当前位置:首页>文档>精品解析:2025年江苏省扬州市中考化学真题(原卷版)_江苏省中考_01江苏省13市中考历年真题2008-2025新_、中考全套_江苏省中考历年真题_江苏省中考2025合集_江苏省化学2025

精品解析:2025年江苏省扬州市中考化学真题(原卷版)_江苏省中考_01江苏省13市中考历年真题2008-2025新_、中考全套_江苏省中考历年真题_江苏省中考2025合集_江苏省化学2025

  • 2026-03-04 04:35:13 2026-03-04 04:35:13

文档预览

精品解析:2025年江苏省扬州市中考化学真题(原卷版)_江苏省中考_01江苏省13市中考历年真题2008-2025新_、中考全套_江苏省中考历年真题_江苏省中考2025合集_江苏省化学2025
精品解析:2025年江苏省扬州市中考化学真题(原卷版)_江苏省中考_01江苏省13市中考历年真题2008-2025新_、中考全套_江苏省中考历年真题_江苏省中考2025合集_江苏省化学2025
精品解析:2025年江苏省扬州市中考化学真题(原卷版)_江苏省中考_01江苏省13市中考历年真题2008-2025新_、中考全套_江苏省中考历年真题_江苏省中考2025合集_江苏省化学2025
精品解析:2025年江苏省扬州市中考化学真题(原卷版)_江苏省中考_01江苏省13市中考历年真题2008-2025新_、中考全套_江苏省中考历年真题_江苏省中考2025合集_江苏省化学2025
精品解析:2025年江苏省扬州市中考化学真题(原卷版)_江苏省中考_01江苏省13市中考历年真题2008-2025新_、中考全套_江苏省中考历年真题_江苏省中考2025合集_江苏省化学2025
精品解析:2025年江苏省扬州市中考化学真题(原卷版)_江苏省中考_01江苏省13市中考历年真题2008-2025新_、中考全套_江苏省中考历年真题_江苏省中考2025合集_江苏省化学2025
精品解析:2025年江苏省扬州市中考化学真题(原卷版)_江苏省中考_01江苏省13市中考历年真题2008-2025新_、中考全套_江苏省中考历年真题_江苏省中考2025合集_江苏省化学2025
精品解析:2025年江苏省扬州市中考化学真题(原卷版)_江苏省中考_01江苏省13市中考历年真题2008-2025新_、中考全套_江苏省中考历年真题_江苏省中考2025合集_江苏省化学2025
精品解析:2025年江苏省扬州市中考化学真题(原卷版)_江苏省中考_01江苏省13市中考历年真题2008-2025新_、中考全套_江苏省中考历年真题_江苏省中考2025合集_江苏省化学2025
精品解析:2025年江苏省扬州市中考化学真题(原卷版)_江苏省中考_01江苏省13市中考历年真题2008-2025新_、中考全套_江苏省中考历年真题_江苏省中考2025合集_江苏省化学2025

文档信息

文档格式
docx
文档大小
1.157 MB
文档页数
10 页
上传时间
2026-03-04 04:35:13

文档内容

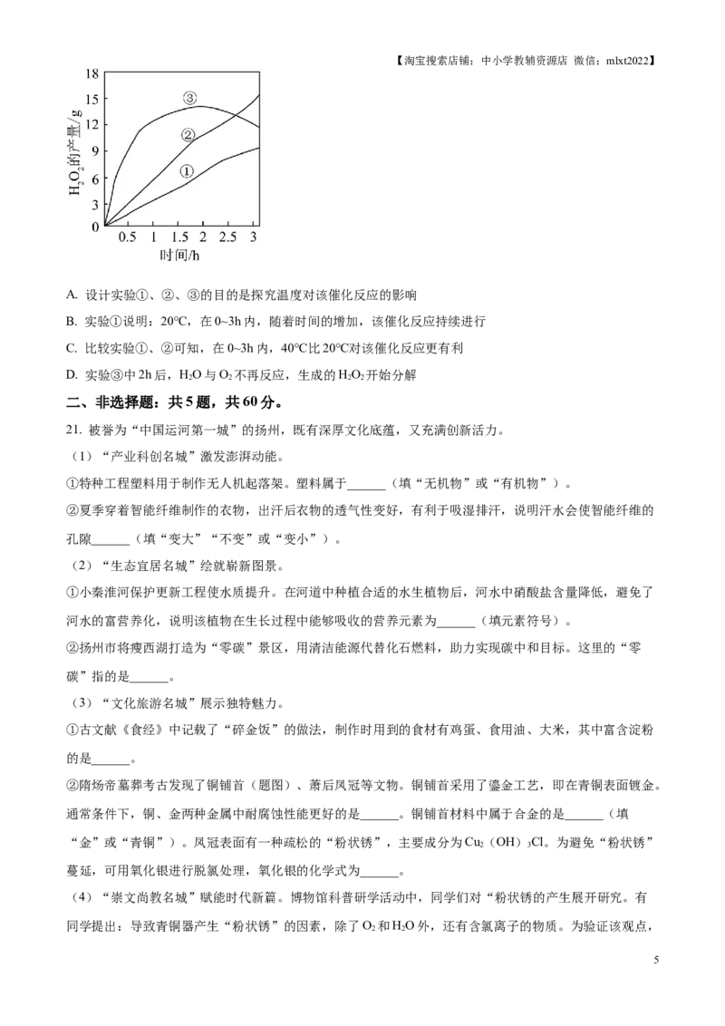
【淘宝搜索店铺:中小学教辅资源店 微信:mlxt2022】 扬州市 2025 年初中毕业升学考试 化学 注意事项 考生在答题前请认真阅读本注意事项及各题答题要求 1.本试卷共6页,满分为100分,考试时间为100分钟。考试结束后,请将本试卷和答题卡一 并交回。 2.答题前,务必将自己的姓名、准考证号用0.5毫米黑色墨水的签字笔填写在试卷及答题卡的 规定位置,在试卷第一面的右下角填写好座位号。 3.请认真核对监考员在答题卡上所粘贴的条形码上的姓名、准考证号与本人是否相符。 4.答选择题,必须用2B铅笔将答题卡上对应选项的方框涂满、涂黑;如需改动,请用橡皮擦 干净后,再选涂其他答案。答非选择题,必须用0.5毫米黑色墨水的签字笔在答题卡上的指 定位置作答,在其他位置作答一律无效。 5.如需作图,必须用2B铅笔绘、写清楚,线条、符号等须加黑、加粗。 可能用到的相对原子质量:H1 C12 N14 O16 Na23 S32 Ca40 一、单项选择题:共20题,每题2分,共40分。每题只有一个选项最符合题意。 1. 下列是我国几位科学家及其部分研究领域,其中研究领域主要涉及能量的储存与释放的是 A. 徐光宪,稀土元素分离技术研究 B. 屠呦呦,抗疟药物研究 C. 王泽山,火炸药等高能材料研究 D. 侯德榜,制碱工艺研究 2. 科学发展常以如题图所示的方式推进、循环。公元前5世纪,有哲学家猜想:万物是由极其微小的、不 可分割的“原子”构成。这属于 A. 观察现象 B. 提出问题 C. 建立假说 D. 实验验证 3. 食品包装袋内充入某气体可以避免食物因氧化而变质,该气体可以是 A. B. C. D. 4. 锌肥是一种微量元素肥料,能够提高作物的产量。下列物质属于锌肥的是 1【淘宝搜索店铺:中小学教辅资源店 微信:mlxt2022】 A. B. C. D. 5. 可用于自来水的杀菌消毒。 属于 A. 氧化物 B. 酸 C. 碱 D. 盐 6. 四氯化钛 是制备钛白粉的主要原料。 中钛元素的化合价为 A. +1 B. +2 C. +3 D. +4 7. 俗名往往反映了物质的组成、性质或用途。下列对物质俗名的理解正确的是 A. 铜绿:单质铜为绿色 B. 干冰:干净无杂质的冰 C. 石灰石: 经煅烧可制备生石灰 D. 水银:汞 是液态的银 8. 常温下,测得生活中一些物质的pH如下,其中能使紫色石蕊试液变红的是 A. 柠檬汁:pH=2.5 B. 食盐水:pH=7 C. 肥皂水:pH=10.2 D. 油污净:pH=11.2 9. 碘是生命活动必需的微量元素,碘在元素周期表中的信息如题图所示。下列说法不正确的是 的 A. 碘 元素符号为I B. 碘属于非金属元素 C. 碘原子核内有53个中子 D. 碘的相对原子质量为126.9 10. 构成物质的微观粒子有分子、原子、离子等。下列物质由分子构成的是 A. 氧化镁 B. 金 C. 金刚石 D. 水 11. 《天工开物》记载:“凡蓝五种,皆可为淀。”“蓝淀”用于染布,色泽浓郁且洗涤不易掉色,其主 要成分的化学式为C H NO,下列关于C H NO 的说法正确的是 16 10 2 2 16 10 2 2 2【淘宝搜索店铺:中小学教辅资源店 微信:mlxt2022】 A. 易溶于水 B. 分子中含氧分子(O) 2 C. 由C、H、N、O四种元素组成 D. C、H两种元素的质量比为8∶5 12. 红磷在O 中燃烧生成PO,其转化可表示为 在给定条件下,下列物质间的转化不能实 2 2 5 . 现的是 . A Fe FeSO B. NH HCO NH 4 4 3 3 C. H HO D. CuO Cu(OH) 2 2 2 13. 汽车尾气净化装置中发生反应:2CO+2X N+2CO ,X的化学式为 2 2 A. NO B. NO C. NO D. NO 2 2 4 2 14. 下列实验方案能达到实验目的的是 选 实验方案 实验目的 项 A 加热KMnO 固体,并用向下排空气法收集产生的气体 制备并收集O 4 2 B 将燃着的木条靠近集气瓶口,观察现象 收集CO 时,检验是否集满 2 C 用玻璃棒蘸取NaOH溶液滴在湿润的pH试纸上,与标准比色卡对照 测定NaOH溶液的pH D 将粗盐溶解后,蒸发结晶 去除粗盐中的难溶性杂质 A. A B. B C. C D. D 15. 下列实验操作不正确的是 A. 读取液体体积 B. 稀释浓硫酸 C. 过滤沉淀 D. 