当前位置:首页>文档>重庆市第八中学校2024-2025学年高三上学期11月月考历史试卷_2024-2025高三(6-6月题库)_2024年11月试卷_1124重庆市第八中学校2024-2025学年高三上学期适应性月考(三)

重庆市第八中学校2024-2025学年高三上学期11月月考历史试卷_2024-2025高三(6-6月题库)_2024年11月试卷_1124重庆市第八中学校2024-2025学年高三上学期适应性月考(三)

  • 2026-04-16 03:48:52 2026-02-19 16:48:25

文档预览

重庆市第八中学校2024-2025学年高三上学期11月月考历史试卷_2024-2025高三(6-6月题库)_2024年11月试卷_1124重庆市第八中学校2024-2025学年高三上学期适应性月考(三)
重庆市第八中学校2024-2025学年高三上学期11月月考历史试卷_2024-2025高三(6-6月题库)_2024年11月试卷_1124重庆市第八中学校2024-2025学年高三上学期适应性月考(三)
重庆市第八中学校2024-2025学年高三上学期11月月考历史试卷_2024-2025高三(6-6月题库)_2024年11月试卷_1124重庆市第八中学校2024-2025学年高三上学期适应性月考(三)
重庆市第八中学校2024-2025学年高三上学期11月月考历史试卷_2024-2025高三(6-6月题库)_2024年11月试卷_1124重庆市第八中学校2024-2025学年高三上学期适应性月考(三)
重庆市第八中学校2024-2025学年高三上学期11月月考历史试卷_2024-2025高三(6-6月题库)_2024年11月试卷_1124重庆市第八中学校2024-2025学年高三上学期适应性月考(三)
重庆市第八中学校2024-2025学年高三上学期11月月考历史试卷_2024-2025高三(6-6月题库)_2024年11月试卷_1124重庆市第八中学校2024-2025学年高三上学期适应性月考(三)

