当前位置:首页>文档>河北省沧州市六校2024-2025学年高二上学期12月月考历史试题(含答案)_2024-2025高二(7-7月题库)_2025年01月试卷_0105河北省沧州市六校联考2024-2025学年高二上学期12月月考试题

河北省沧州市六校2024-2025学年高二上学期12月月考历史试题(含答案)_2024-2025高二(7-7月题库)_2025年01月试卷_0105河北省沧州市六校联考2024-2025学年高二上学期12月月考试题

  • 2026-03-23 16:02:59 2026-02-18 15:06:42

文档预览

河北省沧州市六校2024-2025学年高二上学期12月月考历史试题(含答案)_2024-2025高二(7-7月题库)_2025年01月试卷_0105河北省沧州市六校联考2024-2025学年高二上学期12月月考试题
河北省沧州市六校2024-2025学年高二上学期12月月考历史试题(含答案)_2024-2025高二(7-7月题库)_2025年01月试卷_0105河北省沧州市六校联考2024-2025学年高二上学期12月月考试题
河北省沧州市六校2024-2025学年高二上学期12月月考历史试题(含答案)_2024-2025高二(7-7月题库)_2025年01月试卷_0105河北省沧州市六校联考2024-2025学年高二上学期12月月考试题
河北省沧州市六校2024-2025学年高二上学期12月月考历史试题(含答案)_2024-2025高二(7-7月题库)_2025年01月试卷_0105河北省沧州市六校联考2024-2025学年高二上学期12月月考试题
河北省沧州市六校2024-2025学年高二上学期12月月考历史试题(含答案)_2024-2025高二(7-7月题库)_2025年01月试卷_0105河北省沧州市六校联考2024-2025学年高二上学期12月月考试题
河北省沧州市六校2024-2025学年高二上学期12月月考历史试题(含答案)_2024-2025高二(7-7月题库)_2025年01月试卷_0105河北省沧州市六校联考2024-2025学年高二上学期12月月考试题
河北省沧州市六校2024-2025学年高二上学期12月月考历史试题(含答案)_2024-2025高二(7-7月题库)_2025年01月试卷_0105河北省沧州市六校联考2024-2025学年高二上学期12月月考试题
河北省沧州市六校2024-2025学年高二上学期12月月考历史试题(含答案)_2024-2025高二(7-7月题库)_2025年01月试卷_0105河北省沧州市六校联考2024-2025学年高二上学期12月月考试题

文档信息

文档格式
docx
文档大小
0.260 MB
文档页数
8 页
上传时间
2026-02-18 15:06:42

文档内容

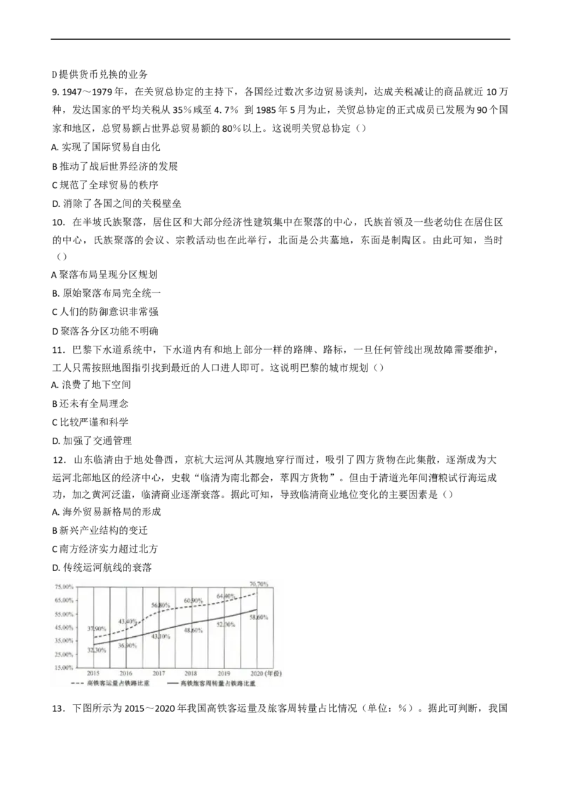
12月月考高二历史 一、选择题(本大题共15小题,每小题3分,共计45分。在每小题列出的四个选项中,只有一项是最 符合题目要求的。) 1.古代农业生产的三大要素是天地自然环境、农作物(包括动物)和人的生产实践活动。重视农时就是 重视天、地、人、物的协调统一,人的生产实践活动要与自然节律、农作物生长发育规律相协调,这是 农业生产的关键所在,中国古代的节气即在这一时期产生的。据此推知,古代农业的发展() A.促进了人们生活方式的变化 B实现了人口的快速增长 C增加了人类食物的供应需求 D推动了天文历法的进步 2.