干燥氢气 3【淘宝搜索店铺:中小学教辅资源店 微信:mlxt2022】 阅读下列材料,完成下面小题。 SO 是空气污染物之一,也是重要的化工原料。燃煤烟气中含少量的SO ,可用NaSO 处理,方法如下: 2 2 2 3 步骤一,将烟气通入NaSO 溶液,发生反应①NaSO +SO+H O=2NaHSO ;步骤二,加热NaHSO 溶液, 2 3 2 3 2 2 3 3 发生反应②2NaHSO NaSO +SO↑+H O。 3 2 3 2 2 16. 下列物质的排放会引起酸雨的是 A. SO B. CO C. CO D. CH 2 2 4 17. 步骤二中反应②的类型是 A. 化合反应 B. 分解反应 C. 置换反应 D. 复分解反应 18. 关于用NaSO 处理烟气中SO 的方法,下列说法不正确的是 2 3 2 A. 步骤一的作用是吸收烟气中的SO 2 B. 向NaSO 溶液中快速通入热的烟气,有利于SO 的吸收 2 3 2 C. 与烟气中的SO 相比,步骤二释放出的SO 较为纯净 2 2 D. 该处理方法中NaSO 可循环使用 2 3 19. 下列对实验现象的解释正确的是 选 实验现象 解释 项 25℃时,向某蔗糖溶液中加入少量蔗糖,蔗糖逐渐 原溶液是25℃时,蔗糖的 A 消失 饱和溶液 80℃的NH Cl饱和溶液冷却至20℃时,有晶体析 温度降低,NH Cl的溶解度 B 4 4 出 增大 将铁丝浸入CuSO 溶液,一段时间后,铁丝表面 C 4 Cu的金属活动性比Fe强 有红色固体出现 将干冷的烧杯罩在蜡烛火焰上方,烧杯内有黑烟和 D 蜡烛中含有碳元素、氢元素 水雾 A. A B. B C. C D. D 20. 某催化剂可实现HO与O 反应制备HO。向容器中加入100gHO和适量催化剂,并不断通入O,保 2 2 2 2 2 2 的 持其他条件不变,分别在20℃、40℃和60℃下进行实验①、②、③,测得HO 产量随时间的变化如题 2 2 图所示。下列说法不正确的是 4【淘宝搜索店铺:中小学教辅资源店 微信:mlxt2022】 A. 设计实验①、②、③的目的是探究温度对该催化反应的影响 B. 实验①说明:20℃,在0~3h内,随着时间的增加,该催化反应持续进行 C. 比较实验①、②可知,在0~3h内,40℃比20℃对该催化反应更有利 D. 实验③中2h后,HO与O 不再反应,生成的HO 开始分解 2 2 2 2 二、非选择题:共5题,共60分。 21. 被誉为“中国运河第一城”的扬州,既有深厚文化底蕴,又充满创新活力。 (1)“产业科创名城”激发澎湃动能。 ①特种工程塑料用于制作无人机起落架。塑料属于______(填“无机物”或“有机物”)。 ②夏季穿着智能纤维制作的衣物,出汗后衣物的透气性变好,有利于吸湿排汗,说明汗水会使智能纤维的 孔隙______(填“变大”“不变”或“变小”)。 (2)“生态宜居名城”绘就崭新图景。 ①小秦淮河保护更新工程使水质提升。在河道中种植合适的水生植物后,河水中硝酸盐含量降低,避免了 河水的富营养化,说明该植物在生长过程中能够吸收的营养元素为______(填元素符号)。 ②扬州市将瘦西湖打造为“零碳”景区,用清洁能源代替化石燃料,助力实现碳中和目标。这里的“零 碳”指的是______。 (3)“文化旅游名城”展示独特魅力。 ①古文献《食经》中记载了“碎金饭”的做法,制作时用到的食材有鸡蛋、食用油、大米,其中富含淀粉 的是______。 ②隋炀帝墓葬考古发现了铜铺首(题图)、萧后凤冠等文物。铜铺首采用了鎏金工艺,即在青铜表面镀金。 通常条件下,铜、金两种金属中耐腐蚀性能更好的是______。铜铺首材料中属于合金的是______(填 “金”或“青铜”)。凤冠表面有一种疏松的“粉状锈”,主要成分为Cu (OH)Cl。为避免“粉状锈” 2 3 蔓延,可用氧化银进行脱氯处理,氧化银的化学式为______。 (4)“崇文尚教名城”赋能时代新篇。博物馆科普研学活动中,同学们对“粉状锈的产生展开研究。有 同学提出:导致青铜器产生“粉状锈”的因素,除了O 和HO外,还有含氯离子的物质。为验证该观点, 2 2 5【淘宝搜索店铺:中小学教辅资源店 微信:mlxt2022】 设计以下实验,请补充完整实验方案:实验1,将青铜片置于潮湿空气环境中;实验2,将青铜片置于 ______的环境中,相同时间后观察现象。 22. 太空中,宇航员的每一次呼吸都离不开一系列精心设计的化学反应。 (1)空间站模拟地球的大气环境。 ①法拉第认为,空气进入肺部,碳与氧立即结合,即使外面天寒地冻,我们也能通过呼吸迅速产生二氧化 碳。一切反应都恰到好处地进行着。呼吸与燃烧有着巧妙且惊人的相似之处。”他的观点是,伴随呼吸过 程会______(填“吸收”或“放出”)热量,从而维持人体的体温正常。 ②成年人每次呼吸时,吸入的空气和呼出的气体的成分(部分)质量变化如图-1所示。图中成分B的化学 式为______。 ③快速深呼吸时,人体血液中的CO 含量会减小,此时人体血液的碱性会______(填“增强”或“减 2 弱”)。 (2)空间站源源不断为呼吸提供O 备用装置可应急提供O,其原理是:NaClO 固体受热分解产生O; 2. 2 3 2 均匀添加于其中的适量金属锰(Mn)在O 中燃烧生成氧化物,有助于快速产生O 添加金属Mn的作用是 2 2. ______。 (3)空间站需及时处理产生的CO 2. ①中国空间站构建了高效循环的生命保障系统,如题图-2所示。该系统中发生反应CO+4H 2 2 CH+2H O。每转化44gCO,需从外界补充水的质量为______g。 4 2 2 6【淘宝搜索店铺:中小学教辅资源店 微信:mlxt2022】 ②有科学家提出循环系统的改进方案;如题图-3所示。该方案中物质Y的化学式为______。 23. 实验室模拟超细碳酸钙的制备及测定。 (1)制备CO 用石灰石和稀盐酸制备CO 2. 2. ①反应的化学方程式为______。 ②下列装置中(如题图-1所示),仪器M的名称为______,制备CO 时应选用的装置是______(填字母)。 2 (2)制备超细碳酸钙 。利用硫酸钙(CaSO)悬浊液、氨水(NH ·H O)和CO 制备碳酸钙,发生反应 4 3 2 2 2NH ·H O+CO+CaSO =CaCO +(NH)SO +H O。 3 2 2 4 3 4 2 4 2 ①硫酸钙微溶于水。配制硫酸钙悬浊液时,需持续搅拌,目的是______。 ②已知CO 在水中的溶解度较小,易被氨水吸收。制备碳酸钙时,向硫酸钙悬浊液中加入氨水和CO 的合 2 2 理顺序是______(填字母)。 A.先通入CO,再加入氨水 2 B.先加入氨水,再通入CO 2 (3)碳酸钙样品成分测定。某碳酸钙样品含有少量杂质成分,为分析样品的成分,取一定量的样品和纯 净的CaCO 固体,分别加热,测定两种物质在温度升高时的质量变化,得到其残余率(残余率= 3 )随温度的变化如题图-2所示。 7【淘宝搜索店铺:中小学教辅资源店 微信:mlxt2022】 ①表示纯净的CaCO 固体在温度升高时残余率变化的曲线为______(填“a”或“b”)。 3 ②曲线a在260~400℃时残余率下降,原因是______。 24. 电镀行业产生的废水主要含FeCl 、FeCl 和HCl,pH约为1,经处理达标后方能排放。 2 3 (1)化学沉淀法处理。向该废水中加入略过量的石灰乳,使铁元素完全进入沉淀。 ①石灰乳属于______(填“纯净物”或“混合物”)。 ②FeCl 与Ca(OH) 反应生成Fe(OH) 沉淀的化学方程式为______。