文档信息

文档格式
docx
文档大小
0.650 MB
文档页数
6 页
上传时间
2026-02-19 16:48:25

文档内容

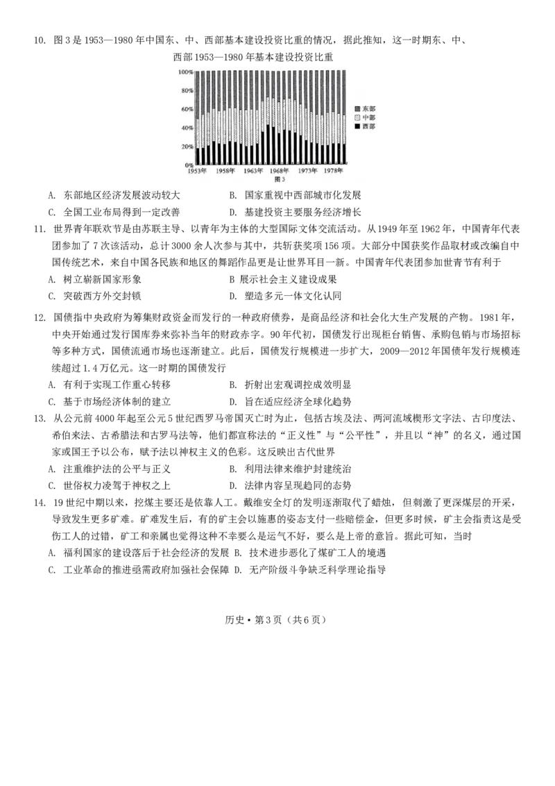
历 史 试 卷 注意事项: 1. 答题前,考生务必用黑色碳素笔将自己的姓名、准考证号、考场号、座位号在答题卡上填写清楚。 2. 每小题选出答案后,用2B 铅笔把答题卡上对应题目的答案标号涂黑。如需改动,用橡皮擦干净后,再选 涂其他答案标号。在试题卷上作答无效。 3. 考试结束后,请将本试卷和答题卡一并交回。满分100分,考试用时75分钟。 一、单项选择题:本题共15小题,每小题3分,共45分。每小题列出的四个选项中,只有一项是符合题目要求 的。 1. 根据目前的考古发现,早在距今5000年前后小麦就已传入中国境内,但受整粒蒸煮的饮食习惯的限制,小麦 口感不佳,难以消化,多用于喂养牲畜,其在中国的推广经历了反复甚至倒退。与春秋战国相比,汉初小麦种 植规模明显缩小,其主要原因是 A. 气候剧变影响作物生长 B. 秦末战乱导致人口锐减 C.作为军备物资需求减弱 D. 面粉磨制加工技术进步 2.图1是《韩熙载夜宴图》(局部),描绘了南唐官员韩熙载家设夜宴载歌赏乐的场景,该作品体现了 A. 国家分裂和政治动荡的现实 B 门阀政治下士族的奢靡生活 C. 理学影响下文人的笔墨意趣 D.艺术审美和史料价值的统一 3.宋代君主一方面强调忠君,一方面以“礼臣”精神为指导,与士大夫共治天下,皇帝不轻易杀士大夫。元朝受 草原汗权强大的传统影响,皇帝对大臣可打可杀。明朝人于慎行在其笔记中说:“三代以下待臣之礼,至胜国 (元朝) 极轻,本朝因之,未能复古。”这反映出明朝 A. 君臣关系日益恶化 B. 君尊臣卑传统逐渐形成 C.君主集权更加强化 D. 主奴观念开始渗入官制 4. 道光年间,因受洪涝之苦,襄阳知府郑敦允改修樊城石堤,部分筑堤经费来源及数额如下表,据此可知,樊城 水利工程建设 樊城石堤修筑捐输明细表 (部分) 捐款人 钱 (串) 捐款人 钱 (串) 陕西刑部郎中张联捷 4000 华严寺 525.5 山陕馆 3712.9 众粮行 800 武昌馆 2075.7 汪永亨 10000两元银 众票号 750 两纹银 刘萝卜 1500 历史·第1页(共6页)A. 受资金匮乏的严重制约 B. 由国家与社会力量同构 C.推动地方权力逐渐式微 Đ. 民间力量起到决定性作用 5.张謇十分重视并鼓励棉铁工业的发展。他认为“棉铁二项,为近世界中必不可少之物也。现时吾人所用之棉 铁,皆来自外洋,今后正宜努力使此二者皆可由本国供给”“制铁事业,关系国家生存”。但时人提出,棉铁 主义的实施如若没有人才和财力的双重保障,很可能中途废弃,并认为棉铁主义如昙花幻影不可持久。据此可 知,张謇提出的“棉铁主义” A. 扭转了中外贸易逆差 B. 源于其在棉铁工业领域的实践 C. 遭到了国人普遍反对 D. 有利于近代中国工业化的探索 6. 历史学家范文澜在一次演讲中描述近代某一运动时说:“从这个运动开始,中国人民昂然站立起来,向帝国主 义、封建主义猛烈作战,使历史变成人民自己的历史,旧中国变成人民自己的新中国。”这次运动 A. 标志着中国近代民主革命发生转折 B.体现出中国工农阶级登上历史舞台 C 提出“打倒列强,除军阀”的口号 D.激化了中西方文明之间的矛盾冲突 7. 1904年,有人因为深感中国面对凌辱毫无羞耻感,所以在《东方杂志》中发文提及卧薪尝胆时写:“无忘前耻 者,此物此志也。”1938年,中华平民教育促进会发表了一篇越王勾践故事,描绘了勾践在回国后对百姓 的“总动员”,认识到越国如果要报仇雪恨,首先必须教育和训练百姓。这些对越王勾践卧薪尝胆故事的解读 A. 适应了思想解放运动的发展 B. 促成了全民族抗战局面的出现 C.反映了民主革命的不断深入 D.体现了近代民族意识逐渐觉醒 8.图2是漫画家汪子美在1946年11月所作的漫画。这幅漫画折射出 A. 国民政府成为美国攫取利益的工具 B. 中美之间的经济依存度增强 C. 内战爆发后国民政府丧失统治基础 D.美国谋求建立世界经济霸权 9.1950年,毛泽东指出今后人民解放军的任务除必须解放西藏、台湾及剿灭残余土匪外,主要是防范可能到来的 帝国主义侵略与维持国内治安。1954年,《中华人民共和国宪法》明确规定中华人民共和国武装力量的任务 是“保卫人民革命和国家建设的成果,保卫国家的主权、领土完整和安全”。这体现了 A. 政治局势变迁迫使统一战略调整 B. 政权巩固推动国家安全观念更新 C. 