当前位置:首页>文档>数学答案_2024-2025高二(7-7月题库)_2025年03月试卷_0302湖北省汉阳一中、江夏一中、洪山高中2024-2025学年高二下学期2月联考

数学答案_2024-2025高二(7-7月题库)_2025年03月试卷_0302湖北省汉阳一中、江夏一中、洪山高中2024-2025学年高二下学期2月联考

  • 2026-03-21 22:49:04 2026-02-18 10:47:58

文档预览

数学答案_2024-2025高二(7-7月题库)_2025年03月试卷_0302湖北省汉阳一中、江夏一中、洪山高中2024-2025学年高二下学期2月联考
数学答案_2024-2025高二(7-7月题库)_2025年03月试卷_0302湖北省汉阳一中、江夏一中、洪山高中2024-2025学年高二下学期2月联考
数学答案_2024-2025高二(7-7月题库)_2025年03月试卷_0302湖北省汉阳一中、江夏一中、洪山高中2024-2025学年高二下学期2月联考
数学答案_2024-2025高二(7-7月题库)_2025年03月试卷_0302湖北省汉阳一中、江夏一中、洪山高中2024-2025学年高二下学期2月联考

文档信息

文档格式
pdf
文档大小
0.508 MB
文档页数
4 页
上传时间
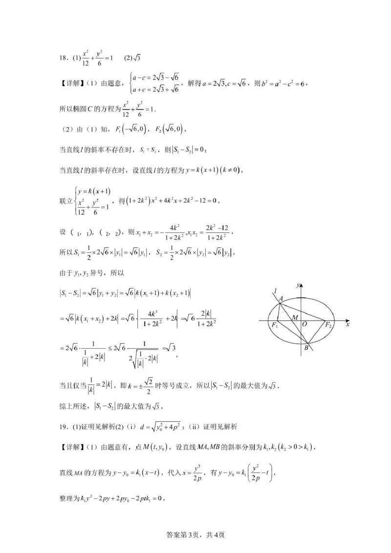
2026-02-18 10:47:58