当前位置:首页>文档>壮行考数学答案_2025年5月_2505192025届湖北省新八校协作体高三下学期5月壮行考(全科)_02数学

壮行考数学答案_2025年5月_2505192025届湖北省新八校协作体高三下学期5月壮行考(全科)_02数学

  • 2026-04-09 13:32:19 2026-02-11 03:50:48

文档预览

壮行考数学答案_2025年5月_2505192025届湖北省新八校协作体高三下学期5月壮行考(全科)_02数学
壮行考数学答案_2025年5月_2505192025届湖北省新八校协作体高三下学期5月壮行考(全科)_02数学
壮行考数学答案_2025年5月_2505192025届湖北省新八校协作体高三下学期5月壮行考(全科)_02数学
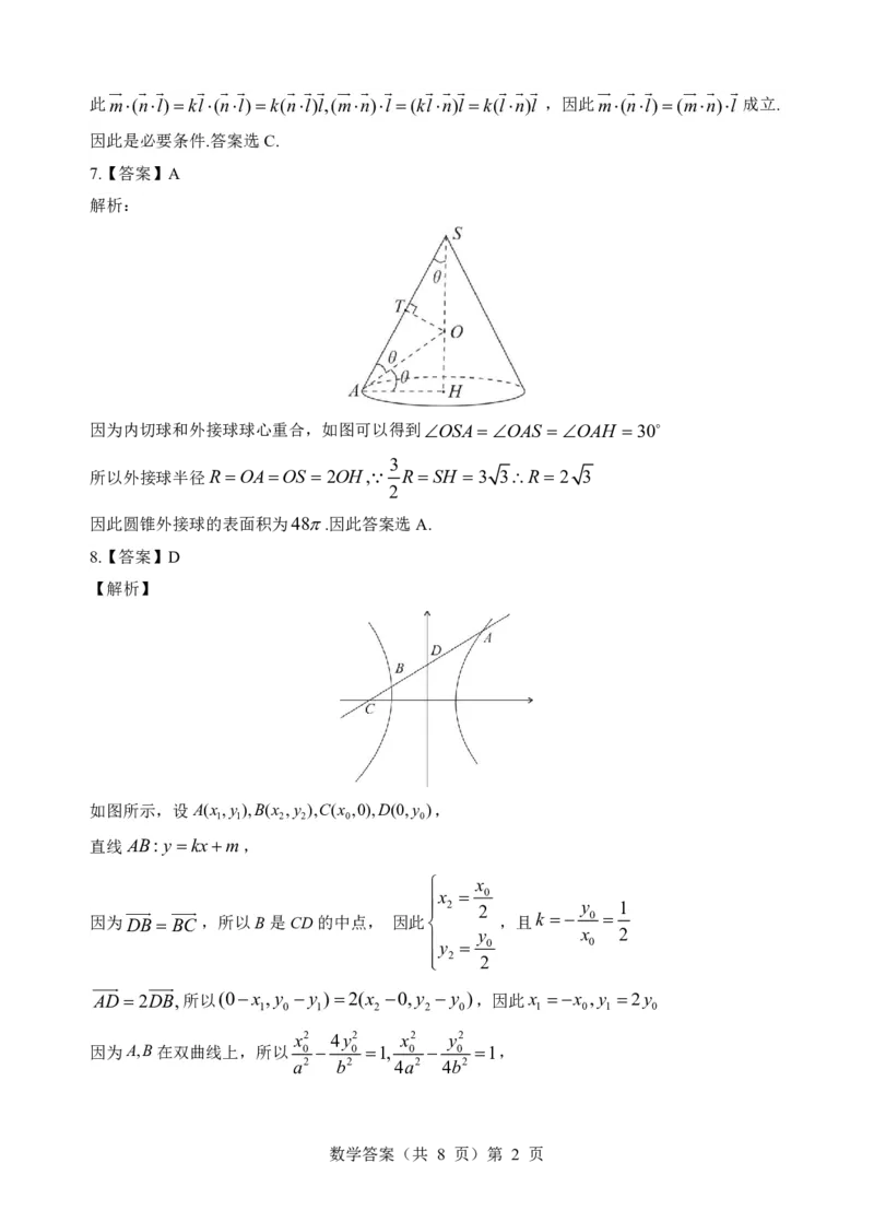
壮行考数学答案_2025年5月_2505192025届湖北省新八校协作体高三下学期5月壮行考(全科)_02数学
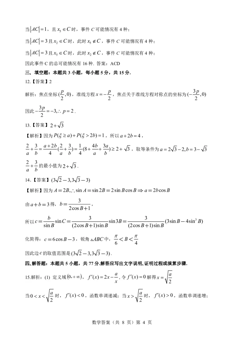
壮行考数学答案_2025年5月_2505192025届湖北省新八校协作体高三下学期5月壮行考(全科)_02数学
壮行考数学答案_2025年5月_2505192025届湖北省新八校协作体高三下学期5月壮行考(全科)_02数学
壮行考数学答案_2025年5月_2505192025届湖北省新八校协作体高三下学期5月壮行考(全科)_02数学
壮行考数学答案_2025年5月_2505192025届湖北省新八校协作体高三下学期5月壮行考(全科)_02数学
壮行考数学答案_2025年5月_2505192025届湖北省新八校协作体高三下学期5月壮行考(全科)_02数学
壮行考数学答案_2025年5月_2505192025届湖北省新八校协作体高三下学期5月壮行考(全科)_02数学
壮行考数学答案_2025年5月_2505192025届湖北省新八校协作体高三下学期5月壮行考(全科)_02数学
壮行考数学答案_2025年5月_2505192025届湖北省新八校协作体高三下学期5月壮行考(全科)_02数学

