当前位置:首页>文档>辽宁省实验中学2024-2025学年高三上学期10月月考历史试题(含答案)_2024-2025高三(6-6月题库)_2024年10月试卷_1012辽宁省实验中学2024-2025学年高三上学期10月月考

辽宁省实验中学2024-2025学年高三上学期10月月考历史试题(含答案)_2024-2025高三(6-6月题库)_2024年10月试卷_1012辽宁省实验中学2024-2025学年高三上学期10月月考

  • 2026-03-22 18:19:53 2026-02-19 14:44:49

文档预览

辽宁省实验中学2024-2025学年高三上学期10月月考历史试题(含答案)_2024-2025高三(6-6月题库)_2024年10月试卷_1012辽宁省实验中学2024-2025学年高三上学期10月月考
辽宁省实验中学2024-2025学年高三上学期10月月考历史试题(含答案)_2024-2025高三(6-6月题库)_2024年10月试卷_1012辽宁省实验中学2024-2025学年高三上学期10月月考
辽宁省实验中学2024-2025学年高三上学期10月月考历史试题(含答案)_2024-2025高三(6-6月题库)_2024年10月试卷_1012辽宁省实验中学2024-2025学年高三上学期10月月考
辽宁省实验中学2024-2025学年高三上学期10月月考历史试题(含答案)_2024-2025高三(6-6月题库)_2024年10月试卷_1012辽宁省实验中学2024-2025学年高三上学期10月月考
辽宁省实验中学2024-2025学年高三上学期10月月考历史试题(含答案)_2024-2025高三(6-6月题库)_2024年10月试卷_1012辽宁省实验中学2024-2025学年高三上学期10月月考
辽宁省实验中学2024-2025学年高三上学期10月月考历史试题(含答案)_2024-2025高三(6-6月题库)_2024年10月试卷_1012辽宁省实验中学2024-2025学年高三上学期10月月考
辽宁省实验中学2024-2025学年高三上学期10月月考历史试题(含答案)_2024-2025高三(6-6月题库)_2024年10月试卷_1012辽宁省实验中学2024-2025学年高三上学期10月月考
辽宁省实验中学2024-2025学年高三上学期10月月考历史试题(含答案)_2024-2025高三(6-6月题库)_2024年10月试卷_1012辽宁省实验中学2024-2025学年高三上学期10月月考

文档信息

文档格式
docx
文档大小
0.720 MB
文档页数
8 页
上传时间
2026-02-19 14:44:49

文档内容

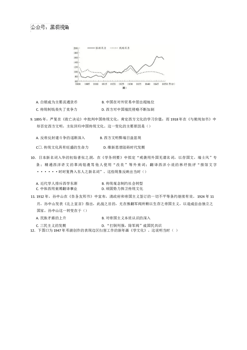
辽宁省实验中学2024--2025学年度上学期 高三年级历史10月份试卷 考试时间:75分钟 试题满分:100分 命题人:高三备课组 校对人:高三备课组 一、选择题:本大题共16题,每题3分,共计48分。在每小题列出的四个选项中,只有一项是最符合题目要 求的。 1.动物考古是研究古代先民生业方式的一个重要手段。