两极格局形成削弱帝国主义威胁 D. 国防建设成为政府首要工作目标 历史·第2页 (共6页)10. 图3是1953—1980年中国东、中、西部基本建设投资比重的情况,据此推知,这一时期东、中、 西部1953—1980年基本建设投资比重 A. 东部地区经济发展波动较大 B. 国家重视中西部城市化发展 C. 全国工业布局得到一定改善 D. 基建投资主要服务经济增长 11. 世界青年联欢节是由苏联主导、以青年为主体的大型国际文体交流活动。从1949年至1962年,中国青年代表 团参加了7次该活动,总计3000余人次参与其中,共斩获奖项156项。大部分中国获奖作品取材或改编自中 国传统艺术,来自中国各民族和地区的舞蹈作品更是让世界耳目一新。中国青年代表团参加世青节有利于 A. 树立崭新国家形象 B 展示社会主义建设成果 C. 突破西方外交封锁 D. 塑造多元一体文化认同 12. 国债指中央政府为筹集财政资金而发行的一种政府债券,是商品经济和社会化大生产发展的产物。1981年, 中央开始通过发行国库券来弥补当年的财政赤字。90年代初,国债发行出现柜台销售、承购包销与市场招标 等多种方式,国债流通市场也逐渐建立。此后,国债发行规模进一步扩大,2009—2012年国债年发行规模连 续超过1.4万亿元。这一时期的国债发行 A. 有利于实现工作重心转移 B. 折射出宏观调控成效明显 C. 基于市场经济体制的建立 D. 旨在适应经济全球化趋势 13. 从公元前4000年起至公元5世纪西罗马帝国灭亡时为止,包括古埃及法、两河流域楔形文字法、古印度法、 希伯来法、古希腊法和古罗马法等,他们都宣称法的“正义性”与“公平性”,并且以“神”的名义,通过国 家或国王予以公布,赋予法以神权主义的色彩。这反映出古代世界 A. 注重维护法的公平与正义 B. 利用法律来维护封建统治 C. 世俗权力凌驾于神权之上 D. 法律内容呈现趋同的态势 14. 19世纪中期以来,挖煤主要还是依靠人工。戴维安全灯的发明逐渐取代了蜡烛,但刺激了更深煤层的开采, 导致发生更多矿难。矿难发生后,有的矿主会以施惠的姿态支付一些赔偿金,但更多时候,矿主会指责这是受 伤工人的过错,矿工和亲属也觉得这种不幸要么是运气不好,要么是上帝的意旨。据此可知,当时 A. 福利国家的建设落后于社会经济的发展 B. 技术进步恶化了煤矿工人的境遇 C. 工业革命的推进亟需政府加强社会保障 D. 无产阶级斗争缺乏科学理论指导 历史·第3页(共6页)15. 1983年3月,美国里根政府提出了“战略防御”计划,决定重整军备,建立“一个包括以地面、空中和太空 为基地的多种拦截手段的综合防御体系,可以对来袭弹道导弹的助推段、末助推段、中段和再入段逐层加以拦 截,使美国免受核攻击的威胁,或把核攻击的危险性降低到最低限度”。这一计划的目的是 ①转变科研方向,和平利用太空 ②带动美国科技经济的发展 ③提高美国的核威慑力量 ④给苏联经济制造压力,拖垮苏联 A. ①②③ B. ②③④ C. ①③④ D. ①②④ 二、综合题 (本大题共3小题, 共55分, 其中16题25分, 17题18分, 18题12分) 16. (25分) 阅读材料, 完成下列要求。 材料一 中华悠久的农耕文明,培育了传统的生态文明。早在先秦时期,政府已注重生态保护。据《旧唐书》记 载,唐朝政府还把京兆、河南两都四郊三百里划为禁伐区或禁猎区。宋代设有专门的生态环境部门——虞部, 宋太祖曾下诏,“令民二月至九月不得采捕虫鱼,弹射飞鸟,有司岁申明之”。宋真宗时期,知澧州刘仁霸以 劝课农桑、提倡造林为内容编歌谣十首教民歌唱,以普及造林知识。元代统治者在环保立法上更侧重调整人与 草原、生物之间关系。 ——摘编自李玉皎、刘丰《中国古代环保制度之镜鉴》 材料二 明代迁都北京后,承担漕运的运河居于极易溃决的黄河下游,经常被冲坍。弘治年间实施黄河南移工 程,把全部黄河水流逼入淮河。为了冲刷黄河下游泥沙,官府截断淮河下游河道,在平原地带修建巨型水库洪 泽湖; 为了向运河最高处济宁段供水,又修建了微山诸湖,苏北、鲁南等黄淮地区每年都要蒙受严重的洪涝灾 患。据统计,明代黄河决溢和改道456次; 清前中期黄河决溢361次……而这里的田地常年潴水成湖,民众忘 了 “田” “地”之类词汇,而代之以“湖”;下田被称为 “下湖”。 ——摘编自马俊亚《“下湖”:明清运河东移与黄河南移的生态后果》 材料三 清末民初以来,原有黄河治理体系逐渐解体,黄河水患频发。1913 年,濮阳双合岭决口,当时北京市 政府着力进攻南方革命力量,无暇顾及,导致灾情不断扩大,拖延两年才完全堵复。