文档信息

文档格式
pdf
文档大小
0.275 MB
文档页数
8 页
上传时间
2026-02-11 03:50:48

文档内容

2025 年高三 5 月壮行考试 数学参考答案 一、选择题:本题共8小题,每小题5分,共40分.在每小题给出的四个选项中,只有一项是符 合题目要求的. 1.【答案】D 【解析】因为 x2 2x802 x 4 , A{xZ |2 x  4},B {y| y  0},A B {xZ |0 x  4}{1,2,3} 答案选D. 2. 【答案】B 【解析】i2025z2iziz2iz(i1)z i2 i2 1 3 所以z    i ,选B. i1 2 2 3.【答案】D 【解析】当m1时,得到a a a ,所以{a }是以a 为首项,以a 为公差的等差数列,所 n1 1 n n 1 1 以a na ,因为a 6,所以a 2,所以S 110.答案选D. n 1 3 1 10 4. 【答案】C 40 60 【解析】平均值x 30 2527 100 100 40 60 方差s2  [18(3027)2] [12(2527)2] 20.4 ,答案选C. 100 100 5. 【答案】A 【解析】函数的定义域为(1,1) 1x 1x 容易证明: y  ln( ) 是偶函数,因此 f(x)(2xa) ln( ) 是奇函数,可以得到 1x 1x y 2xa是奇函数,易得实数a的值为0.答案选A. 6.【答案】C     【解析】当n0时,m,l 可以是任意向量,因此是不充分条件;                 当ml 时,若l  0,显然m(nl)(mn)l 成立;当l  0,因为ml ,所以m  kl ,因 数学答案(共 8 页)第 1 页 {#{QQABbYApwgCwgBSACL5rUQFoCgmQkJOgJcoEwUAYuAQCgZNABAA=}#}                        此m(nl)kl(nl)k(nl)l,(mn)l (kln)l k(ln)l ,因此m(nl)(mn)l 成立. 因此是必要条件.答案选C. 7.【答案】A 解析: 因为内切球和外接球球心重合,如图可以得到OSAOAS OAH 30 3 所以外接球半径R OAOS  2OH, R SH 3 3R  2 3 2 因此圆锥外接球的表面积为48.因此答案选A. 8.【答案】D 【解析】 如图所示,设A(x,y ),B(x ,y ),C(x ,0),D(0,y ), 1 1 2 2 0 0 直线AB:y kxm,  x x  0     2 2 y 1 因为DB  BC,所以B是CD的中点, 因此 ,且k  0  y x 2  y  0 0  2 2   AD 2DB,所以(0x ,y  y )2(x 0,y  y ),因此x x ,y 2y 1 0 1 2 2 0 1 0 1 0 x2 4y2 x2 y2 因为A,B在双曲线上,所以 0  0 1, 0  0 1, a2 b2 4a2 4b2 数学答案(共 8 页)第 2 页 {#{QQABbYApwgCwgBSACL5rUQFoCgmQkJOgJcoEwUAYuAQCgZNABAA=}#}b2 5y2 5 a2b2 3 两式相减得  0  ,即e  . a2 x2 4 a2 2 0 答案选D. 