下面是某历史兴趣小组收集的记载意大利玉米种植的两则史料。这两则史料可用于() A.研究新物种的引进价值的变化 B.分析欧洲与亚洲间的物种大交换 C印证价格革命降低农产品价格 D准确把握玉米传人欧洲的时间点 3.《“十三五”国家食品安全规划》提出,食品生产经营者应当严格落实法定责任和义务,采取多种措 施,确保生产过程整洁卫生并符合有关标准规范;建立健全食品安全管理制度,配备食品安全管理人员; 主动监测已上市产品的质量安全状况,及时处置不符合标准或存在安全隐患的食品。据此可以看出() A.食品安全管理制度需要进行改进 B.国家卫生环境已经得到改善 C.食品安全隐患问题开始受到关注 D.国家高度重视食品安全管理 4.中国古代手摇纺车的锭子数目一般是 2至3枚,最多为5枚,每天最多纺纱3斤。宋元之际,产生了 将水利运用于纺织机械的大纺车,这种纺车锭子数目多达几十枚,一昼夜可纺一百多斤。这一变化表明 () A.工具进步促进了纺纱效率的提高 B.自给自足的自然经济受到破坏 C商业贸易是技术进步的重要途径D纺织业进人资本主义萌芽阶段 5.右面是1700~1850年牛津、约克和伦敦工人工资水平波动图。这反映出英国() A生产方式的转变推动了社会分工 B工业革命一定程度上提高了工人生活水平 C工业革命加剧了社会的贫富差距 D工业化进程极大地促进了民众的消费转型 6.“互联网十”即充分发挥互联网在生产要素配置中的优化和集成作用,将互联网作为当前信息化发展 的核心特征提取出来,并与工业、商业、金融业等传统行业进行全面融合,形成更广泛的以互联网为基础 设施和实现工具的经济发展新形态。这说明“互联网十”() A.为经济发展注人了新的活力 B.使人工智能成为新科技领域标杆 C促进劳动方式发生根本转变 D运用新技术开始改变人们的生活 7.下表所示为史籍中关于春秋战国时期社会发展状况的记载(部分)。这些记载体现出该时期() 史料 出处 “如杞梓、皮革,自楚往也。虽楚有材,晋实用之” 《左传》 “关市几而不征······通流财物粟米,无有滞留, 《荀子》 使相归移也,四海之内若一家” “(子贡)废贮(贱买贵卖)鬻财于曹鲁之间,七十子之 《史记》 徒赐最为饶益” A.商品经济比较活跃 B商人活动不受限制 C全国市场初步形成 D.人身依附关系松解 8.1580年,意大利威尼斯出现了世界上最早的银行--威尼斯银行。当时,由于每个国家的货币不一样, 因此如果一个国家的人到了另外一个国家,就没法使用本国现金,而威尼斯银行解决了这一问题。可见, 当时威尼斯银行() A垄断了国际金融贸易 B维护了国际金融秩序 C具有完善的信贷服务D提供货币兑换的业务 9.1947~1979年,在关贸总协定的主持下,各国经过数次多边贸易谈判,达成关税减让的商品就近10万 种,发达国家的平均关税从35%咸至4.7% 到1985年5月为止,关贸总协定的正式成员已发展为90个国 家和地区,总贸易额占世界总贸易额的80%以上。这说明关贸总协定() A.实现了国际贸易自由化 B推动了战后世界经济的发展 C规范了全球贸易的秩序 D.消除了各国之间的关税壁垒 10.在半坡氏族聚落,居住区和大部分经济性建筑集中在聚落的中心,氏族首领及一些老幼住在居住区 的中心,氏族聚落的会议、宗教活动也在此举行,北面是公共墓地,东面是制陶区。由此可知,当时 () A聚落布局呈现分区规划 B.原始聚落布局完全统一 C人们的防御意识非常强 D聚落各分区功能不明确 11.巴黎下水道系统中,下水道内有和地上部分一样的路牌、路标,一旦任何管线出现故障需要维护, 工人只需按照地图指引找到最近的人口进人即可。