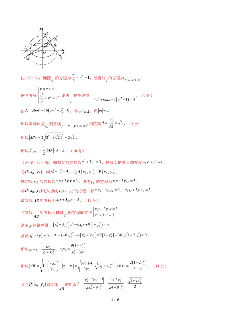
2025 年高考考前信息必刷卷 02(新高考Ⅱ卷专用) 数 学·参考答案 一、单项选择题:本题共8小题,每小题5分,共40分.在每小题给出的四个选项中,只有一项是符合题 目要求的. 1 2 3 4 5 6 7 8 B B C D A C C B 二、多项选择题:本题共3小题,每小题6分,共18分.在每小题给出的选项中,有多项符合题目要求, 全部选对的得6分,部分选对的得部分分,有选错的得0分. 9 10 11 AD BCD BCD 三、填空题:本题共3小题,每小题5分,共15分. 12. / 13. 60 14.①②④ 四、解答题:本题共5小题,共77分.解答应写出文字说明、证明过程或演算步骤. 15.(13分) 【详解】(1))由 ,得数列 是公差为1的等差数列, 又 , , .(3分) 当 时, , 又 也满足上式, ;(6分) (2)由(1)知, , .(10分) 由 得 ,得 , , ∴n的最小值为5.(13分) 16.(15分) 【详解】(1)因为 , , , 由 得 , 1 / 6 学科网(北京)股份有限公司即 ,即 ,所以 , 因为 底面 , 平面 ,所以 ,(3分) 因为 , 、 平面 ,所以 平面 , 又 , 所以 ,所以 平面 , 因为 平面 ,所以平面 平面 .(7分) (2)因为 底面 , , 以点 为坐标原点, 、 、 所在直线分别为 、 、 轴建立如图所示的空间直角坐标系, 则 、 、 、 , , ,(9分) 设平面 的法向量为 ,则 , 取 ,可得 , , ,(12分) 设平面 的法向量为 ,则 , 取 ,可得 , 所以 , 由题意可判断侧面 与侧面 所成二面角为钝二面角, 故侧面 与侧面 所成二面角的余弦值为 .(15分) 17.(15分) 2 / 6 学科网(北京)股份有限公司【详解】(1)记抽取的3张卡片标有的数字为 ,随机变量 表示一次取出的3张卡片中的数 字之和, 则 ,令 ,结合题设, 当 时, 最小,且此时 , 当 或 时, 最大,且此时 , 所求概率为 ;(6分) (2)由题意记 ,则 的所有可能取值为 , 当 时,对应的 可能是: , , 当 时,对应的 可能是: , , , , 当 时,对应的 可能是: , , , , , , , , , 当 时,对应的 可能是: , , , , , , , , , , , , , ,(10分) 所有 , , , , 所以随机变量 的分布列为: 2 3 4 5 所以随机变量 的数学期望为 .(15分) 18.(17分) 【详解】(1)因为椭圆 : ,所以 , 所以椭圆 的蒙日圆的方程为 ;(4分) (2)如图, 3 / 6 学科网(北京)股份有限公司由(1)知,椭圆 的方程为 ,设直线 的方程为 , 联立方程 ,消去 并整理得, ,(6分) 由 ,得 ,即 , 所以坐标原点 到直线 : 的距离 ,(8分) 所以 , 所以 ;(10分) (3)由(1)知,椭圆C的方程为 ,椭圆C的蒙日圆方程为 , 设P(x ,y ),则 ,设A(x ,y ),B(x ,y ), 0 0 1 1 2 2 则切线 的方程为 ,切线 的方程为 , 将P(x ,y )代入切线 , 的方程,有 , , 0 0 故直线 的方程为 ,(12分) 将直线 的方程与椭圆 的方程联立得 , 消去 并整理得, 显然 , , 所以 , , 所以 ,(14分) 又点P(x ,y )到直线 的距离 , 0 0 4 / 6 学科网(北京)股份有限公司所以 , 设 ,则 , , 令 , 则 , 所以函数 在 上单调递增,所以 , 所以 面积的最小值为 .(17分) 19.(17分) 【详解】(1)根据题意, , 因为 ,所以 , 由正弦定理得 ,所以 ;(4分) (2)由余弦定理, , 代入 ,得 , 两边同时除以 , ,(6分) 由于 ,当且仅当 时等号成立, 而 ,当且仅当 时等号成立, 即 ,(8分) 由余弦定理 , 即 , 的面积 ;(11分) (3)由(1)(2)可知 , ,所以 , 以 为坐标原点, 所在直线为 轴建立平面直角坐标系, 5 / 6 学科网(北京)股份有限公司则 , , (14分) , 故可设 ( 为变量) 则 , 所以 的最小值为 .(17分) 6 / 6 学科网(北京)股份有限公司