壁纸
办公文件
生活文档
学习资料
当前位置:
首页
>
文档
>化学答案-湖北省高中名校联盟2024届高三第一次联合测评_2023年8月_01每日更新_18号_2024届湖北省圆创高中名校联盟高三上学期第一次联合测评
化学答案-湖北省高中名校联盟2024届高三第一次联合测评_2023年8月_01每日更新_18号_2024届湖北省圆创高中名校联盟高三上学期第一次联合测评
2026-02-12 16:12:16
2026-02-12 16:12:16
文档预览
文档信息
文档格式
pdf
文档大小
0.246 MB
文档页数
2 页
上传时间
2026-02-12 16:12:16
下载文档
文档内容
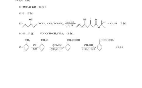
{#{QQABCYKUogCgABBAARhCUQUACACQkBAACKgOREAMMAIACRNABAA=}#}{#{QQABCYKUogCgABBAARhCUQUACACQkBAACKgOREAMMAIACRNABAA=}#}
提示
为了保护文档版权,请下载文档后查看完整内容
下载文档
关闭
本文档来自网络内容,如有侵犯您的权益请联系我们删除,联系邮箱:wyl860211@qq.com。
上一篇
江西创智协作体2026年元月高三联合调研考试语文答案(1)_2026年1月_260116江西创智协作体2026年元月高三联合调研考试
下一篇
化学答案111C(1)_2023年10月_0210月合集_2024届贵州省高三10月金太阳大联考(24-111C)_贵州省2024届高三10月金太阳大联考(24-111C)化学
最新文档
江西省抚州市金溪一中2026届高三期末语文阶段性作业(1)_2026年1月_260126江西省五市十校协作体2025-2026学年高三上学期1月期末阶段性作业(全科)
化学答案111C(1)_2023年10月_0210月合集_2024届贵州省高三10月金太阳大联考(24-111C)_贵州省2024届高三10月金太阳大联考(24-111C)化学
江西创智协作体2026年元月高三联合调研考试语文答案(1)_2026年1月_260116江西创智协作体2026年元月高三联合调研考试
化学答案-9月质量检测(X)_2023年9月_01每日更新_27号_2024届河南省九师联盟高三9月质量监测(X)_河南省九师联盟204届高三9月质量监测(X)化学
江西创智协作体2026年元月高三联合调研考试语文(1)_2026年1月_260116江西创智协作体2026年元月高三联合调研考试
化学答案(1)_2023年8月_028月合集_2023届辽宁省名校联盟高三上学期9月联考
精品解析:2024年新课标Ⅰ卷英语真题(含听力)(原卷版)_高考真题全网收集_英语_精品解析:2024年新课标全国Ⅰ卷英语高考真题解析(参考版)
江西创智协作体2026年元月高三联合调研考试英语含答案(1)_2026年1月_260116江西创智协作体2026年元月高三联合调研考试
化学答案(1)_2023年7月_027月合集_2023届九师联盟高三开学考试(老高考)
化学答案(1)_2023年10月_0210月合集_2024届陕西省天一大联考高三上学期10月阶段性测试(一)_陕西省天一大联考2024届高三上学期10月阶段性测试(一)化学
热门文档
化学答案(1)_2023年10月_0210月合集_2024届重庆市铜梁一中等三校高三上学期10月联考_重庆市铜梁一中等三校2024届高三上学期10月联考化学
江西创智协作体2026年元月高三联合调研考试生物答案(1)_2026年1月_260116江西创智协作体2026年元月高三联合调研考试
化学答案(1)_2023年10月_0210月合集_2024届辽宁省锦州市渤海大学附属高级中学高三上学期第二次考试_辽宁省锦州市渤海大学附属高级中学2024届高三上学期第二次考试化学
精品解析:2024年新课标Ⅰ卷英语真题(含听力)(原卷版)_高考真题全网收集_英语_2024年新课标全国Ⅰ卷英语高考真题解析(参考版)
化学答案(1)_2023年10月_0210月合集_2024届辽宁省名校联盟高三上学期10月联合考试_辽宁省名校联盟2024届高三上学期10月联合考试化学
江西创智协作体2026年元月高三联合调研考试生物(1)_2026年1月_260116江西创智协作体2026年元月高三联合调研考试
江西创智协作体2026年元月高三联合调研考试物理答案(1)_2026年1月_260116江西创智协作体2026年元月高三联合调研考试
化学答案(1)_2023年10月_0210月合集_2024届辽宁省北镇市第三高级中学高三上学期第二次月考_辽宁省北镇市第三高级中学2024届高三上学期第二次月考化学
化学答案(1)_2023年10月_0210月合集_2024届湖南省三湘名校教育联盟、湖湘名校教育联合体高三上学期10月大联考
江西创智协作体2026年元月高三联合调研考试物理(1)_2026年1月_260116江西创智协作体2026年元月高三联合调研考试
随机文档
化学答案(1)_2023年10月_0210月合集_2024届湖北省腾云联盟上学期高三年级十月联考_湖北省腾云联盟2024届上学期高三年级十月联考化学
精品解析:2024年新课标ⅠⅠ卷英语真题(含听力)(解析版)_高考真题全网收集_英语_精品解析:2024年高考新课标Ⅱ卷英语高考真题解析(参考版)
化学答案(1)_2023年10月_0210月合集_2024届河北省唐县第一中学高三上学期10月月考_河北省唐县第一中学2024届高三上学期10月月考化学
江西创智协作体2026年元月高三联合调研考试数学答案(1)_2026年1月_260116江西创智协作体2026年元月高三联合调研考试
化学答案(1)_2023年10月_0210月合集_2024届山西省高三上学期10月金太阳联考_山西省2024届高三上学期10月金太阳联考化学
化学答案(1)_2023年10月_0210月合集_2024届安徽省皖东智校协作联盟高三上学期10月联考_安徽省皖东智校协作联盟2024届高三上学期10月联考化学
江西创智协作体2026年元月高三联合调研考试数学(1)_2026年1月_260116江西创智协作体2026年元月高三联合调研考试
江西创智协作体2026年元月高三联合调研考试政治答案(1)_2026年1月_260116江西创智协作体2026年元月高三联合调研考试
江西创智协作体2026年元月高三联合调研考试政治(1)_2026年1月_260116江西创智协作体2026年元月高三联合调研考试
江西创智协作体2026年元月高三联合调研考试地理答案(1)_2026年1月_260116江西创智协作体2026年元月高三联合调研考试