当前位置:首页>文档>数学答案_2024-2025高三(6-6月题库)_2024年11月试卷_1115浙江省金华市2024-2025学年高三上学期一模(金华十校)

数学答案_2024-2025高三(6-6月题库)_2024年11月试卷_1115浙江省金华市2024-2025学年高三上学期一模(金华十校)

  • 2026-03-23 09:15:53 2026-02-18 18:12:48

文档预览

数学答案_2024-2025高三(6-6月题库)_2024年11月试卷_1115浙江省金华市2024-2025学年高三上学期一模(金华十校)
数学答案_2024-2025高三(6-6月题库)_2024年11月试卷_1115浙江省金华市2024-2025学年高三上学期一模(金华十校)
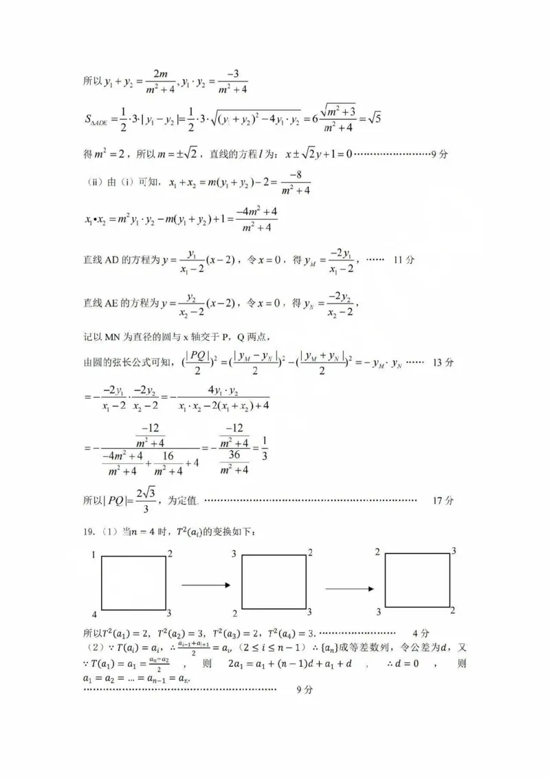
数学答案_2024-2025高三(6-6月题库)_2024年11月试卷_1115浙江省金华市2024-2025学年高三上学期一模(金华十校)
数学答案_2024-2025高三(6-6月题库)_2024年11月试卷_1115浙江省金华市2024-2025学年高三上学期一模(金华十校)

文档信息

文档格式
pdf
文档大小
0.601 MB
文档页数
4 页
上传时间
2026-02-18 18:12:48