当前位置:首页>文档>专题11东方智慧:新中国外交的砥砺前行(测试)(原卷版)_02中考总复习(2026版更新中)_06-历史-中考总复习_2025年中考复习资料_2025中考二轮课件ppt+讲义+练习历史_测试

专题11东方智慧:新中国外交的砥砺前行(测试)(原卷版)_02中考总复习(2026版更新中)_06-历史-中考总复习_2025年中考复习资料_2025中考二轮课件ppt+讲义+练习历史_测试

  • 2026-03-22 01:10:41 2026-03-06 10:12:26

文档预览

专题11东方智慧:新中国外交的砥砺前行(测试)(原卷版)_02中考总复习(2026版更新中)_06-历史-中考总复习_2025年中考复习资料_2025中考二轮课件ppt+讲义+练习历史_测试
专题11东方智慧:新中国外交的砥砺前行(测试)(原卷版)_02中考总复习(2026版更新中)_06-历史-中考总复习_2025年中考复习资料_2025中考二轮课件ppt+讲义+练习历史_测试
专题11东方智慧:新中国外交的砥砺前行(测试)(原卷版)_02中考总复习(2026版更新中)_06-历史-中考总复习_2025年中考复习资料_2025中考二轮课件ppt+讲义+练习历史_测试
专题11东方智慧:新中国外交的砥砺前行(测试)(原卷版)_02中考总复习(2026版更新中)_06-历史-中考总复习_2025年中考复习资料_2025中考二轮课件ppt+讲义+练习历史_测试
专题11东方智慧:新中国外交的砥砺前行(测试)(原卷版)_02中考总复习(2026版更新中)_06-历史-中考总复习_2025年中考复习资料_2025中考二轮课件ppt+讲义+练习历史_测试
专题11东方智慧:新中国外交的砥砺前行(测试)(原卷版)_02中考总复习(2026版更新中)_06-历史-中考总复习_2025年中考复习资料_2025中考二轮课件ppt+讲义+练习历史_测试
专题11东方智慧:新中国外交的砥砺前行(测试)(原卷版)_02中考总复习(2026版更新中)_06-历史-中考总复习_2025年中考复习资料_2025中考二轮课件ppt+讲义+练习历史_测试
专题11东方智慧:新中国外交的砥砺前行(测试)(原卷版)_02中考总复习(2026版更新中)_06-历史-中考总复习_2025年中考复习资料_2025中考二轮课件ppt+讲义+练习历史_测试
专题11东方智慧:新中国外交的砥砺前行(测试)(原卷版)_02中考总复习(2026版更新中)_06-历史-中考总复习_2025年中考复习资料_2025中考二轮课件ppt+讲义+练习历史_测试