生成的沉淀经处理可得到Fe O, 2 2 2 2 3 写出Fe O 的一种用途______。 2 3 (2)吸附法处理。用燃煤发电后得到的粉煤灰可吸附该废水中的铁元素,示意图如题图-1所示。 ①粉煤灰颗粒在水中带一定单位的电荷,其所带的是______(填“正”或“负”)电荷。 ②向一定量的废水中加入NaOH溶液,废水中H+数目会减少,酸性减弱,则一定体积溶液中H+数目越少, pH______(填“越大”或“越小”)。 ③室温下,设计实验测定废水初始pH分别为2、2.5、3、3.5时,粉煤灰对废水中铁元素的吸附效果。请 补充完整实验方案:取4份等体积、pH约为1的废水,______,调节pH分别为2、2.5、3、3.5, ______,适当搅拌,吸附相同时间后,分别测定溶液中剩余铁元素的质量(可选用的试剂:盐酸、NaOH 8【淘宝搜索店铺:中小学教辅资源店 微信:mlxt2022】 溶液)。 ④测得③中废水初始pH与铁元素去除率(铁元素去除率= )的关系如题 图-2所示。pH在2~3.5之间,随pH减小,铁元素去除率下降的原因是______。 25. 氢气是一种清洁能源,氢能产业技术主要包括氢气的制取、储运及应用。 (1)分析H 的性质。查阅资料,汽油与氢气的部分性质如题表所示。 2 题表 数据 编 性质 号 汽油 氢气 最小点火能(在空气中能引发燃烧或爆炸所需的最小火花能量 A 0.24 0.019 ×10-3J) B 爆炸极限(在空气中能发生燃烧或爆炸的体积分数范围/%) 1~7.6 4~75 C 单位质量发热量(单位质量燃料燃烧产生的热量×103/kJ·kg-1) 43 120 D 单位体积发热量(单位体积燃料燃烧产生的热量×10³/kJ·m-3) 33000 10.8 ①与汽油相比,除爆炸极限范围更宽外,表中支持“H 在使用时更需注意安全性”观点的数据还有______ 2 (填编号)。 ②对比表中单位质量发热量与单位体积发热量的数据进行分析,除安全性外,氢气不宜直接运输的原因还 有______。 (2)电解水制氢。有研究认为,一定条件下电解水的过程中,某电极上发生的变化如题图-1所示。 9【淘宝搜索店铺:中小学教辅资源店 微信:mlxt2022】 ①“阶段一”中,生成的“ ”是一种阴离子,其离子符号为______。 ②“阶段三”中,气泡从电极表面脱离后,在溶液中向上运动时,所受压强逐渐减小,体积逐渐增大。从 的 微观粒子 视角,对气泡体积增大进行解释:______。 ③相同条件下,若电极表面的气泡难以脱离,则不利于氢气的产生。原因是______。 (3)甲酸(HCOOH)分解制氢。常温下,甲酸是一种液态物质,可通过反应Ⅰ制备H,化学方程式为 2 HCOOH CO↑+H ↑。 2 2 ①制备H 时,部分甲酸会发生反应Ⅱ:HCOOH分解为HO和另一种有毒气体。该气体的化学式为______。 2 2 ②仅考虑以上两个反应,若有92%的甲酸发生反应Ⅰ,计算500吨(t)甲酸可制得H₂的质量______(写出 计算过程)。 (4)高效利用能源。为实现可持续发展,用可再生能源如太阳能、风能等发电引起人们的关注。但太阳 能、风能等无法实现及时或稳定的能源供应,通过它们产生的过剩电能制氢,再供给有能源需求的地区使 用,如题图-2所示,可实现能源的高效利用。 该过程中HCOOH的作用是______。 10
基本 文件 流程 错误 SQL 调试
  1. 请求信息 : 2026-03-04 04:35:19 HTTP/1.1 GET : https://www.yeyulingfeng.com/wendang/335337.html
  2. 运行时间 : 0.252368s [ 吞吐率:3.96req/s ] 内存消耗:5,291.18kb 文件加载:144
  3. 缓存信息 : 0 reads,0 writes
  4. 会话信息 : SESSION_ID=135d16bb9c8fb3585f083fcffa68d547
  1. /yingpanguazai/ssd/ssd1/www/wwww.yeyulingfeng.com/public/index.php ( 0.79 KB )
  2. /yingpanguazai/ssd/ssd1/www/wwww.yeyulingfeng.com/vendor/autoload.php ( 0.17 KB )
  3. /yingpanguazai/ssd/ssd1/www/wwww.yeyulingfeng.com/vendor/composer/autoload_real.php ( 2.49 KB )
  4. /yingpanguazai/ssd/ssd1/www/wwww.yeyulingfeng.com/vendor/composer/platform_check.php ( 0.90 KB )
  5. /yingpanguazai/ssd/ssd1/www/wwww.yeyulingfeng.com/vendor/composer/ClassLoader.php ( 14.03 KB )
  6. /yingpanguazai/ssd/ssd1/www/wwww.yeyulingfeng.com/vendor/composer/autoload_static.php ( 6.05 KB )
  7. /yingpanguazai/ssd/ssd1/www/wwww.yeyulingfeng.com/vendor/topthink/think-helper/src/helper.php ( 8.34 KB )
  8. /yingpanguazai/ssd/ssd1/www/wwww.yeyulingfeng.com/vendor/topthink/think-validate/src/helper.php ( 2.19 KB )
  9. /yingpanguazai/ssd/ssd1/www/wwww.yeyulingfeng.com/vendor/ralouphie/getallheaders/src/getallheaders.php ( 1.60 KB )
  10. /yingpanguazai/ssd/ssd1/www/wwww.yeyulingfeng.com/vendor/topthink/think-orm/src/helper.php ( 1.47 KB )
  11. /yingpanguazai/ssd/ssd1/www/wwww.yeyulingfeng.com/vendor/topthink/think-orm/stubs/load_stubs.php ( 0.16 KB )
  12. /yingpanguazai/ssd/ssd1/www/wwww.yeyulingfeng.com/vendor/topthink/framework/src/think/Exception.php ( 1.69 KB )
  13. /yingpanguazai/ssd/ssd1/www/wwww.yeyulingfeng.com/vendor/topthink/think-container/src/Facade.php ( 2.71 KB )
  14. /yingpanguazai/ssd/ssd1/www/wwww.yeyulingfeng.com/vendor/symfony/deprecation-contracts/function.php ( 0.99 KB )
