当前位置:首页>文档>2010年高考数学试卷(理)(辽宁)(解析卷)_数学历年高考真题_新·PDF版2008-2025·高考数学真题_数学(按年份分类)2008-2025_2010·高考数学真题

2010年高考数学试卷(理)(辽宁)(解析卷)_数学历年高考真题_新·PDF版2008-2025·高考数学真题_数学(按年份分类)2008-2025_2010·高考数学真题

  • 2026-04-11 14:12:52 2026-02-12 00:03:29

文档预览

2010年高考数学试卷(理)(辽宁)(解析卷)_数学历年高考真题_新·PDF版2008-2025·高考数学真题_数学(按年份分类)2008-2025_2010·高考数学真题
2010年高考数学试卷(理)(辽宁)(解析卷)_数学历年高考真题_新·PDF版2008-2025·高考数学真题_数学(按年份分类)2008-2025_2010·高考数学真题
2010年高考数学试卷(理)(辽宁)(解析卷)_数学历年高考真题_新·PDF版2008-2025·高考数学真题_数学(按年份分类)2008-2025_2010·高考数学真题
2010年高考数学试卷(理)(辽宁)(解析卷)_数学历年高考真题_新·PDF版2008-2025·高考数学真题_数学(按年份分类)2008-2025_2010·高考数学真题
2010年高考数学试卷(理)(辽宁)(解析卷)_数学历年高考真题_新·PDF版2008-2025·高考数学真题_数学(按年份分类)2008-2025_2010·高考数学真题
2010年高考数学试卷(理)(辽宁)(解析卷)_数学历年高考真题_新·PDF版2008-2025·高考数学真题_数学(按年份分类)2008-2025_2010·高考数学真题
2010年高考数学试卷(理)(辽宁)(解析卷)_数学历年高考真题_新·PDF版2008-2025·高考数学真题_数学(按年份分类)2008-2025_2010·高考数学真题
2010年高考数学试卷(理)(辽宁)(解析卷)_数学历年高考真题_新·PDF版2008-2025·高考数学真题_数学(按年份分类)2008-2025_2010·高考数学真题
2010年高考数学试卷(理)(辽宁)(解析卷)_数学历年高考真题_新·PDF版2008-2025·高考数学真题_数学(按年份分类)2008-2025_2010·高考数学真题
2010年高考数学试卷(理)(辽宁)(解析卷)_数学历年高考真题_新·PDF版2008-2025·高考数学真题_数学(按年份分类)2008-2025_2010·高考数学真题
2010年高考数学试卷(理)(辽宁)(解析卷)_数学历年高考真题_新·PDF版2008-2025·高考数学真题_数学(按年份分类)2008-2025_2010·高考数学真题
2010年高考数学试卷(理)(辽宁)(解析卷)_数学历年高考真题_新·PDF版2008-2025·高考数学真题_数学(按年份分类)2008-2025_2010·高考数学真题
2010年高考数学试卷(理)(辽宁)(解析卷)_数学历年高考真题_新·PDF版2008-2025·高考数学真题_数学(按年份分类)2008-2025_2010·高考数学真题
2010年高考数学试卷(理)(辽宁)(解析卷)_数学历年高考真题_新·PDF版2008-2025·高考数学真题_数学(按年份分类)2008-2025_2010·高考数学真题

