当前位置:首页>文档>高二数学期中模拟卷(全解全析)(1)_1多考区联考_1021高二期中模拟卷(天津专用)黄金卷:2024-2025学年高二上学期期中模拟考试

高二数学期中模拟卷(全解全析)(1)_1多考区联考_1021高二期中模拟卷(天津专用)黄金卷:2024-2025学年高二上学期期中模拟考试

  • 2026-04-16 08:29:37 2026-02-11 02:42:19

文档预览

高二数学期中模拟卷(全解全析)(1)_1多考区联考_1021高二期中模拟卷(天津专用)黄金卷:2024-2025学年高二上学期期中模拟考试
高二数学期中模拟卷(全解全析)(1)_1多考区联考_1021高二期中模拟卷(天津专用)黄金卷:2024-2025学年高二上学期期中模拟考试
高二数学期中模拟卷(全解全析)(1)_1多考区联考_1021高二期中模拟卷(天津专用)黄金卷:2024-2025学年高二上学期期中模拟考试
高二数学期中模拟卷(全解全析)(1)_1多考区联考_1021高二期中模拟卷(天津专用)黄金卷:2024-2025学年高二上学期期中模拟考试
高二数学期中模拟卷(全解全析)(1)_1多考区联考_1021高二期中模拟卷(天津专用)黄金卷:2024-2025学年高二上学期期中模拟考试
高二数学期中模拟卷(全解全析)(1)_1多考区联考_1021高二期中模拟卷(天津专用)黄金卷:2024-2025学年高二上学期期中模拟考试
高二数学期中模拟卷(全解全析)(1)_1多考区联考_1021高二期中模拟卷(天津专用)黄金卷:2024-2025学年高二上学期期中模拟考试
高二数学期中模拟卷(全解全析)(1)_1多考区联考_1021高二期中模拟卷(天津专用)黄金卷:2024-2025学年高二上学期期中模拟考试
高二数学期中模拟卷(全解全析)(1)_1多考区联考_1021高二期中模拟卷(天津专用)黄金卷:2024-2025学年高二上学期期中模拟考试
高二数学期中模拟卷(全解全析)(1)_1多考区联考_1021高二期中模拟卷(天津专用)黄金卷:2024-2025学年高二上学期期中模拟考试
高二数学期中模拟卷(全解全析)(1)_1多考区联考_1021高二期中模拟卷(天津专用)黄金卷:2024-2025学年高二上学期期中模拟考试
高二数学期中模拟卷(全解全析)(1)_1多考区联考_1021高二期中模拟卷(天津专用)黄金卷:2024-2025学年高二上学期期中模拟考试
高二数学期中模拟卷(全解全析)(1)_1多考区联考_1021高二期中模拟卷(天津专用)黄金卷:2024-2025学年高二上学期期中模拟考试
高二数学期中模拟卷(全解全析)(1)_1多考区联考_1021高二期中模拟卷(天津专用)黄金卷:2024-2025学年高二上学期期中模拟考试
高二数学期中模拟卷(全解全析)(1)_1多考区联考_1021高二期中模拟卷(天津专用)黄金卷:2024-2025学年高二上学期期中模拟考试
高二数学期中模拟卷(全解全析)(1)_1多考区联考_1021高二期中模拟卷(天津专用)黄金卷:2024-2025学年高二上学期期中模拟考试
高二数学期中模拟卷(全解全析)(1)_1多考区联考_1021高二期中模拟卷(天津专用)黄金卷:2024-2025学年高二上学期期中模拟考试
高二数学期中模拟卷(全解全析)(1)_1多考区联考_1021高二期中模拟卷(天津专用)黄金卷:2024-2025学年高二上学期期中模拟考试