  15. /yingpanguazai/ssd/ssd1/www/wwww.yeyulingfeng.com/vendor/symfony/polyfill-mbstring/bootstrap.php ( 8.26 KB )
  16. /yingpanguazai/ssd/ssd1/www/wwww.yeyulingfeng.com/vendor/symfony/polyfill-mbstring/bootstrap80.php ( 9.78 KB )
  17. /yingpanguazai/ssd/ssd1/www/wwww.yeyulingfeng.com/vendor/symfony/var-dumper/Resources/functions/dump.php ( 1.49 KB )
  18. /yingpanguazai/ssd/ssd1/www/wwww.yeyulingfeng.com/vendor/topthink/think-dumper/src/helper.php ( 0.18 KB )
  19. /yingpanguazai/ssd/ssd1/www/wwww.yeyulingfeng.com/vendor/symfony/var-dumper/VarDumper.php ( 4.30 KB )
  20. /yingpanguazai/ssd/ssd1/www/wwww.yeyulingfeng.com/vendor/guzzlehttp/guzzle/src/functions_include.php ( 0.16 KB )
  21. /yingpanguazai/ssd/ssd1/www/wwww.yeyulingfeng.com/vendor/guzzlehttp/guzzle/src/functions.php ( 5.54 KB )
  22. /yingpanguazai/ssd/ssd1/www/wwww.yeyulingfeng.com/vendor/topthink/framework/src/think/App.php ( 15.30 KB )
  23. /yingpanguazai/ssd/ssd1/www/wwww.yeyulingfeng.com/vendor/topthink/think-container/src/Container.php ( 15.76 KB )
  24. /yingpanguazai/ssd/ssd1/www/wwww.yeyulingfeng.com/vendor/psr/container/src/ContainerInterface.php ( 1.02 KB )
  25. /yingpanguazai/ssd/ssd1/www/wwww.yeyulingfeng.com/app/provider.php ( 0.19 KB )
  26. /yingpanguazai/ssd/ssd1/www/wwww.yeyulingfeng.com/vendor/topthink/framework/src/think/Http.php ( 6.04 KB )
  27. /yingpanguazai/ssd/ssd1/www/wwww.yeyulingfeng.com/vendor/topthink/think-helper/src/helper/Str.php ( 7.29 KB )
  28. /yingpanguazai/ssd/ssd1/www/wwww.yeyulingfeng.com/vendor/topthink/framework/src/think/Env.php ( 4.68 KB )
  29. /yingpanguazai/ssd/ssd1/www/wwww.yeyulingfeng.com/app/common.php ( 0.03 KB )
  30. /yingpanguazai/ssd/ssd1/www/wwww.yeyulingfeng.com/vendor/topthink/framework/src/helper.php ( 18.78 KB )
  31. /yingpanguazai/ssd/ssd1/www/wwww.yeyulingfeng.com/vendor/topthink/framework/src/think/Config.php ( 5.54 KB )
  32. /yingpanguazai/ssd/ssd1/www/wwww.yeyulingfeng.com/config/alipay.php ( 3.59 KB )
  33. /yingpanguazai/ssd/ssd1/www/wwww.yeyulingfeng.com/vendor/topthink/framework/src/think/facade/Env.php ( 1.67 KB )
  34. /yingpanguazai/ssd/ssd1/www/wwww.yeyulingfeng.com/config/app.php ( 0.95 KB )
  35. /yingpanguazai/ssd/ssd1/www/wwww.yeyulingfeng.com/config/cache.php ( 0.78 KB )
  36. /yingpanguazai/ssd/ssd1/www/wwww.yeyulingfeng.com/config/console.php ( 0.23 KB )
  37. /yingpanguazai/ssd/ssd1/www/wwww.yeyulingfeng.com/config/cookie.php ( 0.56 KB )
  38. /yingpanguazai/ssd/ssd1/www/wwww.yeyulingfeng.com/config/database.php ( 2.48 KB )
  39. /yingpanguazai/ssd/ssd1/www/wwww.yeyulingfeng.com/config/filesystem.php ( 0.61 KB )
  40. /yingpanguazai/ssd/ssd1/www/wwww.yeyulingfeng.com/config/lang.php ( 0.91 KB )
  41. /yingpanguazai/ssd/ssd1/www/wwww.yeyulingfeng.com/config/log.php ( 1.35 KB )
  42. /yingpanguazai/ssd/ssd1/www/wwww.yeyulingfeng.com/config/middleware.php ( 0.19 KB )
  43. /yingpanguazai/ssd/ssd1/www/wwww.yeyulingfeng.com/config/route.php ( 1.89 KB )
  44. /yingpanguazai/ssd/ssd1/www/wwww.yeyulingfeng.com/config/session.php ( 0.57 KB )
  45. /yingpanguazai/ssd/ssd1/www/wwww.yeyulingfeng.com/config/trace.php ( 0.34 KB )
  46. /yingpanguazai/ssd/ssd1/www/wwww.yeyulingfeng.com/config/view.php ( 0.82 KB )