表 1是陕北地区新石器时代主要文化遗址的动物遗 存出土情况,据此可知() 表1 家畜中牛 家畜占比 家畜中猪 时期 遗址 家养动物种类 标本量 羊类 占比 占比 仰韶 靖边五庄果梁 猪、狗 143 34.97% 90.00% 0.00% 晚期 横山大古界 猪、狗 133 8.27% 90.91% 0.00% 猪、狗、黄牛、 横山贾大峁 439 70.16% 81.17% 10.39% 龙山早 绵羊 期 猪、黄牛、绵羊 靖边庙梁 227 26.43% 10.00% 90.00% 猪、狗、黄牛、 榆林火石梁 1109 95.22% 12.41% 86.17% 山羊、绵羊 龙山晚 期 猪、狗、黄牛、 榆林寨峁梁 397 95.97% 26.25% 72.70% 山羊、绵羊 A.该区域具备国家初始形态 B.食物生产逐步取代采集渔猎 C.原始畜牧养殖业开始出现 D.自然环境决定文明发展进程 2.东汉初年推行郡国并行制,刘秀大封宗室:封叔父良为广阳王,兄子章为太原王,章弟兴为鲁王,故定 陶王刘祉为城阳王,故元氏王刘歙为泗水王,歙子刘终为淄川王。同时他恢复被王莽废掉的王国。刘秀 的分封与复国( ) A.力图论证本朝乃承袭正统 B.打击了豪强地主的政治势力 C.意在制衡宦官与外戚擅权 D.引发了严重的分裂割据现象 3.1975年,于西安市南郊山门口乡北沈家桥村东北一里处发现杜虎符,为我们研究秦的军事制度提供了难得的实物资料。其内容为“兵家之符,右在君,左在杜,凡兴士被甲,用兵五十人以上,必会君符,乃敢行 之。”这一措施折射出当时() A.君主专制发展B.军事将领权重 C.地方势力瓦解D.统治思想异变 4.下图为《宋史·许骧传》中的相关记载。许氏家族的经历反映出宋代() 许骧,字允升,世家蓟州。祖信,父唐,世以财雄边郡。 唐见进士缀行而出,窃叹曰:“生子当令如此!”因不复行贾,卜居睢阳,娶李氏 女,生骧,风骨秀异。 骧十三,能属文,善词赋。唐不识字,而罄家产为骧交当时秀彦。及廷试,擢甲 科,解褐将作监丞、通判益州。 A.门第观念逐渐淡化 B.商人的政治地位得到提升 C.社会阶层流动加强 D.选官的标准呈现出多元化 5.北宋的笔记小说《太平广记》记载:“宋谯国城父人王昙略,常以牛作脯为业。欲杀一牛,牛见刀, 辄跳踯欲走去。昙略怒,乃先以刀刺牛目。经少时,其人眼无故血流出。”这则故事折射出() A.重农抑商政策的松弛 B.官方护牛法令的缺失 C.农耕文明的价值取向 D.农民的迷信守旧心态 6.明初,朱元璋指出:“礼者,所以美教化而定民志。成周设大司徒,以五礼防万民之伪而教之中。夫制 中莫如礼,修政莫如礼。故有礼则治,无礼则乱。居家有礼,则长幼序而宗族和;朝廷有礼,则尊卑定 而等威辨。”其目的是( ) A.重构国家统治秩序 B.确立儒学统治地位 C.维护宗族内部和谐 D.构建礼乐宗法制度 7.京北地区(今北京昌平等地)是中俄“万里茶道”的重要节点。昌平城外关帝庙的碑文记载,由盐商和布 商构成的晋商队伍与俄国私商开展互市;山西布商的活跃状态则与俄国同期棉布进口数据相契合。这反映 了() A.明清时期跨国贸易繁荣 B.清政府对外交往政策发生转变 C.晋商垄断了中俄间贸易 D.万里茶道促进长途贸易的发展 8.下图为1800-1850年间中国白银、制钱购买力的折线变动图。其中,促成1835~1850年间两者的购买力呈现出 不同趋势的主要原因是()A.白银成为主要流通货币 B.中国在对外贸易中居出超地位 C.传统制钱丧失了竞争力 D.西方对中国殖民侵略不断加剧 9.1895年,严复在《救亡决论》中批判中国传统文化,肯定西方文化的学习价值;而1918年在《与熊纯如书》中 却否定西方文明,主张回归中国传统文化。这一变化的主要原因是() A.反帝反封建斗争的逐渐深入 B.西方文明弊端日益显现 C□.