这说明巴黎的城市规划() A.浪费了地下空间 B还未有全局理念 C比较严谨和科学 D.加强了交通管理 12.山东临清由于地处鲁西,京杭大运河从其腹地穿行而过,吸引了四方货物在此集散,逐渐成为大 运河北部地区的经济中心,史载“临清为南北都会,萃四方货物”。但由于清道光年间漕粮试行海运成 功,加之黄河泛滥,临清商业逐渐衰落。据此可知,导致临清商业地位变化的主要因素是() A.海外贸易新格局的形成 B新兴产业结构的变迁 C南方经济实力超过北方 D.传统运河航线的衰落 13.下图所示为2015~2020年我国高铁客运量及旅客周转量占比情况(单位:%)。据此可判断,我国() A.交通体系呈现立体发展的趋势 B.高铁发展冲破了传统运输的弊端 C高铁核心技术发展领先于世界 D技术进步促进了交通运输的发展 14.考古发现,敦煌石窟中保存的《殷人罐火防疫图》,使用火燎的方法来杀虫防疫;早在公元前 3世纪 的《秦律》中就已规定对麻风病人进行隔离;配挂法是中医独特的防疫手段之一,唐代《千金方》认为用 太乙流金散“带心前,并挂门户上”可以防治传染病。这可用于说明中国古代() A防疫的策略具有多样性 B政府重视对疫病的防治 C.中医是抗疫的主要手段 D疫病流传形势异常严峻 15.1965年底,我国共有各级各类卫生防疫站2499个,与1952年相比,医疗机构增加了16倍,医师 (技师)增加了11倍,农村合作医疗覆盖率达到90% 1978年,全国医疗卫生机构发展到 169732个, 专业医院9293个,卫生技术人员2463931人,中医院与中医院校广泛建立。这些成就() A.推动了新型医疗合作制度的发展 B彰显了社会主义制度的优越性 C体现出医疗卫生技术的发展迅速 D.满足广大农民群众的医疗需求 二、非选择题(本大题包括4小题,第16题14分,第17题12分,第18题15分,第19题14分,共55 分。) 16.(14分)阅读材料,回答问题。 材料一 16~17世纪传入中国的三种粮食作物 学名 别名(部分) 原产地 传入途径(部分) 玉米 番麦 御麦 美洲 由西班牙殖民者带到菲律宾,再传 入中国 甘薯 番薯 金薯 关洲 由西班牙殖民者带到菲律宾,再传 入中国 马铃薯 洋番薯 荷兰薯 土豆 美洲 由荷兰殖民者带进台湾,再从台湾 传入大陆 材料二 乾隆在看到陆耀写的《甘薯录》后,令直隶总督刘峨、河南巡抚毕沅把此书广为传播,令彼等“当 即转饰各属,劝谕民人,广为栽种,接济民食,亦属备荒之一法”。 -摘编自邓书杰《中国历史大事详解·清史(上)》材料三 乾隆年间人口统计(部分) 年度 人口数(单位:人) 乾隆九年(1744年) 166 808 604 乾隆三十八年(1773年) 218 743 315 乾隆四十年(1775年) 264 561 355 乾隆四十六年(1781年) 279 816 070 -据《清高宗实录》整理 (1)根据材料一,概括16~17世纪三种粮食作物传人中国的特点。结合所学知识,简析它们传人中国 的国际背景。(10分) (2)根据材料二、三并结合所学知识,分析甘薯“广为栽种”对当时社会的影响。(4分) 17.(12分)阅读材料,回答问题。 材料 工业革命标志着有文字记录以来世界历史上最根本的一次人类生活转型。不妨将当年英国描述为:世 上唯一的工厂、唯一的大规模进出口国、唯一的货运国、唯一的帝国主义者、几乎唯一的外国投资方,而 且因此也是世界唯一的海军强权、唯一拥有真正世界政策的国家。从某一角度来说,工业化的“英国”时 代仅仅是一个阶段,是当代历史的初始或早期阶段。对英国而言,工业化时代的含义显然远大于此。 -摘编自[英埃里克·霍布斯鲍姆《工业与帝国:英国的现代化历程》根据材料并结合所学知识, 自拟一个论题,并予以阐述。(要求:论题明确,史论结合,逻辑清晰,表达完整。) 18.(15分)阅读材料,回答问题。 材料一 19世纪世界城市化进程及地区差异。 年份 全世界 发达国家和地区 发展中国家和地区 总人口 城镇人口 城市化 城镇人口 城市化 城镇人口 城市化 (百万) 水平 (百 (百万) 水平 (百万) 水平 (%) 万) (%) (%) 1800 978 50 5.1 20 7.3 30 4.3 年 1825 1100 60 5.4 25 8.2 35 4.3 年 1850 1262 80 6.3 40 11.4 40 4.4 年 1875 1420 125 8.8 75 17.2 50 5 年1900 1650 220 13.3 150 26.1 70 6.5 年 材料二 从1978年年底到1997年年底,我国城市化水平由17.9%提高到29.9%,年均增长0.63个百分点, 是新中国成立后前29年城市化速度的2.5倍,是世界同期城市化平均速度的2倍。1992年以后,逐步加 快了中西部地区对外开放的步伐,一批陆上边境口岸城市、长江沿岸城市、内陆地区省会城市开始享受 沿海开放城市的优惠政策。20世纪80年代以后,小城市的数量和在城市人口中的比重开始呈增长趋势。 到1997年末,有731个外资金融机构(代表处和分行)分布在中国大陆的29个城市,其中700家分布在 东部沿海地区,63%集中在北京(243家)和上海(215家)两个城市,其次是广州(61家)和深圳(54 家)。 -摘编自周一星曹广忠《改革开放20年来的中国城市化进程》 (1)根据材料一并结合所学知识,概括19世纪世界城市化发展的主要特征并说明其原因。(8分) (2)根据材料二并结合所学知识,指出改革开放以来中国城市化的发展趋势。综合上述材料,请你给 当代我国的城市化提出合理化建议。(7分) 19.(14分)阅读材料,回答问题。 材料一 1895年,浙江宁波绅商最先创办了对外海商轮局和永安商轮局,得以航行沿海和内河。此后,福建、 广东、广西、上海、山东、天津、吉林、湖北、湖南,以及苏州、杭州、镇江等地商轮公司或轮船局相继 开办。据统计,1895~1900年间,各地先后开业的小轮船运输业约100家,加上原来的一些商轮企业,除 去中途停业者外,到1900年继续营业的约有80家,轮船约有440艘,总吨数约10000吨。如果连同招商 局和挂洋旗的华商轮船一并计算中国所有的轮船航运业估计达 480艘,总吨数约7万吨。1901~1911年, 先后创办的大中型轮船企业46个,到宣统三年底能够继续运营的有31个,这是一个跨越性的进步。这11 年间新创内河轮船企业合计达405家,资本总额580多万元,轮船630余艘,加上原有企业的扩充,除去 中途停闭者,到宣统三年共有 500余家企业,资本约800万元,拥有小轮船900多艘,这样就大致形成了 遍及上海、长江干支流,以及东南沿海和珠江流域的航运网络。 -摘编自刘凝凡《近代中国航运业之演进研究》 材料二 据2004年数据统计,我国现有港口1460个,国际海运船队为3700多万载重吨,位列世界第五位。 2002年全国港口集装箱吞吐量达到3700万标准箱,年增长35%为适应集装箱快速发展的需要,政府重 点加强了沿海主要港口集装箱码头的建设,上海、宁波、深圳等都在兴建大型深水集装箱专用泊位,尤 其是加快建设上海国际航运中心,建设洋山深水港区工程和长江深水航道治理工程。