  47. /yingpanguazai/ssd/ssd1/www/wwww.yeyulingfeng.com/app/event.php ( 0.25 KB )
  48. /yingpanguazai/ssd/ssd1/www/wwww.yeyulingfeng.com/vendor/topthink/framework/src/think/Event.php ( 7.67 KB )
  49. /yingpanguazai/ssd/ssd1/www/wwww.yeyulingfeng.com/app/service.php ( 0.13 KB )
  50. /yingpanguazai/ssd/ssd1/www/wwww.yeyulingfeng.com/app/AppService.php ( 0.26 KB )
  51. /yingpanguazai/ssd/ssd1/www/wwww.yeyulingfeng.com/vendor/topthink/framework/src/think/Service.php ( 1.64 KB )
  52. /yingpanguazai/ssd/ssd1/www/wwww.yeyulingfeng.com/vendor/topthink/framework/src/think/Lang.php ( 7.35 KB )
  53. /yingpanguazai/ssd/ssd1/www/wwww.yeyulingfeng.com/vendor/topthink/framework/src/lang/zh-cn.php ( 13.70 KB )
  54. /yingpanguazai/ssd/ssd1/www/wwww.yeyulingfeng.com/vendor/topthink/framework/src/think/initializer/Error.php ( 3.31 KB )
  55. /yingpanguazai/ssd/ssd1/www/wwww.yeyulingfeng.com/vendor/topthink/framework/src/think/initializer/RegisterService.php ( 1.33 KB )
  56. /yingpanguazai/ssd/ssd1/www/wwww.yeyulingfeng.com/vendor/services.php ( 0.14 KB )
  57. /yingpanguazai/ssd/ssd1/www/wwww.yeyulingfeng.com/vendor/topthink/framework/src/think/service/PaginatorService.php ( 1.52 KB )
  58. /yingpanguazai/ssd/ssd1/www/wwww.yeyulingfeng.com/vendor/topthink/framework/src/think/service/ValidateService.php ( 0.99 KB )
  59. /yingpanguazai/ssd/ssd1/www/wwww.yeyulingfeng.com/vendor/topthink/framework/src/think/service/ModelService.php ( 2.04 KB )
  60. /yingpanguazai/ssd/ssd1/www/wwww.yeyulingfeng.com/vendor/topthink/think-trace/src/Service.php ( 0.77 KB )
  61. /yingpanguazai/ssd/ssd1/www/wwww.yeyulingfeng.com/vendor/topthink/framework/src/think/Middleware.php ( 6.72 KB )
  62. /yingpanguazai/ssd/ssd1/www/wwww.yeyulingfeng.com/vendor/topthink/framework/src/think/initializer/BootService.php ( 0.77 KB )
  63. /yingpanguazai/ssd/ssd1/www/wwww.yeyulingfeng.com/vendor/topthink/think-orm/src/Paginator.php ( 11.86 KB )
  64. /yingpanguazai/ssd/ssd1/www/wwww.yeyulingfeng.com/vendor/topthink/think-validate/src/Validate.php ( 63.20 KB )
  65. /yingpanguazai/ssd/ssd1/www/wwww.yeyulingfeng.com/vendor/topthink/think-orm/src/Model.php ( 23.55 KB )
  66. /yingpanguazai/ssd/ssd1/www/wwww.yeyulingfeng.com/vendor/topthink/think-orm/src/model/concern/Attribute.php ( 21.05 KB )
  67. /yingpanguazai/ssd/ssd1/www/wwww.yeyulingfeng.com/vendor/topthink/think-orm/src/model/concern/AutoWriteData.php ( 4.21 KB )
  68. /yingpanguazai/ssd/ssd1/www/wwww.yeyulingfeng.com/vendor/topthink/think-orm/src/model/concern/Conversion.php ( 6.44 KB )
  69. /yingpanguazai/ssd/ssd1/www/wwww.yeyulingfeng.com/vendor/topthink/think-orm/src/model/concern/DbConnect.php ( 5.16 KB )
  70. /yingpanguazai/ssd/ssd1/www/wwww.yeyulingfeng.com/vendor/topthink/think-orm/src/model/concern/ModelEvent.php ( 2.33 KB )
  71. /yingpanguazai/ssd/ssd1/www/wwww.yeyulingfeng.com/vendor/topthink/think-orm/src/model/concern/RelationShip.php ( 28.29 KB )
  72. /yingpanguazai/ssd/ssd1/www/wwww.yeyulingfeng.com/vendor/topthink/think-helper/src/contract/Arrayable.php ( 0.09 KB )
  73. /yingpanguazai/ssd/ssd1/www/wwww.yeyulingfeng.com/vendor/topthink/think-helper/src/contract/Jsonable.php ( 0.13 KB )
  74. /yingpanguazai/ssd/ssd1/www/wwww.yeyulingfeng.com/vendor/topthink/think-orm/src/model/contract/Modelable.php ( 0.09 KB )
