当前位置:首页>文档>2015年高考化学试卷(浙江)6月(空白卷)_历年高考真题合集_化学历年高考真题_新·Word版2008-2025·高考化学真题_化学(按年份分类)2008-2025_2015·高考化学真题

2015年高考化学试卷(浙江)6月(空白卷)_历年高考真题合集_化学历年高考真题_新·Word版2008-2025·高考化学真题_化学(按年份分类)2008-2025_2015·高考化学真题

  • 2026-04-12 07:58:05 2026-01-26 22:34:46

文档预览

2015年高考化学试卷(浙江)6月(空白卷)_历年高考真题合集_化学历年高考真题_新·Word版2008-2025·高考化学真题_化学(按年份分类)2008-2025_2015·高考化学真题
2015年高考化学试卷(浙江)6月(空白卷)_历年高考真题合集_化学历年高考真题_新·Word版2008-2025·高考化学真题_化学(按年份分类)2008-2025_2015·高考化学真题
2015年高考化学试卷(浙江)6月(空白卷)_历年高考真题合集_化学历年高考真题_新·Word版2008-2025·高考化学真题_化学(按年份分类)2008-2025_2015·高考化学真题
2015年高考化学试卷(浙江)6月(空白卷)_历年高考真题合集_化学历年高考真题_新·Word版2008-2025·高考化学真题_化学(按年份分类)2008-2025_2015·高考化学真题
2015年高考化学试卷(浙江)6月(空白卷)_历年高考真题合集_化学历年高考真题_新·Word版2008-2025·高考化学真题_化学(按年份分类)2008-2025_2015·高考化学真题
2015年高考化学试卷(浙江)6月(空白卷)_历年高考真题合集_化学历年高考真题_新·Word版2008-2025·高考化学真题_化学(按年份分类)2008-2025_2015·高考化学真题
2015年高考化学试卷(浙江)6月(空白卷)_历年高考真题合集_化学历年高考真题_新·Word版2008-2025·高考化学真题_化学(按年份分类)2008-2025_2015·高考化学真题
2015年高考化学试卷(浙江)6月(空白卷)_历年高考真题合集_化学历年高考真题_新·Word版2008-2025·高考化学真题_化学(按年份分类)2008-2025_2015·高考化学真题
2015年高考化学试卷(浙江)6月(空白卷)_历年高考真题合集_化学历年高考真题_新·Word版2008-2025·高考化学真题_化学(按年份分类)2008-2025_2015·高考化学真题
2015年高考化学试卷(浙江)6月(空白卷)_历年高考真题合集_化学历年高考真题_新·Word版2008-2025·高考化学真题_化学(按年份分类)2008-2025_2015·高考化学真题

