文档
办公文件
生活文档
学习资料
当前位置:
首页
>
文档
>重庆市第八中学高考适应性月考三数学答案_2024-2025高三(6-6月题库)_2024年11月试卷_1124重庆市第八中学校2024-2025学年高三上学期适应性月考(三)
重庆市第八中学高考适应性月考三数学答案_2024-2025高三(6-6月题库)_2024年11月试卷_1124重庆市第八中学校2024-2025学年高三上学期适应性月考(三)
2026-05-09 17:43:09
2026-02-19 16:50:55
文档预览
文档信息
文档格式
pdf
文档大小
0.645 MB
文档页数
6 页
上传时间
2026-02-19 16:50:55
下载文档
文档内容
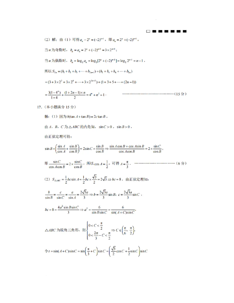
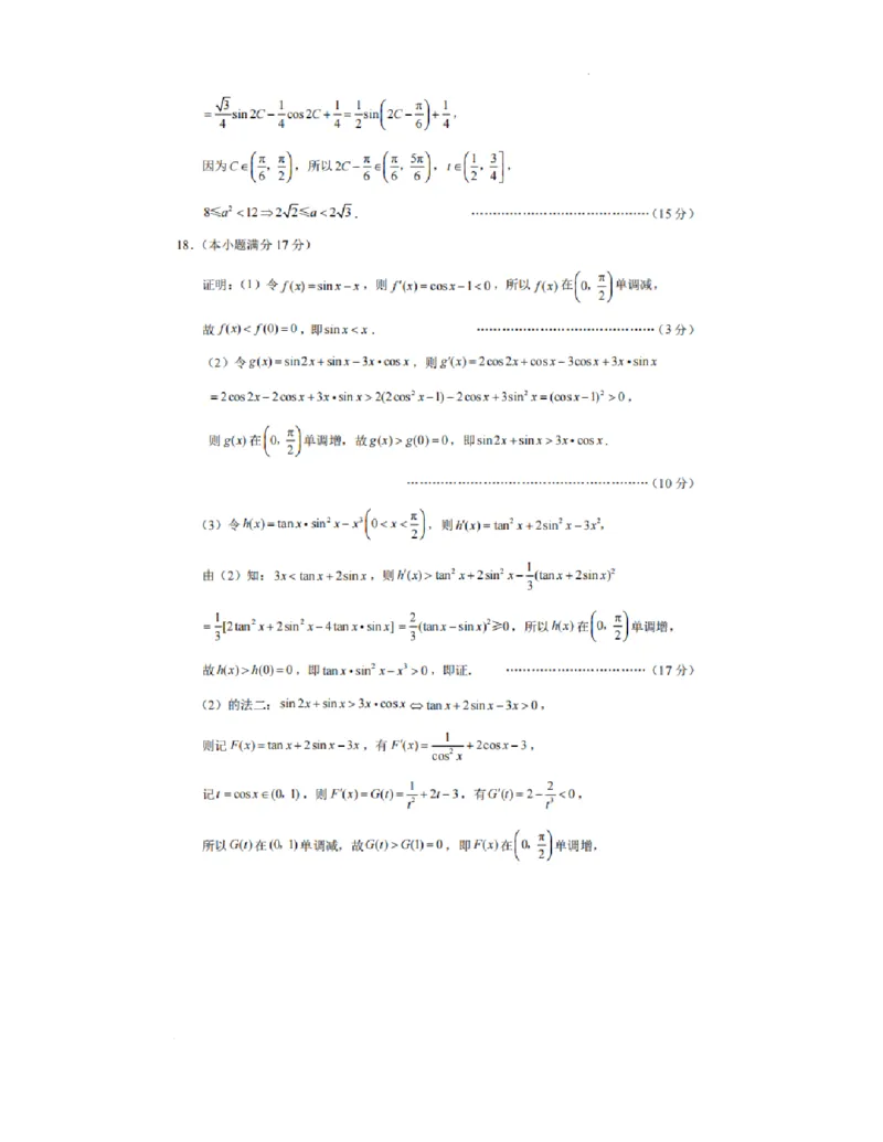
重庆市第八中学 2025 届高考适应性月考卷(三) 数学答案 学科网(北京)股份有限公司学科网(北京)股份有限公司学科网(北京)股份有限公司学科网(北京)股份有限公司学科网(北京)股份有限公司学科网(北京)股份有限公司
本文档来自网络内容,如有侵犯您的权益请联系我们删除,联系邮箱:wyl860211@qq.com。
上一篇
重庆市第八中学高考适应性月考三化学试卷_2024-2025高三(6-6月题库)_2024年11月试卷_1124重庆市第八中学校2024-2025学年高三上学期适应性月考(三)
下一篇
湖北省武汉市江岸区2023-2024学年高二下学期期末质量检测历史试题Word版无答案_2024-2026高三(6-6月题库)_2024年07月试卷_240702湖北省武汉市江岸区2023-2024学年高二下学期7月期末
最新文档
2026上海初三一模闵行道法(原卷)_0122026上海中考一模二模真题试卷_2026年上海一模_上海1500初中高中试卷_闵行区
2026上海初三一模闵行历史(手写答案)_0122026上海中考一模二模真题试卷_2026年上海一模_上海1500初中高中试卷_闵行区
2026上海初三一模闵行历史(原卷)_0122026上海中考一模二模真题试卷_2026年上海一模_上海1500初中高中试卷_闵行区
2026上海初三一模闵行历史(原卷)(1)_0122026上海中考一模二模真题试卷_2026年上海一模_上海1500初中高中试卷_闵行区
2026上海二模数学原卷-松江_0122026上海中考一模二模真题试卷_2026上海二模更新中1_松江
2026上海中考一模英语卷徐汇区答案(探讨版)_0122026上海中考一模二模真题试卷_2026年上海一模_上海1500初中高中试卷_徐汇区
2025黄浦区初三一模语文试卷_0122026上海中考一模二模真题试卷_2025-2012年_6.2025年上海一模_分科目整理(试卷及答案)英语听力音频在这里_语文
2025黄浦区初三一模英语参考答案_0122026上海中考一模二模真题试卷_2025-2012年_6.2025年上海一模_答案2025上海初三一模(部分道法答案更新中)_黄浦(语数英+物化跨学科+道法)
2025黄浦区初三一模数学试卷_0122026上海中考一模二模真题试卷_2025-2012年_6.2025年上海一模_分科目整理(试卷及答案)英语听力音频在这里_数学
2025黄浦区初三一模数学参考答案_0122026上海中考一模二模真题试卷_2025-2012年_6.2025年上海一模_分科目整理(试卷及答案)英语听力音频在这里_数学_答案
热门文档
2025黄浦一模道法参考答案_0122026上海中考一模二模真题试卷_2025-2012年_6.2025年上海一模_分科目整理(试卷及答案)英语听力音频在这里_道法_答案