  75. /yingpanguazai/ssd/ssd1/www/wwww.yeyulingfeng.com/vendor/topthink/framework/src/think/Db.php ( 2.88 KB )
  76. /yingpanguazai/ssd/ssd1/www/wwww.yeyulingfeng.com/vendor/topthink/think-orm/src/DbManager.php ( 8.52 KB )
  77. /yingpanguazai/ssd/ssd1/www/wwww.yeyulingfeng.com/vendor/topthink/framework/src/think/Log.php ( 6.28 KB )
  78. /yingpanguazai/ssd/ssd1/www/wwww.yeyulingfeng.com/vendor/topthink/framework/src/think/Manager.php ( 3.92 KB )
  79. /yingpanguazai/ssd/ssd1/www/wwww.yeyulingfeng.com/vendor/psr/log/src/LoggerTrait.php ( 2.69 KB )
  80. /yingpanguazai/ssd/ssd1/www/wwww.yeyulingfeng.com/vendor/psr/log/src/LoggerInterface.php ( 2.71 KB )
  81. /yingpanguazai/ssd/ssd1/www/wwww.yeyulingfeng.com/vendor/topthink/framework/src/think/Cache.php ( 4.92 KB )
  82. /yingpanguazai/ssd/ssd1/www/wwww.yeyulingfeng.com/vendor/psr/simple-cache/src/CacheInterface.php ( 4.71 KB )
  83. /yingpanguazai/ssd/ssd1/www/wwww.yeyulingfeng.com/vendor/topthink/think-helper/src/helper/Arr.php ( 16.63 KB )
  84. /yingpanguazai/ssd/ssd1/www/wwww.yeyulingfeng.com/vendor/topthink/framework/src/think/cache/driver/File.php ( 7.84 KB )
  85. /yingpanguazai/ssd/ssd1/www/wwww.yeyulingfeng.com/vendor/topthink/framework/src/think/cache/Driver.php ( 9.03 KB )
  86. /yingpanguazai/ssd/ssd1/www/wwww.yeyulingfeng.com/vendor/topthink/framework/src/think/contract/CacheHandlerInterface.php ( 1.99 KB )
  87. /yingpanguazai/ssd/ssd1/www/wwww.yeyulingfeng.com/app/Request.php ( 0.09 KB )
  88. /yingpanguazai/ssd/ssd1/www/wwww.yeyulingfeng.com/vendor/topthink/framework/src/think/Request.php ( 55.78 KB )
  89. /yingpanguazai/ssd/ssd1/www/wwww.yeyulingfeng.com/app/middleware.php ( 0.25 KB )
  90. /yingpanguazai/ssd/ssd1/www/wwww.yeyulingfeng.com/vendor/topthink/framework/src/think/Pipeline.php ( 2.61 KB )
  91. /yingpanguazai/ssd/ssd1/www/wwww.yeyulingfeng.com/vendor/topthink/think-trace/src/TraceDebug.php ( 3.40 KB )
  92. /yingpanguazai/ssd/ssd1/www/wwww.yeyulingfeng.com/vendor/topthink/framework/src/think/middleware/SessionInit.php ( 1.94 KB )
  93. /yingpanguazai/ssd/ssd1/www/wwww.yeyulingfeng.com/vendor/topthink/framework/src/think/Session.php ( 1.80 KB )
  94. /yingpanguazai/ssd/ssd1/www/wwww.yeyulingfeng.com/vendor/topthink/framework/src/think/session/driver/File.php ( 6.27 KB )
  95. /yingpanguazai/ssd/ssd1/www/wwww.yeyulingfeng.com/vendor/topthink/framework/src/think/contract/SessionHandlerInterface.php ( 0.87 KB )
  96. /yingpanguazai/ssd/ssd1/www/wwww.yeyulingfeng.com/vendor/topthink/framework/src/think/session/Store.php ( 7.12 KB )
  97. /yingpanguazai/ssd/ssd1/www/wwww.yeyulingfeng.com/vendor/topthink/framework/src/think/Route.php ( 23.73 KB )
  98. /yingpanguazai/ssd/ssd1/www/wwww.yeyulingfeng.com/vendor/topthink/framework/src/think/route/RuleName.php ( 5.75 KB )
  99. /yingpanguazai/ssd/ssd1/www/wwww.yeyulingfeng.com/vendor/topthink/framework/src/think/route/Domain.php ( 2.53 KB )
  100. /yingpanguazai/ssd/ssd1/www/wwww.yeyulingfeng.com/vendor/topthink/framework/src/think/route/RuleGroup.php ( 22.43 KB )
  101. /yingpanguazai/ssd/ssd1/www/wwww.yeyulingfeng.com/vendor/topthink/framework/src/think/route/Rule.php ( 26.95 KB )
