当前位置:首页>文档>河北省部分学校2023-2024学年高三上学期摸底考试数学试题答案_2024年2月_01每日更新_17号_2024届新结构试卷19题“九省联考模式”数学试卷33套

河北省部分学校2023-2024学年高三上学期摸底考试数学试题答案_2024年2月_01每日更新_17号_2024届新结构试卷19题“九省联考模式”数学试卷33套

  • 2026-03-20 14:53:54 2026-02-17 07:31:32

文档预览

河北省部分学校2023-2024学年高三上学期摸底考试数学试题答案_2024年2月_01每日更新_17号_2024届新结构试卷19题“九省联考模式”数学试卷33套
河北省部分学校2023-2024学年高三上学期摸底考试数学试题答案_2024年2月_01每日更新_17号_2024届新结构试卷19题“九省联考模式”数学试卷33套
河北省部分学校2023-2024学年高三上学期摸底考试数学试题答案_2024年2月_01每日更新_17号_2024届新结构试卷19题“九省联考模式”数学试卷33套
河北省部分学校2023-2024学年高三上学期摸底考试数学试题答案_2024年2月_01每日更新_17号_2024届新结构试卷19题“九省联考模式”数学试卷33套
河北省部分学校2023-2024学年高三上学期摸底考试数学试题答案_2024年2月_01每日更新_17号_2024届新结构试卷19题“九省联考模式”数学试卷33套