传统文化具有旺盛的生命力 D.维新思想阻碍时代发展 10.日本新名词入华的初始者张之洞,在《学务纲要》中拟定“戒袭用外国无谓名词,以存国文,端士风”专 条;精通西洋语文的辜鸿铭谩骂他人使用“改良”等外来词;翻译西洋小说的林纾批评“报馆文字 ······时时复搀入东人之新名词”。这些现象反映出当时() A.近代学人排斥西学东渐 B.传统观念制约社会转型 C.中体西用束缚翻译事业 D.顽固势力捍卫传统文化 11.1912年,孙中山在《告各友邦书》中宣布,清政府和帝国主义签订的一切不平等条约继续有效。1924年11 月,孙中山发表《北上宣言》指出,此战之目的,尤在推翻军阀所赖以生存之帝国主义,以造成自由独立之 国家。孙中山这一转变在于() A.民族矛盾的上升 B.对帝国主义本质认识的深入 C.三民主义的发展 D.“打倒列强,除军阀”成国民共识 12.下图口为1947年邓澍创作的表现边区扫盲工作的新年画《学文化》。这说明当时( )图1 A.年画成为扫盲工作主要载体 B.社会主义政权深受农民拥护 C.文化教育与政治宣传相结合 D.边区妇女政治素质根本提升 13.新民主主义革命时期,中共先后推行“消灭地主阶级”、“实行减租减息,允许地主剥削存在”、“实现耕 者有其田,废除地主土地所有制”的政策。这种变化主要基于() A.地主阶级是革命的主要对象 B.国内社会主要矛盾的变化 C.中共政策与时俱进不断创新 D.中共代表最广大人民利益 14.下图是《人民画报》(1953年2月号)关于山西经纬纺织机械制造厂的报道。经纬纺织机械制造厂的建设情 况反映了() A.国家大规模工业化建设的开始 B.当时工业建设带有计划经济色彩 C.政府对中西部地区发展的重视 D.农民成为当时工业化建设的主力 15.表2是我国80年代以来在社会总职业群体结构中三大产业从业人员所占比重变化统计,造成其变化的主要原 因是( ) 表2 职业 1982年 1990年 2000年 2010年 商业、服务业人员 4.01 5.41 9.18 16.17农、林、牧、渔、水利业生产人员 71.98 70.58 64.46 48.13 生产、运输设备操作人员及有关人员 15.99 15.16 15.83 22.49 A.市场经济体制的确立 B.农业机械化的大力推广 C.改革开放的不断深入 D.国民经济结构渐趋合理 16.1969年12月,在波兰时装博览会上美国驻波兰大使主动接触中方人员,请求会晤我国驻波兰大使;消息传回 国内,周恩来对毛泽东主席说:“有门道了,可以敲门了。”这表明( ) A.美国对华战略由遏制转为缓和 B.中方积极推动中美关系的改善 C.中美主动打破国际格局的制约 D.中美彼此都有改善关系的意愿 二、非选择题:本大题共4小题,共52分。 17.(13分)阅读材料,完成下列要求 材料一 《礼记》云:“国无九年之蓄,曰不足;无六年之蓄,曰急;无三年之蓄,曰国非其国也。”所谓“备荒莫如 裕仓储”。战国时期李悝在魏国推行平籴法,以稳定粮价。汉武帝时,桑弘羊发展了上述思想,创立平准法,在京 师贱收贵卖以平抑物价,汉宣帝(前74年~前48年在位)元康年间连年丰收,谷价低至一石五钱,“农人少利”, 宣帝采纳大司农中丞耿寿昌的建议,在边郡普遍设置粮仓,名曰常平仓。“民便之”。 -摘编自王文涛《社会救助视角下的汉宣帝中兴》 材料二 两宋时期,设置了从中央到地方完善的仓储系统,除继承前代常平仓、义仓外,北宋还创建了广惠仓、 惠民仓,惠民仓用于城市粮价调节,功能与常平仓类似;广惠仓侧重于常规性济贫,是为配合政府福利机构而专门 设立的恤贫仓储。