  102. /yingpanguazai/ssd/ssd1/www/wwww.yeyulingfeng.com/vendor/topthink/framework/src/think/route/RuleItem.php ( 9.78 KB )
  103. /yingpanguazai/ssd/ssd1/www/wwww.yeyulingfeng.com/route/app.php ( 3.73 KB )
  104. /yingpanguazai/ssd/ssd1/www/wwww.yeyulingfeng.com/vendor/topthink/framework/src/think/facade/Route.php ( 4.70 KB )
  105. /yingpanguazai/ssd/ssd1/www/wwww.yeyulingfeng.com/vendor/topthink/framework/src/think/route/dispatch/Controller.php ( 4.74 KB )
  106. /yingpanguazai/ssd/ssd1/www/wwww.yeyulingfeng.com/vendor/topthink/framework/src/think/route/Dispatch.php ( 10.44 KB )
  107. /yingpanguazai/ssd/ssd1/www/wwww.yeyulingfeng.com/app/controller/Index.php ( 9.50 KB )
  108. /yingpanguazai/ssd/ssd1/www/wwww.yeyulingfeng.com/app/BaseController.php ( 2.05 KB )
  109. /yingpanguazai/ssd/ssd1/www/wwww.yeyulingfeng.com/vendor/topthink/think-orm/src/facade/Db.php ( 0.93 KB )
  110. /yingpanguazai/ssd/ssd1/www/wwww.yeyulingfeng.com/vendor/topthink/think-orm/src/db/connector/Mysql.php ( 5.44 KB )
  111. /yingpanguazai/ssd/ssd1/www/wwww.yeyulingfeng.com/vendor/topthink/think-orm/src/db/PDOConnection.php ( 52.47 KB )
  112. /yingpanguazai/ssd/ssd1/www/wwww.yeyulingfeng.com/vendor/topthink/think-orm/src/db/Connection.php ( 8.39 KB )
  113. /yingpanguazai/ssd/ssd1/www/wwww.yeyulingfeng.com/vendor/topthink/think-orm/src/db/ConnectionInterface.php ( 4.57 KB )
  114. /yingpanguazai/ssd/ssd1/www/wwww.yeyulingfeng.com/vendor/topthink/think-orm/src/db/builder/Mysql.php ( 16.58 KB )
  115. /yingpanguazai/ssd/ssd1/www/wwww.yeyulingfeng.com/vendor/topthink/think-orm/src/db/Builder.php ( 24.06 KB )
  116. /yingpanguazai/ssd/ssd1/www/wwww.yeyulingfeng.com/vendor/topthink/think-orm/src/db/BaseBuilder.php ( 27.50 KB )
  117. /yingpanguazai/ssd/ssd1/www/wwww.yeyulingfeng.com/vendor/topthink/think-orm/src/db/Query.php ( 15.71 KB )
  118. /yingpanguazai/ssd/ssd1/www/wwww.yeyulingfeng.com/vendor/topthink/think-orm/src/db/BaseQuery.php ( 45.13 KB )
  119. /yingpanguazai/ssd/ssd1/www/wwww.yeyulingfeng.com/vendor/topthink/think-orm/src/db/concern/TimeFieldQuery.php ( 7.43 KB )
  120. /yingpanguazai/ssd/ssd1/www/wwww.yeyulingfeng.com/vendor/topthink/think-orm/src/db/concern/AggregateQuery.php ( 3.26 KB )
  121. /yingpanguazai/ssd/ssd1/www/wwww.yeyulingfeng.com/vendor/topthink/think-orm/src/db/concern/ModelRelationQuery.php ( 20.07 KB )
  122. /yingpanguazai/ssd/ssd1/www/wwww.yeyulingfeng.com/vendor/topthink/think-orm/src/db/concern/ParamsBind.php ( 3.66 KB )
  123. /yingpanguazai/ssd/ssd1/www/wwww.yeyulingfeng.com/vendor/topthink/think-orm/src/db/concern/ResultOperation.php ( 7.01 KB )
  124. /yingpanguazai/ssd/ssd1/www/wwww.yeyulingfeng.com/vendor/topthink/think-orm/src/db/concern/WhereQuery.php ( 19.37 KB )
  125. /yingpanguazai/ssd/ssd1/www/wwww.yeyulingfeng.com/vendor/topthink/think-orm/src/db/concern/JoinAndViewQuery.php ( 7.11 KB )
  126. /yingpanguazai/ssd/ssd1/www/wwww.yeyulingfeng.com/vendor/topthink/think-orm/src/db/concern/TableFieldInfo.php ( 2.63 KB )
  127. /yingpanguazai/ssd/ssd1/www/wwww.yeyulingfeng.com/vendor/topthink/think-orm/src/db/concern/Transaction.php ( 2.77 KB )
  128. /yingpanguazai/ssd/ssd1/www/wwww.yeyulingfeng.com/vendor/topthink/framework/src/think/log/driver/File.php ( 5.96 KB )