文档信息

文档格式
docx
文档大小
2.971 MB
文档页数
9 页
上传时间
2026-03-06 10:12:26

文档内容

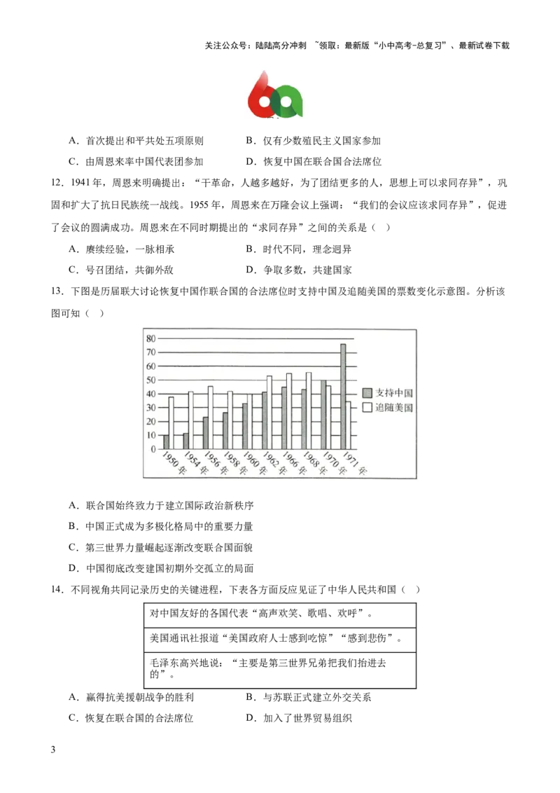
关注公众号:陆陆高分冲刺 ~领取:最新版“小中高考-总复习”、最新试卷下载 专题 11 东方智慧:新中国外交的砥砺前行 (试题分值:100分 测试时间:45分钟) 一、选择题(本题包括25小题,每小题2分,共50分.每小题只有一个正确答案) 1.1949年,周恩来在外交部成立大会的致辞中说:“中国一百年来的外交是一部屈厚的外交史,我 们……要有独立的精神,要争取主动。”据此,新中国采取的外交政策是( ) A.大国外交政策 B.不结盟政策 C.全方位外交政策 D.独立自主的和平外交政策 2.下表是2024年5月24日人民网发表的题为《走过70年……历久弥坚》的文章摘要。据此判断,文章 纪念的历史事件是( ) ◎从亚洲走向世界,超越社会制度、意识形态、发展水平差异 ◎得到国际社会广泛接受和认同 ◎成为现代国际关系基本准则和国际法基本原则 ◎是化解国际难题的良方 A.独立自主的和平外交政策的确立 B.和平共处五项原则的发表 C.“求同存异”方针的提出 D.中国在联合国的合法席位的恢复 3.改革开放以来,中国继续奉行独立自主的和平外交政策,积极发展全球伙伴关系,全面推进中国特色 大国外交,体现在( ) A.参加万隆会议,加强与亚非国家的团结合作 B.建立社会主义市场经济体制 C.恢复在联合国的合法席位,中美、中日建交 D.推动构建人类命运共同体 4.下图反映了中美关系的发展历程。图中变化态势表明了( ) 图 1950—2005年中美关系 A.中美双方一直坚持合作共赢外交方针 B.我国改变了独立自主的和平外交政策 1关注公众号:陆陆高分冲刺 ~领取:最新版“小中高考-总复习”、最新试卷下载 C.中美始终保持对抗 D.中美关系复杂多变 5.这些原则超越了冷战时期以意识形态划线的思维模式,“不仅适用于处理与印度、缅甸、印尼等民族 主义国家的关系,适用于处理与苏联、东欧社会主义国家的关系,而且还适用于处理与西方资本主义国家 的关系”。材料反映出( ) A.中国实现多边外交政策 B.“求同存异”被各国普遍接受 C.中美关系逐渐走向缓和 D.和平共处五项原则具有包容性 6.进入新时代的今天,中国建交国总数从172个增加到181个,同世界各国和地区组织建立伙伴关系的数 量从41对增加到113对。20世纪50年代我国取得的外交成就有( ) ①和平共处五项原则的提出 ②恢复中国在联合国合法席位 ③万隆会议 ④日内瓦会议 A.①②③ B.②③④ C.①③④ D.①②④ 7.20世纪50年代,因出色的外交才能和政治家的风度,为新中国赢得了很高的国际声誉的政治外交家是 ( ) A.周恩来 B.朱德 C.乔冠华 D.邓小平 8.在某次会议上,周恩来既没有去刻意争取对共产主义的支持,也没有发表激烈反美、反西方的言论。 但他达到了此行的重要目的,使许多代表相信他是一个心怀善意、通情达理而真挚诚恳的人,并相当成功 地使人相信了新中国奉行和平的政策。这场会议是( ) A.雅尔塔会议 B.日内瓦会议 C.万隆会议 D.第26届联大 9.“君子和而不同”意思是“和谐而又不千篇一律,不同而又不互相冲突”。下列事件最符合这一理念 的是( ) A.“雄赳赳,气昂昂,跨过鸭绿江” B.中美正式签署《联合公报》 C.周恩来总理提出“求同存异”方针 D.新中国恢复联合国合法席位 10.某班级举行“我心目中的周恩来”演讲比赛,小明同学想以“周恩来‘求同存异’的外交智慧”为主 题参赛。以下可作为他演讲素材的是( ) A.担任黄埔军校政治部主任 B.领导南昌起义 C.促成西安事变的和平解决 D.参加万隆会议 11.设计下图所示的活动标示是为了纪念万隆会议60周年,标识以亚洲Asia和非洲Africa的首字母“aa” 组成“60”字样。