文档信息

文档格式
docx
文档大小
1.106 MB
文档页数
14 页
上传时间
2026-02-11 02:42:19

文档内容

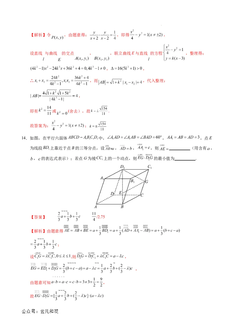
2024-2025 学年高二数学上学期期中模拟卷(天津) (考试时间:120分钟 试卷满分:150分) 注意事项: 1.答卷前,考生务必将自己的姓名、准考证号填写在答题卡上。 2.回答选择题时,选出每小题答案后,用铅笔把答题卡上对应题目的答案标号涂黑。如需改动,用 橡皮擦干净后,再选涂其他答案标号。回答非选择题时,将答案写在答题卡上。写在本试卷上无效。 3.考试结束后,将本试卷和答题卡一并交回。 4.测试范围:人教A版2019选择性必修第一册第一章~第三章 5.难度系数:0.6。 第Ⅰ卷 一、单项选择题:本题共9小题,每小题5分,共45分.在每小题给出的四个选项中,只有一个选项是符 合题目要求的. 1.空间四边形 中, , , ,点 在 上, ,点 为 的中点, 则 ( ) A. B. C. D. 【答案】B 【解析】如图,连结 ,因 ,点 为 的中点,则 , 于是, .故选B. 学科网(北京)股份有限公司2.过点 且与直线 平行的直线方程是( ) A. B. C. D. 【答案】A 【解析】与直线 平行的直线方程可设为 , 因为点 在直线 上, 所以 , 即过点 且与直线 平行的直线方程是 , 故选A 3.抛物线 的准线方程为( ) A. B. C. D. 【答案】D 【解析】抛物线 的标准形式为 ,则 ,解得 , 即抛物线的准线为 ,故选 . 4.在平行六面体 中,其中 ,则 ( ) A.12 B. C.6 D. 【答案】D 【解析】根据条件,以 , , 作为一组基底, 因为 , 所以 , 即 , 学科网(北京)股份有限公司所以 , 因为 , 所以 , 所以 .故选D. 5.已知圆 与圆 相交,则 的取值范围为( ) A. B. C. D. 【答案】A 【解析】圆 化为标准方程得 , 则其圆心 ,半径 , 圆 化为标准方程得 , 则其圆心 ,半径 , 因为两圆相交,所以 , 即 ,解得 , 所以 的取值范围为 . 故选A. 6.已知双曲线 的左,右焦点分别为 , ,过 作一条渐近线的垂线,垂足为 , 延长 与另一条渐近线交于点 ,若 为坐标原点 ,则双曲线的离心率为( ) A. B. C. D. 【答案】D 【知识点】求点到直线的距离、求双曲线的离心率或离心率的取值范围 【分析】利用已知条件求出 点坐标,求出点 到渐近线 的距离 ,结合 可以得到点 到渐近线 的距离为 ,进而利用点到直线的距离公式求出 与 的关系,然后求解双曲线的离心率. 【解析】由题意知,双曲线 的两条渐近线方程分别为 , , 学科网(北京)股份有限公司过点 且与渐近线 垂直的直线方程为 , 联立 ,可解得 , 点 到渐近线 的距离 , 因为 ,所以点 到渐近线 的距离为 , 所以 ,即 ,所以 ,即双曲线的离心率为 . 故选D. 7.如图所示,ABCD—EFGH为边长等于1的正方体,若P点在正方体的内部且满足 ,则P点到直线BC的距离为( ) A. B. C. D. 【答案】B 【解析】如图,以D为坐标原点, 所在直线分别为x,y,z轴建立空间直角坐标系, 学科网(北京)股份有限公司则 , , , , 所以 , , , , , , , 所以点P到 的距离 . 故选B. 8.在平面直角坐标系xOy中,若圆 (r>0)上存在点P,且点P关于直线 的对称点Q在圆 上,则r的取值范围是( ) A.(2,+∞) B.[2,+∞) C.(2,8) D.[2,8] 【答案】D 【解析】 圆心坐标 , 设 关于直线 的对称点为 , 由 ,可得 , 所以圆 关于直线 对称圆的方程为 , 则条件等价为: 与 有交点即可, 两圆圆心为 , ,半径分别为 ,3, 学科网(北京)股份有限公司则圆心距 , 则有 , 由 得 ,由 得 , 综上: , 所以r的取值范围是 , 故选D. 9.已知双曲线 的右焦点到其一条渐近线的距离等于 ,抛物线 的焦点 与双曲线的右焦点重合,则抛物线上一动点M到直线 和 的距离之和的最小值 为( ) A. B. C. D. 【答案】D 【解析】双曲线 的渐近线 ,右焦点 , 依题意, ,解得 ,因此抛物线的焦点为 ,方程为 ,其准线为 , 由 消去x并整理得: , ,即直线 与抛物线 相离, 过点F作 于点P,交抛物线于点M,过M作 于点Q,交直线 于点N, 则有 , 在抛物线 上任取点 ,过 作 于点 ,作 于点 ,交准线于点 ,连 ,如图, 显然 ,当且仅当点 与点 重 学科网(北京)股份有限公司合时取等号, 所以抛物线上一动点M到直线 和 的距离之和的最小值为 . 故选D 第Ⅱ卷 二、填空题:本题共6小题,每小题5分,共30分. 10.直线 被圆 截得的弦长的最小值为__________. 【答案】 【解析】直线 恒过定点 , 而圆 的圆心为 ,半径 为2, 可得 在圆 内,经过点 与线段 垂直的弦的长度最短, 此时弦长为 . 故答案为: . 11.如图,正四棱柱 中,设 ,点 在线段 上,且 ,则直线 与平面 所成角的正弦值是__________. 