  129. /yingpanguazai/ssd/ssd1/www/wwww.yeyulingfeng.com/vendor/topthink/framework/src/think/contract/LogHandlerInterface.php ( 0.86 KB )
  130. /yingpanguazai/ssd/ssd1/www/wwww.yeyulingfeng.com/vendor/topthink/framework/src/think/log/Channel.php ( 3.89 KB )
  131. /yingpanguazai/ssd/ssd1/www/wwww.yeyulingfeng.com/vendor/topthink/framework/src/think/event/LogRecord.php ( 1.02 KB )
  132. /yingpanguazai/ssd/ssd1/www/wwww.yeyulingfeng.com/vendor/topthink/think-helper/src/Collection.php ( 16.47 KB )
  133. /yingpanguazai/ssd/ssd1/www/wwww.yeyulingfeng.com/vendor/topthink/framework/src/think/facade/View.php ( 1.70 KB )
  134. /yingpanguazai/ssd/ssd1/www/wwww.yeyulingfeng.com/vendor/topthink/framework/src/think/View.php ( 4.39 KB )
  135. /yingpanguazai/ssd/ssd1/www/wwww.yeyulingfeng.com/vendor/topthink/framework/src/think/Response.php ( 8.81 KB )
  136. /yingpanguazai/ssd/ssd1/www/wwww.yeyulingfeng.com/vendor/topthink/framework/src/think/response/View.php ( 3.29 KB )
  137. /yingpanguazai/ssd/ssd1/www/wwww.yeyulingfeng.com/vendor/topthink/framework/src/think/Cookie.php ( 6.06 KB )
  138. /yingpanguazai/ssd/ssd1/www/wwww.yeyulingfeng.com/vendor/topthink/think-view/src/Think.php ( 8.38 KB )
  139. /yingpanguazai/ssd/ssd1/www/wwww.yeyulingfeng.com/vendor/topthink/framework/src/think/contract/TemplateHandlerInterface.php ( 1.60 KB )
  140. /yingpanguazai/ssd/ssd1/www/wwww.yeyulingfeng.com/vendor/topthink/think-template/src/Template.php ( 46.61 KB )
  141. /yingpanguazai/ssd/ssd1/www/wwww.yeyulingfeng.com/vendor/topthink/think-template/src/template/driver/File.php ( 2.41 KB )
  142. /yingpanguazai/ssd/ssd1/www/wwww.yeyulingfeng.com/vendor/topthink/think-template/src/template/contract/DriverInterface.php ( 0.86 KB )
  143. /yingpanguazai/ssd/ssd1/www/wwww.yeyulingfeng.com/runtime/temp/10a0c909b6afa23b5a52a2e2d58c3c0f.php ( 21.72 KB )
  144. /yingpanguazai/ssd/ssd1/www/wwww.yeyulingfeng.com/vendor/topthink/think-trace/src/Html.php ( 4.42 KB )
  1. CONNECT:[ UseTime:0.000865s ] mysql:host=127.0.0.1;port=3306;dbname=wenku;charset=utf8mb4
  2. SHOW FULL COLUMNS FROM `fenlei` [ RunTime:0.001406s ]
  3. SELECT * FROM `fenlei` WHERE `fid` = 0 [ RunTime:0.001769s ]
  4. SELECT * FROM `fenlei` WHERE `fid` = 63 [ RunTime:0.003131s ]
  5. SHOW FULL COLUMNS FROM `set` [ RunTime:0.001465s ]
  6. SELECT * FROM `set` [ RunTime:0.000805s ]
  7. SHOW FULL COLUMNS FROM `wendang` [ RunTime:0.001577s ]
  8. SELECT * FROM `wendang` WHERE `id` = 335337 LIMIT 1 [ RunTime:0.006638s ]
  9. UPDATE `wendang` SET `liulancishu` = 1 WHERE `id` = 335337 [ RunTime:0.005437s ]
  10. UPDATE `wendang` SET `lasttime` = 1772570120 WHERE `id` = 335337 [ RunTime:0.001260s ]
  11. SELECT * FROM `wendang` WHERE `id` < 335337 ORDER BY `id` DESC LIMIT 1 [ RunTime:0.003154s ]
  12. SELECT * FROM `wendang` WHERE `id` > 335337 ORDER BY `id` ASC LIMIT 1 [ RunTime:0.001185s ]
  13. SELECT * FROM `wendang` WHERE `id` <> 335337 ORDER BY `id` DESC LIMIT 10 [ RunTime:0.009683s ]
  14. SELECT * FROM `wendang` WHERE `id` <> 335337 ORDER BY `id` DESC LIMIT 10,10 [ RunTime:0.020536s ]
  15. SELECT * FROM `wendang` WHERE `id` <> 335337 ORDER BY `id` DESC LIMIT 20,10 [ RunTime:0.030659s ]
0.253989s