熙宁二年(1069),王安石实行青苗法,即常平新法。具体运作是将原有常平仓、广惠仓钱谷兑 换成现钱,以借贷的方式,贷给城乡居民。南宋时期,朱熹在乡里创建社仓,并由民间自主经营,之后宋廷诏 行“朱熹社仓法”于诸路。 -摘编自杨芳《“国家大本,足食为先”;宋代仓储制度的发展与创新》 (1)据材料一并结合所学知识,概括汉宣帝建立常平仓制度的背景。(4分) (2)据材料二概括宋代对常平仓制度的发展。(4分) (3)综合上述材料并结合所学知识,分析中国古代常平仓制度的历史作用。(5分) 18.(14分)阅读材料,完成下列要求 材料一 明末及清朝时期人口数量变动情况表年份 1600 1651 1712 1775 1794 1822 1851 1856 1911 年 年 年 年 年 年 年 年 年 总 2.05 1.19 1.42 2.64 3.13 3.72 4.32 3.42 3.47 人 亿 亿 亿 亿 亿 亿 亿 亿 亿 口 材料二 在太平天国起义之前,布政使是由吏部任命并直接对户部负责,按察使是对刑部负责的,都享有与督抚平起平 坐的半独立地位。这种每一省的分权制衡正是朝廷得以对省实行有效控制的基本原因之一。但太平天国战争给了督 抚足够的机会蚕食布政使和按察使的权力,直到将他们降为毫无个人意志可言的从属地位。因而到太平天国时期结 束时,督抚已成为集军事指挥、财政和司法权力于一身的胜利者,有效的中央控制已一去不返。太平天国时期的形 势使清廷必须给予督抚组织与训练新军并为之筹饷的权力。由于这些新军有较强的团结精神和地域观念,仅服从各 自长官的命令,它们实际上几乎是“个人”的军队。太平天国平定以后,捻军战争和西北的回民起义又延续了多年 的战乱。整个帝国已经衰败不堪,以至无论中央还是地方政府都已没有恢复一度普及全国的保甲机构的愿望和能 力。有些省和地方官员为了地方治安试图加 强保甲,但没有人真正能恢复早期的保甲户口登记。 -以上材料均摘编自何炳棣著,葛剑雄译《1368-1953年中国人口研究》 (1)根据材料并结合所学,概括清朝人口变化情况,并分析其原因。(8分) (2)根据材料二,说明太平天国运动对晚清政治的影响。(6分) 19.(13分)阅读材料,回答问题。(1)概括说明两个时期中国工业发展的特点。(4分) (2)结合所学知识,简要分析两个时期中国工业发展特点形成的原因。(9分) 20.讲好中国故事,传播中国声音。阅读材料,回答问题。(12分) 材料 《中国建设》 新中国建立后,西方媒体不断就“征粮”“征兵”“公债”“饥荒”“文化破坏”等议题大做文章,试图挑拨 中国政府与人民的关系。1952年,宋庆龄以中国福利会名义创办对外刊物《中国建设》,开展正面宣 传新中国形象。主要作品有:《结束洪水的威胁》《新兵日记》《数百万工人涨工资》《北京的女电车司机》《一 位乡村教师的扫盲行动》《旧博物馆的新生》《土地改革根除了封建主义》《工业化开始》《人民治理国家》《第 一个五年计划的含义》《新成立的100万个农业合作社》等。到1952年底,《中国建设》发行范围达到118个国 家。据驻外使馆反映,《中国建设》在国外博得好评,苏联的《新时代》转载其图片,英国权威报纸《曼彻斯特卫 报》称之为“绝好的宣传杂志”,日本和平促进会来信要求发行日文版,法国共产党机关报《人道报》国际栏目主 笔曾建议出法文版,出席亚洲及太平洋区域和平会议的拉丁美洲代表希望能看到西班牙文版。