【答案】 / 【解析】以 为坐标原点, 所在直线分别为 轴,建立空间直角坐标系, 则 , 学科网(北京)股份有限公司设平面 的法向量为 , 则 , 令 ,则 ,故 , 设直线 与平面 所成角大小为 , 则 , 故答案为: 12.已知直线 被圆 截得的弦长为 ,则 的值为__________. 【答案】1 【解析】依题意可得圆心 ,半径 , 则圆心到直线的距离 , 由勾股定理可知, ,代入化简可得 , 且 ,解得 . 故答案为: . 13.在平面直角坐标系 中,动点 与两个定点 和 连线的斜率之积等于 ,记点 的轨 迹为曲线 ,直线 : 与 交于 , 两点,则 的方程为__________;若 则直 线 的斜率为__________. 【答案】 学科网(北京)股份有限公司【解析】令 ,由题意得: ,即得 , 设直线 与曲线 的交点 , ,联立曲线E与直线 的方程 ,整理得: , , ∴ ,而 ,代入整理: , 即有 或 (舍去),故 . 故答案为: ; 14.如图,在平行六面体 中, , ,点E 为线段 上靠近于点B的三等分点,设 , , ,则 __________(用含有 , , 的表达式表示);若点G为棱 上的一个动点,则 的最小值为__________. 【答案】 /2.75 【解析】由题意得 ; 设 ,则 , , 由题意可知 , 故 学科网(北京)股份有限公司, 当 时, 取得最小值 , 即则 的最小值为 , 故答案为: ; . 15.若对圆 上任意一点 , 的取值与 无关,则实数a 的取值范围是__________. 【答案】 【解析】设 , 则 可以看作点 到直线 , 与到直线 的距离之和的 倍. 因为 的取值与 无关, 所以上述距离之和与点 在圆上的位置无关. 如图,当直线m平移时,点P到直线m,l的距离之和均为m与l间的距离, 即此时圆在两直线之间. 当直线m与圆 相切时, ,化简得 , 解得 或 (舍去). 所以 ,即 .故答案为: 三、解答题:本题共5小题,共75分.解答应写出文字说明、证明过程或演算步骤. 学科网(北京)股份有限公司16.(14分) 已知 的三个顶点 , , . (1)求边 所在直线的方程; (2)求边 上的高所在直线的方程. 【解析】(1)直线 的斜率为 , 直线 的方程为 , 即 .(7分) (2)由(1)知直线 的斜率为 , 所以由垂直关系可得 边高线的斜率为 , 因为 上的高过点 , 所以 上的高线方程为 , 化为一般式可得: .(14分) 17.(15分) 已知 , . (1)当 时,求实数 的值; (2)当 时,求实数 的值. 【解析】(1)解:因为 , , 所以 。 ∵ , ,解得 ;(7分) (2)因为 , 所以 , 所以 , 解得 .(15分) 18.(15分) 已知双曲线过点 ,它的渐近线方程为 . (1)求双曲线的标准方程; 学科网(北京)股份有限公司(2)设 和 是这双曲线的左、右焦点,点 在这双曲线上,且 ,求 的大小. 【解析】(1)解:根据题意,双曲线的渐近线方程为 , 可设双曲线的方程为 , ; 双曲线过点 ,将 的坐标代入可得 ,解得 , 则所求的双曲线方程为 ;(7分) (2)解:设 , ,则 , 又由双曲线的几何性质知 , 即有 , 又 , 所以 是直角三角形,则 .(15分) 19.(15分) 已知抛物线 : 与离心率为 的椭圆 : 的一个交点为 , 点 到抛物线 的焦点的距离为2. (Ⅰ)求 与 的方程; (Ⅱ)设 为坐标原点,在第一象限内,椭圆 上是否存在点 ,使过 作 的垂线交抛物线 于 点 ,直线 交 轴于点 ,且 ?若存在,求出点 的坐标;若不存在,请说明理由. 【解析】解:(Ⅰ)因为抛物线方程为 ,则准线方程为: ,点 到焦点的 距离等于到准线的距离,所以有 ,解得: ,抛物线方程为: . 则 或 ,且点 在椭圆上,有 ,又椭圆离心率为 ,即 ,即 , 联立求解: ,所以椭圆方程为 .(6分) (Ⅱ)由题意,直线 斜率存在且大于0,设直线 的方程为: ,因为 ,则 有直线 的方程为: , 学科网(北京)股份有限公司由 得: ,即 ; 由 得: ,即 .(10分) 设直线 与 轴交于点 ,因为在第一象限内,满足 ,又 ,所 以有 , ,所以 ,即 为线段 中点,所以 , 即 , 无解,所以不存在点 的坐标使得 .(15分) 20.(16分) 如图,四棱锥 中,侧棱 平面 ,点 是 的中点,底面 是直角梯形, . (1)求证: 平面 ; (2)求异面直线 和 所成角的余弦值; (3)点 在线段 上,平面 和平面 的夹角为 ,求 的值. 【解析】(1)证明: 平面 ,以 为原点,分别以 、 、 的方向为 轴, 轴, 轴的正方向,建立如图所示的空间直角坐标系. ,点 是 的中点, , , 则 平面 , 平面 的一个法向量为 . 学科网(北京)股份有限公司, 平面 , 平面 ;(5分) (2) 设异面直线 和 所成的角为 , 异面直线 和 所成角的余弦值为 .(10分) (3) , 设 ,则 , 设平面 的法向量为 ,则有 不妨令 ,得 , . 设平面 的法向量为 ,则有 不妨令 ,得 , , 平面 和平面 的夹角为 , , , , . (16分) 学科网(北京)股份有限公司