文档信息

文档格式
pdf
文档大小
1.254 MB
文档页数
10 页
上传时间
2026-02-12 00:03:29

文档内容

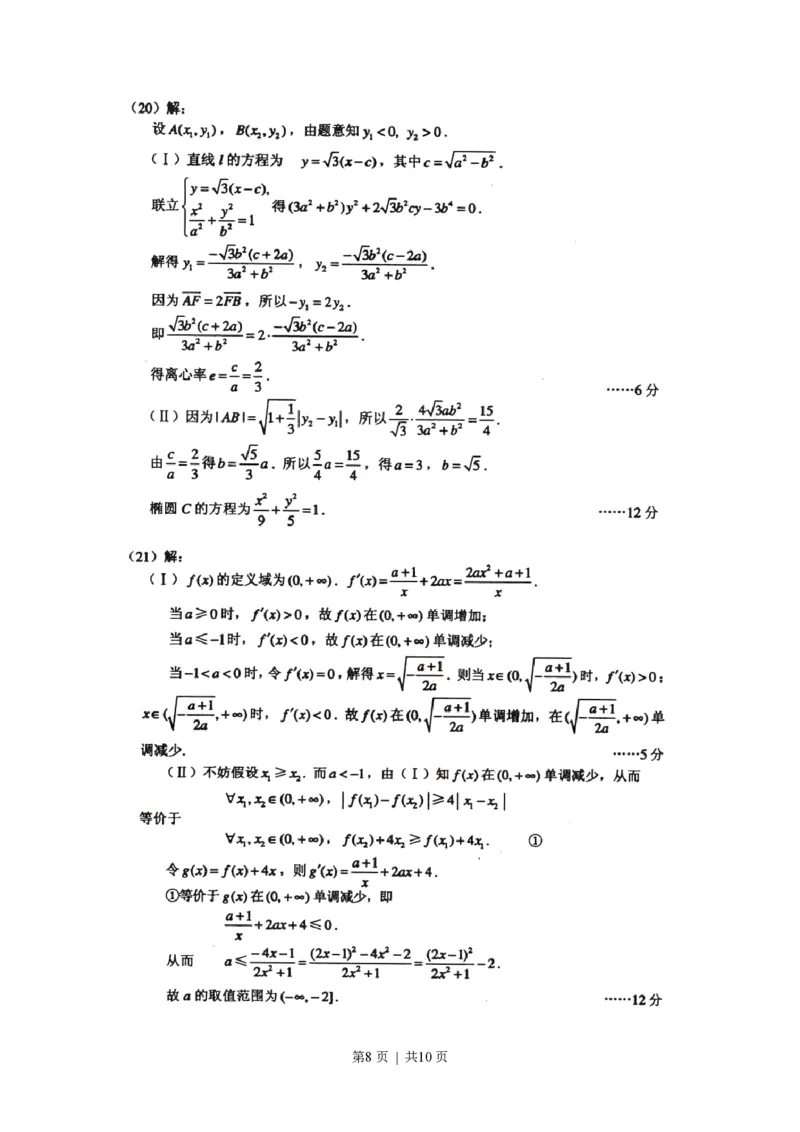
2010 年辽宁高考理科数学真题及答案 第I卷 一、选择墨:本大题共12小题,每小题5分,在每小题给出的四个选项中,只有一项 是符合题目要求的, (1) 已知A,B均为集合U={1,3,5,7,9}的子集,且A∩B={3},( B∩A={9},则A= (A){1,3} (B){3,7,9} (C){3,5,9} (D){3,9} 1+2i (2)设a,b为实数,若复数 =1+i,则 a+bi 3 1 (A)a= ,b= (B) a=3,b=1 2 2 1 3 (C) a= ,b= (D) a=1,b=3 2 2 2 3 (3)两个实习生每人加工一个零件.加工为一等品的概率分别为 和 ,两个零件是 3 4 否加工为一等品相互独立,则这两个零件中恰有一个一等品的概率为 1 5 1 1 (A) (B) (C) (D) 2 12 4 6 (4)如果执行右面的程序框图,输入正整数n,m, 满足n≥m,那么输出的P等于 (A)Cm-1 n (B) Am-1 n (C) Cm n (D) Am n p 4p (5)设w>0,函数y=sin(wx+ )+2的图像向右平移 个单位后与原图像重合,则w的 3 3 最小值是 2 4 3 (A) (B) (C) (D)3 3 3 2 (6)设{a}是有正数组成的等比数列,S 为其前n项和。已知aa=1, S =7,则S = n n 2 4 3 5 第1页 | 共10页15 31 33 17 (A) (B) (C) (D) 2 4 4 2 (7)设抛物线y2=8x的焦点为F,准线为l,P为抛物线上一点,PA⊥l,A为垂足.如 果直线AF的斜率为- 3 ,那么|PF|= (A)4 3 (B)8 (C)8 3 (D) 16 (8)平面上O,A,B三点不共线,设OA=a,OB=b,则△OAB的面积等于 (A) |a|2|b|2 -(a b)2 (B) |a|2|b|2 +(a b)2 g g 1 1 (C) |a|2|b|2 -(a b)2 (D) |a|2|b|2 +(a b)2 g g 2 2 (9)设双曲线的—个焦点为F;虚轴的—个端点为B,如果直线FB与该双曲线的一条渐 近线垂直,那么此双曲线的离心率为 3+1 5+1 (A) 2 (B) 3 (C) (D) 2 2 4 (1O)已知点P在曲线y= 上,a为曲线在点P处的切线的倾斜角,则a的取值 ex +1 范围是 p p p p 3p 3p (A)[0, ) (B)[ , ) ( , ] (D) [ ,p) 4 4 2 2 4 4 (11)已知a>0,则x 满足关于x的方程ax=6的充要条件是 0 1 1 1 1 (A)$xÎR, ax2 -bx³ ax2 -bx (B) $xÎR, ax2 -bx£ ax2 -bx 2 2 0 0 2 2 0 0 1 1 1 1 (C) "xÎR, ax2 -bx³ ax2 -bx (D) "xÎR, ax2 -bx£ ax2 -bx 2 2 0 0 2 2 0 0 (12) (12)有四根长都为2的直铁条,若再选两根长都为a的直铁条,使这六根铁条端 点处相连能够焊接成一个三棱锥形的铁架,则a的取值范围是 (A)(0, 6+ 2) (B)(1,2 2) (C) ( 6- 2, 6+ 2) (D) (0,2 2) 二、填空题:本大题共4小题,每小题5分。 1 (13)(1+ x+ x2)(x- )6的展开式中的常数项为_________. x (14)已知-1< x+ y < 4且2< x- y <3,则z = 2x-3y的取值范围是_______(答案用 区间表示) (15)如图,网格纸的小正方形的边长是1,在其上用粗线画出 了某多面体的三视图,则这个多面体最长的一条棱的长为 ______. 第2页 | 共10页a (16)已知数列a 满足a =33,a -a = 2n,则 n 的最小值为__________. n 1 n+1 n n 三、解答题:解答应写出文字说明,证明过程或演算步骤。 (17)(本小题满分12分) 在△ABC中,a, b, c分别为内角A, B, C的对边,且 2asinA= (2a+c)sinB+(2c+b)sinC. (Ⅰ)求A的大小; (Ⅱ)求sinB+sinC的最大值. (18)(本小题满分12分) 为了比较注射A, B两种药物后产生的皮肤疱疹的面积,选200只家兔做试验,将这 200只家兔随机地分成两组,每组100只,其中一组注射药物A,另一组注射药物B。 (Ⅰ)甲、乙是200只家兔中的2只,求甲、乙分在不同组的概率; (Ⅱ)下表1和表2分别是注射药物A和B后的试验结果.(疱疹面积单位:mm2) 表1:注射药物A后皮肤疱疹面积的频数分布表 (ⅰ)完成下面频率分布直方图,并比较注射两种药物后疱疹面积的中位数大小; 第3页 | 共10页(ⅱ)完成下面2×2列联表,并回答能否有99.9%的把握认为“注射药物A后的疱疹面积 与注射药物B后的疱疹面积有差异”. 表3: (19)(本小题满分12分) 已知三棱锥P-ABC中,PA⊥ABC,AB⊥AC,PA=AC=½AB,N为AB上一点,AB=4AN,M,S 分别为PB,BC的中点. (Ⅰ)证明:CM⊥SN; (Ⅱ)求SN与平面CMN所成角的大小. (20)(本小题满分12分) x2 y2 设椭圆C: + =1(a>b>0)的左焦点为F,过点F的直线与椭圆C相交于A,B a2 b2 uuur uuur 两点,直线l的倾斜角为60o,AF =2FB. (I) 求椭圆C的离心率; 15 (II) 如果|AB|= ,求椭圆C的方程. 4 (21)(本小题满分12分) 已知函数 f(x) =(a+1)lnx+ax2 +1 (I)讨论函数 f(x)的单调性; 第4页 | 共10页(II)设a < -1.如果对任意x ,x Î(0,+),| f(x )- f(x )³ 4| x -x |,求a的取值 1 2 1 2 1 2 范围。 请考生在第(22)、(23)、(24)三题中任选一题做答,如果多做,则按所作的第一题记分。 作答时用2B铅笔在答题卡上吧所选题目对应题号下方的方框涂黑。 (22)(本小题满分10分)选修4-1:几何证明选讲 如图,ABC的角平分线AD的延长线交它的外接圆于点E (I)证明:ABE ADC 1 (II)若ABC的面积S = ADAE,求BAC的大小。 2 (23)(本小题满分10分)选修4-4:坐标系与参数方程 已知P 为半圆C: ( 为参数,0££p)上的点,点A 的坐标为(1,0), p O为坐标原点,点M在射线OP上,线段OM与C的弧 的长度均为 。 3 (I)以O为极点,x轴的正半轴为极轴建立极坐标系,求点M的极坐标; (II)求直线AM的参数方程。 (24)(本小题满分10分)选修4-5:不等式选讲 1 1 1 已知a,b,c均为正数,证明:a2 +b2 +c2 +( + + )2 ³6 3,并确定a,b,c为何值时, a b c 等号成立。 参考答案 一、选择题 (1)D (2)A (3)B (4)D (5)C (6)B (7)B (8)C (9)D (10)D (11)C (12)A 二、填空题 21 (13)-5 (14)(3,8) (15)2 3 (16) 2 (17)解: (Ⅰ)由已知,根据正弦定理得2a2 =(2b+c)b+(2c+b)c 第5页 | 共10页即 a2 =b2 +c2 +bc 由余弦定理得 a2 =b2 +c2 -2bccosA 1 故 cosA=- ,A=120° ……6分 2 (Ⅱ)由(Ⅰ)得: sinB+sinC =sinB+sin(60°-B) 3 1 = cosB+ sinB 2 2 =sin(60°+B) 故当B=30°时,sinB+sinC取得最大值1。 ……12分 (18)解: (Ⅰ)甲、乙两只家兔分在不同组的概率为 2C99 100 P= 198 = ……4分 C100 199 200 (Ⅱ)(i) 图Ⅰ注射药物A后皮肤疱疹面积的频率分布直方图 图Ⅱ注射药物B后皮肤疱疹面积的频 率分布直方图 可以看出注射药物A后的疱疹面积的中位数在65至70之间,而注射药物B后的疱疹 面积的中位数在70至75之间,所以注射药物A后疱疹面积的中位数小于注射药物B后疱疹 面积的中位数。 ……8分 (ii)表3: 第6页 | 共10页200´(70´65-35´30)2 K2 = »24.56 100´100´105´95 由于K2>10.828,所以有99.9%的把握认为“注射药物A后的疱疹面积于注射药物B后的疱 疹面积有差异”。 第7页 | 共10页第8页 | 共10页第9页 | 共10页第10页 | 共10页