2002年底,我国已 与66个国家签订了政府间海运及河运协定批准设立外商独资船务公司和集装箱运输服务公司及其分支机 构120多家,70多家境外航商在我国港口开辟了集装箱国际班轮航线。2004年1月1日起施行的《港口 法》,是我国第一部对港口事业进行全面、系统规范的法律,《中华人民共和国国际海运条例》自实施 以来进一步规范了我国国际海上运输活动。我国鼓励国内港口及航运企业发挥自身优势用现代物流改造 传统运输业,拓展我国海运业的发展空间。-摘编自苏新刚《新世纪中国航运业的新发展》 (1)根据材料一并结合所学知识,概括甲午中日战争后中国航运业发展的特点,并分析其发展的原 因。(8分) (2)根据材料二并结合所学知识,指出21世纪初我国航运业发展的主要表现。综合上述材料,简要 说明推动21世纪中国航运业发展的策略。(6分) 高二历史 1.D2.A3.D4.A5.B6.A7.A8.D9.B10.A11.C12.D13.D14.A15.B 16.(1)特点:传人的物种原产于美洲;名称中大多带“番”字;主要是从海路传人中国。(6分)背 景:新航路的开辟;早期殖民扩张。(4分) (2)影响:缓解了因人口增长而带来的粮食问题(满足日益增长的人口对粮食的需求);一定程度上改 变了粮食结构和人们的饮食习惯。4(分,言之有理即可)17示例: 论题:工业化促进英国的社会转型。(2分) 阐释:工业革命以后,蒸汽机技术的改进,机器大生产带来了劳作方式和生产关系的深刻变革。工 厂出现,大批产业工人被工厂主聚集起来,在专门化的厂房中劳作,形成雇佣与被雇佣的关系。工厂选 址也摆脱自然条件的限制,从而推动大量新兴城市的兴起,也改变了人口地理结构。进而,工厂制度逐 渐形成,工厂主制定了严格的规章制度,以多种方式强化纪律意识,保证生产效率与产品质量。生产效 率,生产组织模式等一系列的变革,促使英国的经济实力得到极大的提升,同时也提高了英国的军事实 力,在这一过程中,英国的殖民扩张步伐不断推进,其势力范围逐步扩大,其资本主义世界殖民霸权得 到巩固。(8分) 总之,工业革命不仅仅是一场技术变革,更是一场社会变革,对资本主义世界殖民扩张产生深远影 响。(2分) (“示例”仅供参考,其他答案言之有理即可酌情给分) 18.(1)主要特征:世界城市化水平逐步提升;城市人口占总人口比例较低;发达国家城市化发展较 快,发展中国家发展较慢,呈现不均衡性。(4分,任答两点即可)原因:工业革命促进了世界经济特别 是发达国家经济的发展;西方列强对亚非拉地区的殖民侵略;交通运输业的进步;发达国家民主政治的 发展,政治局势较为稳定。(4分,任答两点即可) (2)发展趋势:城市化速度加快;城市化区域发展更加均衡化;小城市在城市体系中的地位提升;城 市逐渐走向国际化。 (4分,任答两点即可)合理化建议:城市化应与工业化、农业现代化同步发展;城市化不能自由放任, 需要政府的干预和调节;加快交通运输业等其他基础产业的建设,为城市化进一步发展打好基础。(3 分,言之有理即可) 19.(1)特点:航运业发展较快;企业涉及范围广;企业规模扩大和数量增加;航运体系初步形成。 (4分,任答两点即可) 原因:实业救国思潮兴起;有识之士的支持;清政府放宽对民间办厂的限制;民族资本主义的发展。(4 分,任答两点即可) (2)主要表现:国际海运和集装箱发展迅速;基础设施建设加强;对外开放程度显著提高;航运立法进一步完善。(4分,任答两点即可)策略:扩大市场开放,改善投资环境;进一步加强基础设施建设,加 快运输结构调整,增强国际竞争力;鼓励发展综合物流,抓住交通运输新的增长点。(2分,言之有理即 可)