文档信息

文档格式
doc
文档大小
0.208 MB
文档页数
6 页
上传时间
2026-01-26 22:34:46

文档内容

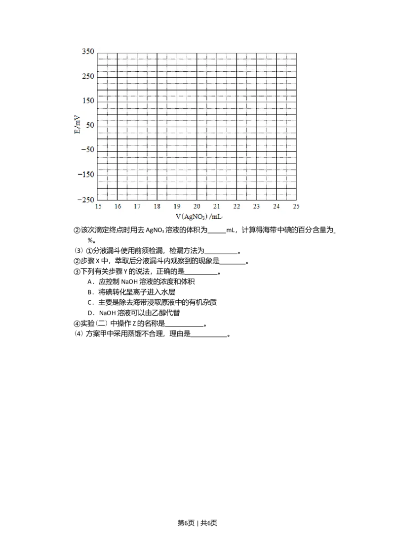
2015 年普通高等学校招生全国统一考试 浙江卷·理科综合·化学部分 7.下列说法不正确的是 A.液晶态介于晶体状态和液态之间,液晶具有一定程度的晶体的有序性和液体的流 动性 B.常压下,0℃时冰的密度比水的密度小,水在4℃时密度最大,这些都与分子间的 氢键有关 C.石油裂解、煤的干馏、玉米制醇、蛋白质的变性和纳米银粒子的聚集都是化学变化 D.燃料的脱硫脱氮、SO 的回收利用和NO 的催化转化都是减少酸雨产生的措施 2 x 8.下列说法正确的是 A.为测定新制氯水的pH,用玻璃棒蘸取液体滴在pH试纸上,与标准比色卡对照即可 B.做蒸馏实验时,在蒸馏烧瓶中应加入沸石,以防暴沸。如果在沸腾前发现忘记加沸 石,应立即停止加热,冷却后补加 C.在未知溶液中滴加BaCl 溶液出现白色沉淀,加稀硝酸,沉淀不溶解,说明该未知 2 溶液中存在SO或SO D.提纯混有少量硝酸钾的氯化钠,应采用在较高温度下制得浓溶液再冷却结晶、过 滤、干燥的方法 9.右下表为元素周期表的一部分,其中X、Y、Z、W为短周期元素,W元素的核电荷数为 X元素的2倍。下列说法正确的是 X A.X、W、Z元素的原子半径及它们的气态氢化物的热稳定性均依次 Y Z W 递增 T B.Y、Z、W元素在自然界中均不能以游离态存在,它们的最高价氧 第9题表 化物的水化物的酸性依次递增 C.YX 晶体熔化、液态WX 气化均需克服分子间作用力 2 3 D.根据元素周期律,可以推测T元素的单质具有半导体特性,T X 具有氧化性和还原 2 3 性 10.下列说法不正确的是 A.己烷有4种同分异构体,它们的熔点、沸点各不相同 B.在一定条件下,苯与液溴、硝酸、硫酸作用生成溴苯、硝基苯、苯磺酸的反应都属 于取代反应 C.油脂皂化反应得到高级脂肪酸盐与甘油 D.聚合物(—)可由单体CH CH=CH 和CH =CH 加聚制得 3 2 2 2 11.在固态金属氧化物电解池中,高温共电解 H O-CO 混合气体制备 H 和 CO 是一种新的能 2 2 2 源利用方式,基本原理如图所示。下列说法不 正确的是 A.X是电源的负极 B.阴极的反应式是:H O+2eˉ=H +O2ˉ 2 2 CO +2eˉ=CO+O2ˉ 2 第1页 | 共6页C.总反应可表示为:H O+CO H +CO+O 2 2= 2 2 D.阴、阳两极生成的气体的物质的量之比是1︰1 12.40℃时,在氨-水体系中不断通入CO ,各种离子的变化趋势如下图所示。下列说法不 2 正确的是 A.在pH=9.0时,c(NH+)>c(HCOˉ)>c(NH COOˉ)>c(CO) 2 B.不同pH的溶液中存在关系: c(NH+)+c(H+)=2c(CO)+c(HCOˉ)+c(NH COOˉ)+c(OHˉ) 2 C.随着CO 的通入,不断增大 2 D.在溶液中pH不断降低的过程中,有含NH COOˉ的中间产物生成 2 13.某同学采用硫铁矿焙烧取硫后的烧渣(主要成分为Fe O 、SiO 、Al O ,不考虑其他杂 2 3 2 2 3 质) 制取七水合硫酸亚铁(FeSO ·7H O) ,设计了如下流程: 4 2 固体1 足量酸 NaOH溶液 烧渣 固体2 试剂X 控制pH 溶液1 溶液2 FeSO ·7H O 4 2 下列说法不正确的是 A.溶解烧渣选用足量硫酸,试剂X选用铁粉 B.固体1中一定含有SiO ,控制pH是为了使Al3+转化为Al(OH) ,进入固体2 2 3 C.从溶液2得到FeSO ·7H O产品的过程中,须控制条件防止其氧化和分解 4 2 D.若改变方案,在溶液1中直接加NaOH至过量,得到的沉淀用硫酸溶解,其溶液经 结晶分离也可得到FeSO ·7H O 4 2 第2页 | 共6页26.(10分)化合物X是一种香料,可采用乙烯与甲苯为主要原料,按下列路线合成: 已知:RXROH;RCHO+CH COOR-RCH=CHCOOR’ 3 请回答: (1) E中官能团的名称是 。(2) B+D→F的化学方程式 。 (3) X的结构简式 。 (4) 对于化合物X,下列说法正确的是 。 A.能发生水解反应 B.不与浓硝酸发生取代反应 C.能使Br /CCl 溶液褪色 D.能发生银镜反应 2 4 (5) 下列化合物中属于F的同分异构体的是 。 A. B. C. D. 27.Ⅰ.(6分) 请回答: (1) H O 的电子式___________。 