二、 选择题:本题共3小题,每小题6分,共18分.在每小题给出的选项中,有多项符合题目要 求.全部选对的得6分,部分选对的得部分分,有选错的得0分. 9.【答案】BD S 3r,n1 【解析】因为S 3n r,所以a  1 n n S S 23n1,n2 n n1 当r 3时,a a 6,所以数列{a }不是递增数列; 1 2 n 数列{a }是等比数列,则3r 2r 1; n 因为a 232n1,所以数列{a }一定是等比数列;当r 1时,数列{a }不是等比数列. 2n 2n 2n1 因此答案选:BD. 10.【答案】ABD 3 解析:通过作出两个函数的图像可以得到B选项正确,且4个点两两关于点( ,0)对称, 2 因此D选项正确,C选项错误.因为 51 tanx cosx ,sinx cos2x 1sin2x sinx  ,A正确. 1 1 1 1 1 1 2 答案选ABD. 11.【答案】ACD 解析:容易验证A成立 | ABC| | A| |B| |C| 因为P(ABC) P(A)P(B)P(C),所以    4| ABC||C| 8 8 8 8 P(AC) P(A)P(C),|C|2| AC| 因此| ABC|的可能取值为0,1,2 当| ABC|0时,C ;当| ABC|2时,C ,不符合条件②, 因此| ABC|1,所以 C 4,又因为| AC |0或4时,| ABC |1 因此 AC 的可能取值1,3,且AB{x ,x } 2 5 当 AC 1且x C时,此时x ,x ,x C,事件C可能情况有4种; 2 1 5 8 数学答案(共 8 页)第 3 页 {#{QQABbYApwgCwgBSACL5rUQFoCgmQkJOgJcoEwUAYuAQCgZNABAA=}#}当 AC 1,且x C时,事件C可能情况有4种; 5 当 AC 3且x C时,此时x C,事件C可能情况有4种; 2 5 当 AC 3且x C时,此时x C,事件C可能情况有4种; 5 2 因此事件C的总可能情况有16种. 答案:ACD 三、 填空题:本题共3小题,每小题5分,共15分. 12.【答案】2 p p 3p 解析:焦点坐标( ,0),准线方程x ,焦点关于准线方程对称点的坐标为( ,0) 2 2 2 3p 因此 3, p 2. 2 13.【答案】2 3 【解析】因为P(a)P(2b)1,所以a2b4, 2 3 a2b 2 3 1 4b 3a   (  ) (8  ) 2 3 ,取等条件为a 2 32,b3 3 a b 4 a b 4 a b 2 3  的最小值为2 3. a b 14.【答案】(3 2-3,3 3-3) 【解析】因为A=2B,\sinA=sin2B=2sinBcosBÞa=2bcosB 3 由a+b=3得,b= , 2cosB+1 b 3 3 所以c= sinC= sin3B= (3sinB-4sin3B) sinB (2cosB+1)sinB (2cosB+1)sinB   化简得:c=6cosB-3,锐角ABC中,