1921年,《大公报》报 道: “黄河上下游近来迭次决口,被水区域益形扩大,加以款项支绌,河工经费不能尽力筹拨,因之河防设施 多有未周。”1933 年,黄河水利委员会委员长李仪祉提出了黄河治本思想,但由于主管机关职权不定,治理工 作难以有效推进。 ——摘编自苏全有、臧亚慧《民国时期黄河治理成效不彰的历史反思》等 材料四 20世纪70年代,人类对生物圈劫掠性破坏的后果,正不断地从许多征候中显示出来。生物圈中的人口 正在加速度增长……城市的触角,以横穿大陆的高速公路和飞机航线的形式,伸向全球。毁灭性军事行为与日 用品、食品和有机原料的大机器生产等人类活动所产生的废弃物,不断地污染着生物圈的水层和空气层。…… 人类具有使整个生物圈不再适于生存的能力,这已在使数不胜数的野生物种灭绝中得到明显的表现,即使人类 和其家养的动物也不能幸免。 ——摘编自 [英] 阿诺德·汤因比《人类与大地母亲》 (1) 根据材料一,概括中国古代生态治理的特点。(6分) 历史·第4页(共6页)(2) 根据材料二并结合所学知识,分析明清黄河南移的影响。(8分) (3) 根据材料三并结合所学知识,分析民国时期黄河治理成效不佳的背景。(6分) (4) 根据材料四,总结人类对生物圈劫掠性破坏的后果。(5分) 17. (18分) 阅读材料, 完成下列要求。 材料一 “以上帝的名义,阿门。我们,下面的签名人,作为伟大的詹姆斯一世的忠顺臣民,为了给上帝增 光,发扬基督教的信仰和我们祖国和君主的荣誉,特着手在弗吉尼亚北部这片新开拓的海岸建立第一个殖民 地。我们在上帝的面前,彼此以庄严的面貌出现,现约定将我们全体组成政治社会,以使我们能更好地生存 下来并在我们之间创造良好的秩序。为了殖民地的公众利益,我们将根据这项契约颁布我们应当忠实遵守的 公正平等的法律、法令和命令,并视需要而任命我们应当服从的行政官员。” ———《五月花号公约》1620年11 月11 日 材料二 清末司法改制,在一定程度上推进了中国司法制度的发展。在民国尚未成立之时,上海、香港等地已 经出现了职业律师群体。1912年1月,上海建立了中华民国律师公会。同年9月,北洋政府司法部公布了 《律师暂行章程》,确立了律师业的合法地位,规定了律师职业资格的取得方式、注册程序、义务及惩戒程 序。1914年11月,司法部下令在全国范围内开展律师资格审查,但在执行的过程中,存在着极为严重的索 贿、受贿现象,因此招致律师从业者的强烈不满。 ——摘编自韦加速《北洋政府时期的律师法律制度及其影响探析》 材料三 党的十一届三中全会以来,我国集中力量制定了一系列国家社会生活中的基本法律,将国家、社会、 企业、个人之间的关系以法律的形式确定下来,为改革开放提供了法制基础。 党的十五大正式确定了“依法治国”的基本方略,法制到法治,是静态的法制转化为动态的国家治理, 可以更好地保障人民群众当家作主的权益和地位。 党的十八大以来,习近平总书记指出要将国家各方面工作都纳入法治化的轨道,标志着中国特色社会主 义法治建设进入全面依法治国新时代。 ——摘编自李银娥《新中国成立75年来法治建设发展历程、主要成就与基本经验》 历史·第5页 (共6页)(1) 根据材料一,概括《五月花号公约》的特点。(5分) (2) 根据材料二并结合所学知识,归纳推动北洋政府时期律师制度发展的因素。(8分) (3) 根据材料三并结合所学知识,谈谈你对社会主义法治建设的认识。(5分) 18.(12分) 阅读材料,完成下列要求。 材料 当前,学术界出现一些关于1949—1965年中国人民生活水平状况的争论,主要观点如下: (一) 倒退论 持此观点者认为1949—1965年中国社会发生了全面的大倒退,人民生活水平甚至赶不上民国 时期,一些学者从新旧中国某教授、某工厂工人收入水平的变化出发,为此种言论进行注解。他们把这一时 期“社会全面大倒退”的根源归结为中国选择了计划经济制度,是“系统的问题”。 (二) 停滞论 持此观点者认为1949—1965年是一个错误连着一个错误,国民经济陷于崩溃,人民生活水平 停滞不前。只是在改革开放之后才走上正道,并把改革开放后取得的成就说成是引进资本主义的结果。 (三) 曲折进步论 持此观点者认为1949~1965 年中国经济建设出现过挫折,但从大的历史过程看,中国经济 仍是快速发展的,人民生活水平在曲折中得到提高。 ——摘编自朱高林《1949—1978年中国居民生活水平的历史评价》 根据材料,从上述争论中选择一种观点,并结合所学知识予以评析。(要求:观点正确,史实准确,论 证充分,表达清晰) (12分) 历史·第6页 (共6页) 学学科科网网((北北京京))股股份份有有限限公公司司