马尔加什的一位读者 说:“《中国建设》为发展中国家努力从不发达状态中解放出来树立了良好的榜样。” -摘编自贾一航《<中国建设>对新中国国家形象的构建(1952-1956)》等 提取材料信息,以“《中国建设》·国家形象”为题写一则历史短文。(14分)(要求:表述成文,叙述完 整;立论正确,史论结合;逻辑严密,条理清晰。) 高三月考历史答案 2024'10 一、选择题 1-5BAACC 6-10ADDBB 11-15BCBBC 16D 二、非选择题 17.(13分) (1)背景:传统观念的影响(抵御灾荒的需要);前代的实践经验;当时连年丰收,谷贱伤农;民本思想的 影响。(4分) (2)发展:类型更多;分工更细;范围更广(体系更完善);职能进一步扩展,如有借贷功能。(4分) (3)作用:抵御灾荒。(2分);稳定粮价;保障民生(维护粮食安全);稳定社会;为后世提供借 鉴。(每点1分,3分) 18.(14分)(1)变化:清前中期人口大幅增长;晚清人口呈下降趋势。(2分) 原因:清前中期:政治统一,社会安定;垦荒及高产农作物品种广泛种植,粮食总量提高,社会经 济的发展;赋税政策调整,摊丁入亩政策推行。(3分答出其中3点即可) 晚清:太平天国运动占据了清朝的半壁江山,清廷直接控制区域减少;农民战争、回民起义、第二 次鸦片战争,长期战乱带来的人员伤亡;战乱导致的逃亡现象严重;严重的自然灾害;保甲 人口登记制度败坏等。(3分,答出其中3点即可) (2)影响:地方分权制衡的权力结构被打破,督抚的权力膨胀;清廷中央集权的削弱;督抚组织与训练 新军,导致后来军阀割据的形成。(6分) 19.(13分) (1)图5:民国初期企业主要分布在沿海(沿江)通商口岸(或地域分布不平衡),且以轻工业为主 (或行业发展不平衡)。(每点1分,共2分) 图6:建国初期,我国工业建设主要集中于东北地区并兼顾中西部地区(或地域 分布更加合理),且优先发展重工业(或工业结构更加完善、合理)。(每点1分,共2分) (2)随着近代西方列强的侵略,沿海城市最早开放为通商口岸,自然经济最早瓦解,为近代企业的产生 提供了劳动力和市场:沿海地区地理位置优越,交通便利,在外商企业和洋务企业的作用下,早期中 国的近代企业主要分布在沿海地区;由于资金少、技术力量薄弱,近代企业主要以轻工业为主。(任 意2点4分)(笼统答半殖民地半封建的社会性质亦可得2分) 新中国建立后,遭到以美国为首的西方资本主义国家的政治孤立和经济封锁,朝鲜战争爆发后,中国被 迫卷入与美国的直接军事对抗,从而面临着巨大的军事威胁(或国防建设的需要);原有的工业基础比 较薄弱,工业门类残缺不全,这种严峻的国际国内环境,迫切要求新中国优先发展重工业;东北地区矿 产资源丰富,有一定的工业基础,尤其是重工业;当时我国的经济建设很大程度还要依靠苏联的援助, 东北靠近苏联,便于接受苏联援助,故一五计划时期,我国的工业主要集中于东北地区(或国家政策导 向影响)。(每点2分,答出任3点得5分,共5分) 20.(12分) 示例: 《中国建设》·国家形象 《中国建设》是新中国成立后重要的对外宣传刊物,它以真实、客观的报道,向世界展示了新中国的 建设成就和人民生活面貌,塑造了积极正面的国家形象。刊物内容涵盖基础设施建设、工业发展、土地改 革、教育普及等方面,展现了新中国在经济、政治、文化等领域的进步。同时,《中国建设》积极回应西方 媒体对中国的负面报道,澄清事实,消除了国际社会的误解,为中国争取了有利的国际环境。