2 2 (2) 镁燃烧不能用CO 灭火,用化学方程式表示其理由________________。 2 (3) 在AgCl沉淀中加入KBr溶液,白色沉淀转化为淡黄色沉淀,写出反应的离子方程 式_____________。 (4) 完成以下氧化还原反应的离子方程式: ( )MnO+( )C O+______=( )Mn2++( )CO ↑+________ 2 2 Ⅱ.(12分) 化合物甲和NaAlH 都是重要的还原剂。一定条件下金属钠和H 反应生成甲。 4 2 甲与水反应可产生H ,甲与AlCl 反应可得到NaAlH 。将4.80g甲加热至完全分解,得 2 3 4 到金属钠和2.24 L(已折算成标准状况) 的H 。 2 请推测并回答: 第3页 | 共6页(1) 甲的化学式__________。 (2) 甲与AlCl 反应得到NaAlH 的化学方程式__________。 3 4 (3) NaAlH 与水发生氧化还原反应的化学方程式__________。 4 (4) 甲在无水条件下可作为某些钢铁制品的脱锈剂(铁锈的成分表示为Fe O ) 脱锈过程 2 3 发生的化学方程式___________。 (5) 某同学认为:用惰性气体赶尽反应体系中的空气,将铁和盐酸反应后的气体经浓 硫酸干燥,再与金属钠反应,得到固体物质即为纯净的甲;取该固体物质与水反 应,若能产生H ,即可证明得到的甲一定是纯净的。 2 判断该同学设想的制备和验纯方法的合理性并说明理由___________。 28.(15分)乙苯催化脱氢制苯乙烯反应: (1)已知: 化学键 C-H C-C C=C H-H 键能/kJ·molˉ1 412 348 612 436 计算上述反应的△H=________ kJ·mol-1。 (2)维持体系总压强p恒定,在温度T时,物质的量为n、体积为V的乙苯蒸汽发生 催化脱氢反应。已知乙苯的平衡转化率为α,则在该温度下反应的平衡常数K= ____________(用α等符号表示)。 (3)工业上,通常在乙苯蒸汽中掺混水蒸气(原料气中乙苯和水蒸气的物质的量之比 为1︰9),控制反应温度600℃,并保持体系总压为常压的条件下进行反应。在 不同反应温度下,乙苯的平衡转化率和某催化剂作用下苯乙烯的选择性(指除了 H 以外的产物中苯乙烯的物质的量分数)示意图如下: 2 ①掺入水蒸气能提高乙苯的平衡转化率,解释说明该事实___________。 ②控制反应温度为600℃的理由是____________。 (3)某研究机构用CO 代替水蒸气开发了绿色化学合成工艺----乙苯-二氧化碳耦合催 2 化脱氢制苯乙烯。保持常压和原料气比例不变,与掺水蒸汽工艺相比,在相同的 第4页 | 共6页生产效率下,可降低操作温度;该工艺中还能够发生反应:CO +H =CO+H O, 2 2 2 CO +C=2CO。新工艺的特点有_________(填编号)。 2 ①CO 与H 反应,使乙苯脱氢反应的化学平衡右移 2 2 ②不用高温水蒸气,可降低能量消耗 ③有利于减少积炭 ④有利用CO 资源利用 2 29.(15分)某学习小组按如下实验流程探究海带中碘含量的测定和碘的制取。 实验(一) 碘含量的测定 取0.0100 mol·Lˉ1的AgNO 标准溶液装入滴定管,取100.00 mL海带浸取原液至滴定池, 3 用电势滴定法测定碘含量。测的的电动势(E) 反映溶液中c(Iˉ)的变化,部分数据如下 表: V(AgNO )/mL 15.00 19.00 19.80 19.98 20.00 20.02 21.00 23.00 25.00 3 E/mV -225 -200 -150 -100 50.0 175 275 300 325 实验(二) 碘的制取 另制海带浸取原液,甲、乙两种实验方案如下: 已知:3I +6NaOH=5NaI+NaIO +3H O 2 3 2 请回答: (1) 实验(一) 中的仪器名称:仪器A , 仪器 B 。 (2) ①根据表中数据绘制滴定曲线: 第5页 | 共6页②该次滴定终点时用去AgNO 溶液的体积为 mL,计算得海带中碘的百分含量为 3 %。 (3) ①分液漏斗使用前须检漏,检漏方法为 。 ②步骤X中,萃取后分液漏斗内观察到的现象是 。 ③下列有关步骤Y的说法,正确的是 。 A.应控制NaOH溶液的浓度和体积 B.将碘转化呈离子进入水层 C.主要是除去海带浸取原液中的有机杂质 D.NaOH溶液可以由乙醇代替 ④实验(二) 中操作Z的名称是 。 (4) 方案甲中采用蒸馏不合理,理由是 。 第6页 | 共6页