文档信息

文档格式
pdf
文档大小
0.251 MB
文档页数
5 页
上传时间
2026-02-17 07:31:32

文档内容

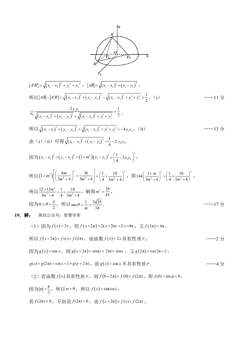
2023——2024 学年河北省部分学校高三摸底考试 数学试题评分参考 一、选择题:本题共 8小题,每小题 5分,共 40分。 1.C 2.D 3.A 4.B 5.D 6.A 7.D 8.D 二、选择题:本题共3小题,每小题6分,共 18分,在每小题给出的选项中,有多项符合题目要求。 全部选对的得6分,部分选对得 3 分,有选错的得 0 分。 9.BD 10.BC 11.AD 三、填空题:本题共 3 小题,每小题 5分,共 15分。 12. 3 13. 5 14.13π 四、解答题:本题共 5 小题,共 77 分。 15.解: (1) f(x)的定义域为(0,), ……2 分 1 1x 当a1时, f xlnxx, fx 1 , x x 1x 当 fx 0,解得:0 x1, ……4 分 x 1x 当 fx 0,解得:x1. ……6分 x  f(x)在(0,1)上为增函数;f(x)在(1,)上为减函数; ……8分 a ax (2) f(x)的定义域为(0,), fx 1 , x x 当a0时,令 fx0,得0xa,令 fx0时,得xa, ……10分  f(x)的递增区间为0,a,递减区间为a,.f(x) alnaaa(lna1). ……13分 max 16.解: (1)由   S n  是首项为1 、公差为 1 的等差数列, nn1  2 3 S 1 1 n 1 故 n   n1  , nn1 2 3 3 6 n 1 n2n1n1 即S   nn1 , ……4分 n 3 6 6 n2n1n1 当n2时,S  , n1 6 {#{QQABbQQUogAIABBAAAhCEwEKCAIQkBCAACoGxAAMsAAACQNABAA=}#}n2n1n1 n2n1 n1 n  2n23n12n23n1  故S S a    n2, ……6 分 n n1 n 6 6 6 32 当n1时,a S  1,符合上式,故a n2; ……8分 1 1 6 n n2n1n1 (2)由a n2,S  , n n 6 2n1a 62n1n2 6 2n 1n 故b  n   , ……11分 n S n2n1n1 2n1n1 n 621 6412 62n1n 6n21 6n 则T bb b      , n 1 2 n 2111 4121 2n1n1 2n1n1 2n1n1 由2n1n1326,故T  6n 6n1, n 6 n n 1  16n 6n1 则T 6n1   . ……15分 i 16 5 i1 i1 17.解: (1)由题意,X 1,2,3,...,8 故P(X k) p(1 p)k1,k1,2,,7,P(X 8)(1 p)7 ……2 分 分布列如下: X 1 2 3 4 5 6 7 8 P p p(1 p) p(1p)2 p(1p)3 p(1p)4 p(1p)5 p(1p)6 (1 p)7 ……5分 所以X 的数学期望E(X) p(1p)02p(1p)13p(1p)2 7p(1p)68(1p) 7, ……8 分 记S (1p)02(1p)13(1p)2 7(1p)6 , (1 p)S (1 p)12(1 p)23(1 p)3 7(1 p)7 , 11 p7 作差可得, pS 1p01p1 1p 2  1p 67 1p 7 7 1p 7 , p 1(1 p)7 1(1 p)8 1 则E(X) pS 8(1p)7 (1p)7  ; ……12 分 p p p 1 (2)由(1)可知E(X) 5,则试验成本的期望小于5a元, p 试验成功则获利8a元,且8a5a,则该公司应该投资该产品 ……15 分 {#{QQABbQQUogAIABBAAAhCEwEKCAIQkBCAACoGxAAMsAAACQNABAA=}#}18.解: (1)由椭圆的定义知: AF  AF 2a, BF  BF 2a, 1 2 1 2 所以△ABF 的周长L4a8,所以a2, ……2分 2 又椭圆离心率为1 ,所以 c  1 ,所以c1,b2 a2c2 3, 2 a 2 x2 y2 由题意,椭圆的焦点在x轴上,所以椭圆的标准方程为  1; ……5 分 4 3 x2 y2 (2)①由直线l:y0 3x1与  1, 4 3    8 3  联立求得A 0, 3 ,(因为点A在x轴上方)以及B , 3 ,  5 5  再以O为坐标原点,折叠后原y轴负半轴,原x轴,原y轴正半轴所在直线为x,y,z轴建立 空间直角坐标系,则 F 0,1,0,A  0,0, 3 ,B   3 3, 8 ,0   ,F 0,1,0,  F  A    0,1, 3  ,  B  F     3 3, 13 ,0   . 1 5 5  2 1 2  5 5    记异面直线AF 和BF 所成角为,则cos cos  F  A  ,  B  F    F  1  A  B  F  2  13 ; ……7 分 1 2 1 2 FA BF 28 1 2 ②设折叠前Ax ,y ,Bx ,y ,折叠后A, B 在新图形中对应点记为A,B,Ax,y ,0, 1 1 2 2 1 1 Bx ,0,y , 2 2 15 1 由 AF  BF  AB  , AF  BF |AB|8,故 AB  AB  , 2 2 2 2 2 2 myx1 将直线l方程与椭圆方程联立  x2 y2 ,得 3m24  y26my90 ,   1  4 3 6m 9 y  y  ,y y  , ……9 分 1 2 3m24 1 2 3m24 在折叠后的图形中建立如图所示的空间直角坐标系, {#{QQABbQQUogAIABBAAAhCEwEKCAIQkBCAACoGxAAMsAAACQNABAA=}#}AB  x x 2  y2  y 2 , AB  x x 2y y 2 , 1 2 1 2 1 2 1 2 1 所以 AB  AB  x x 2y y 2  x x 2 y2 y2  ,(i) ……11分 1 2 1 2 1 2 1 2 2 2y y 1 1 2  又 , x x 2y y 2  x x 2 y2 y2 2 1 2 1 2 1 2 1 2 所以 x x 2y y 2  x x 2 y2 y2 4y y ,(ii) ……13 分 1 1 1 2 1 2 1 1 1 2 1 由(i)(ii)可得 x x 2 y  y 2  2 y y, 1 2 1 2 4 1 2 2 因为x 1 x 2 2y 1 y 2 2   1m2y 1 y 2 2     1 4 2y 1 y 2    , 所以  1m2     6m   2  36      1  18   2 ,即144   1m   2    1  18   2 , 3m2 4 3m2 4 4 3m2 4 3m24 4 3m24 1212m2 1 18 28 所以   ,解得m2  , 3m24 4 3m24 45  1 3 35 因为0 ,所以tan  . ……17分 2 m 14 19.解: 微信公众号:智慧学库 (1)因为 f x2x,则 f x2π2(x2π) 2x4π,又 f 2π4π, 所以 f x2π f (x) f (2π),故函数 f x2x具有性质 P ; ……2分 因为gxcosx,则gx2πcos(x2π) cosx ,又g2πcos2π1, g(x)g(2π)cosx1g(x2π),故gxcosx不具有性质 P. ……4分 (2)若函数 f x具有性质 P ,则 f 02π f (0) f (2π),即 f(0)sin0, π 因为 ,所以0,所以 f xsin(x); 2 若 f(2π)0,不妨设 f(2π)0,由 f x2π f (x) f (2π), {#{QQABbQQUogAIABBAAAhCEwEKCAIQkBCAACoGxAAMsAAACQNABAA=}#}得 f 2kπ f(0)kf(2π)  kf(2π)(kZ)(*), ……7 分 只要k充分大时,kf(2π)将大于1,而 f x的值域为[1,1], 故等式(*)不可能成立,所以必有 f(2π)0成立, 3 5 即sin(2π)0,因为  ,所以3π2π5π, 2 2 所以2π4π,则2,此时 f xsin2x, 则 f x2πsin2(x2π) sin2x, 而 f(x) f(2π)sin2xsin4π sin2x ,即有 f x2π f (x) f (2π)成立, 所以存在2,0使函数 f x具有性质 P. ……10分 (3)证明:由函数 f x具有性质 P 及(2)可知, f(0)0, 由gx2πgx可知函数gx是以2π为周期的周期函数,则g2πg(0), 即sin(f(2π))sin(f(0))0,所以 f(2π)kπ,kZ; 由 f(0)0, f(2π)kπ以及题设可知, 函数 f x在 0,2π 的值域为 0,kπ ,所以kZ且k 0; 当k 2, f xπ及 f x2π时,均有gxsin  fx 0, 这与gx在区间0,2π上有且只有一个零点矛盾,因此k1或k 2; ……13 分 当k1时, f(2π)π,函数 f x在 0,2π 的值域为 0,π ,此时函数gx的值域为 0,1 , 而 f x2π f (x) π,于是函数 f x在 2π,4π 的值域为π,2π,此时函数gx的值域为1,0, 函数gxsin  f x在当x 0,2π 时和x 2π,4π 时的取值范围不同, 与函数gx是以2π为周期的周期函数矛盾, 故k 2,即 f(2π)2π,命题得证. ……17分 {#{QQABbQQUogAIABBAAAhCEwEKCAIQkBCAACoGxAAMsAAACQNABAA=}#}