2025黄浦一模跨学科答案解析_0122026上海中考一模二模真题试卷_2025-2012年_6.2025年上海一模_分科目整理(试卷及答案)英语听力音频在这里_跨学科_答案
2025黄浦一模语文参考答案_0122026上海中考一模二模真题试卷_2025-2012年_6.2025年上海一模_分科目整理(试卷及答案)英语听力音频在这里_语文_答案
2025静安区初三一模英语试卷_0122026上海中考一模二模真题试卷_2025-2012年_6.2025年上海一模_试卷2025上海初三一模(十六区全)_静安全(语数英+物化+道法)
2025静安区初三一模物理试卷_0122026上海中考一模二模真题试卷_2025-2012年_6.2025年上海一模_分科目整理(试卷及答案)英语听力音频在这里_物理
2025静安区初三一模数学试卷_0122026上海中考一模二模真题试卷_2025-2012年_6.2025年上海一模_分科目整理(试卷及答案)英语听力音频在这里_数学
2025静安区初三一模数学参考答案_0122026上海中考一模二模真题试卷_2025-2012年_6.2025年上海一模_分科目整理(试卷及答案)英语听力音频在这里_数学_答案
2025静安一模语文参考答案点评及解析_0122026上海中考一模二模真题试卷_2025-2012年_6.2025年上海一模_分科目整理(试卷及答案)英语听力音频在这里_语文_答案
2025静安一模物理参考答案_0122026上海中考一模二模真题试卷_2025-2012年_6.2025年上海一模_分科目整理(试卷及答案)英语听力音频在这里_物理_答案
2025青浦区初三一模跨学科参考答案_0122026上海中考一模二模真题试卷_2025-2012年_6.2025年上海一模_分科目整理(试卷及答案)英语听力音频在这里_跨学科_答案
随机文档
2025青浦区初三一模语文试卷_0122026上海中考一模二模真题试卷_2025-2012年_6.2025年上海一模_分科目整理(试卷及答案)英语听力音频在这里_语文
2025青浦区初三一模英语试卷_0122026上海中考一模二模真题试卷_2025-2012年_6.2025年上海一模_试卷2025上海初三一模(十六区全)_青浦全(语数英+物化跨学科+道法)
2025青浦区初三一模英语参考答案_0122026上海中考一模二模真题试卷_2025-2012年_6.2025年上海一模_答案2025上海初三一模(部分道法答案更新中)_青浦(语数英+物化跨学科+道法)
2025青浦区初三一模数学参考答案_0122026上海中考一模二模真题试卷_2025-2012年_6.2025年上海一模_分科目整理(试卷及答案)英语听力音频在这里_数学_答案
2025青浦区中考一模数学试卷(1)_0122026上海中考一模二模真题试卷_2025-2012年_6.2025年上海一模_分科目整理(试卷及答案)英语听力音频在这里_数学
2025青浦一模语文参考答案_0122026上海中考一模二模真题试卷_2025-2012年_6.2025年上海一模_分科目整理(试卷及答案)英语听力音频在这里_语文_答案
2025闵行区物理一模点评及解析_0122026上海中考一模二模真题试卷_2025-2012年_6.2025年上海一模_分科目整理(试卷及答案)英语听力音频在这里_物理_答案
2025闵行区初三一模语文参考答案_0122026上海中考一模二模真题试卷_2025-2012年_6.2025年上海一模_分科目整理(试卷及答案)英语听力音频在这里_语文_答案
2025闵行区初三一模物理试卷_0122026上海中考一模二模真题试卷_2025-2012年_6.2025年上海一模_分科目整理(试卷及答案)英语听力音频在这里_物理
2025闵行区初三一模数学试卷_0122026上海中考一模二模真题试卷_2025-2012年_6.2025年上海一模_分科目整理(试卷及答案)英语听力音频在这里_数学