这次会议( ) 2关注公众号:陆陆高分冲刺 ~领取:最新版“小中高考-总复习”、最新试卷下载 A.首次提出和平共处五项原则 B.仅有少数殖民主义国家参加 C.由周恩来率中国代表团参加 D.恢复中国在联合国合法席位 12.1941年,周恩来明确提出:“干革命,人越多越好,为了团结更多的人,思想上可以求同存异”,巩 固和扩大了抗日民族统一战线。1955年,周恩来在万隆会议上强调:“我们的会议应该求同存异”,促进 了会议的圆满成功。周恩来在不同时期提出的“求同存异”之间的关系是( ) A.赓续经验,一脉相承 B.时代不同,理念迥异 C.号召团结,共御外敌 D.争取多数,共建国家 13.下图是历届联大讨论恢复中国作联合国的合法席位时支持中国及追随美国的票数变化示意图。分析该 图可知( ) A.联合国始终致力于建立国际政治新秩序 B.中国正式成为多极化格局中的重要力量 C.第三世界力量崛起逐渐改变联合国面貌 D.中国彻底改变建国初期外交孤立的局面 14.不同视角共同记录历史的关键进程,下表各方面反应见证了中华人民共和国( ) 对中国友好的各国代表“高声欢笑、歌唱、欢呼”。 美国通讯社报道“美国政府人士感到吃惊”“感到悲伤”。 毛泽东高兴地说:“主要是第三世界兄弟把我们抬进去 的”。 A.赢得抗美援朝战争的胜利 B.与苏联正式建立外交关系 C.恢复在联合国的合法席位 D.加入了世界贸易组织 3关注公众号:陆陆高分冲刺 ~领取:最新版“小中高考-总复习”、最新试卷下载 15.据下图可知,1970—1979年出现了与中国建交的热潮。推动这一建交热潮出现的主要原因是( ) A.和平共处五项原则的提出 B.万隆会议的圆满成功 C.中国全方位外交战略的推行 D.中美关系走向正常化 16.《时代》周刊把1972年尼克松的中国之行称为“漫长而刺激的旅行”,而不称之为“访问”。其主要 原因是,尼克松来华前( ) A.中美长期处于对立状态 B.中国尚未恢复联合国合法席位 C.“文化大革命”刚刚开始 D.中国成功发射了东方红一号 17.2024年是中美建立外交关系45周年,同学们展开了相关研究性学习,并搜集到下面两个公报的节选。 据此推断,中美双方关系得以改善的根本原因是( ) (中美)双方同意,各国不论社会制度如何,都应根据 ……美利坚合众国承认中华人民共 尊重各国主权和领土完整、不相互侵犯、不干涉内政、平等 和国政府是中国的唯一合法政府……中华 互利、和平共处的五项原则来处理国与国之间的关系……双 人民共和国和美利坚合众国重申上海公报 方声明:中美两国关系走向正常化是符合所有国家利益的。 中双方一致同意的各项原则。 ——中美“上海公报” ——中美“建交公报” A.两国价值认同趋于一致 B.两国存在广泛的共同利益 C.美国改变霸权主义策略 D.中国外交政策的不断调整 18.下图是1970—1979年中苏贸易额度变化图。这一时期中苏贸易的复苏一定程度上得益于( ) A.中苏同盟关系的强化 B.中国国际影响力提升 C.中美两国的正式建交 D.全球经济联系的加强 19.1971年10月,日本再次伙同美国阻挠中国恢复在联合国的合法席位,结果失败。1972年中日邦交实 4关注公众号:陆陆高分冲刺 ~领取:最新版“小中高考-总复习”、最新试卷下载 现正常化,为中日友好交流拉开了新的序幕。日本对华政策迅速转变的历史背景是( ) A.和平共处五项原则的提出 B.万隆会议的召开 C.中国加入了世界贸易组织 D.尼克松访问中国 20.某中学历史研究性学习小组收集了一组建国后珍贵的历史图片,下列哪些图片反映的是20世纪70年 代的外交成就?( ) A.①② B.②③ C.①③ D.②④ 21.下列史实能反映中国外交形成全方位、多层次、立体化外交布局的有( ) ①截至2023年3月,中国已与世界上182个国家建交 ②中国参加了100多个政府间国际组织的工作 ③中国举办“一带一路”国际合作高峰论坛 ④提出和平共处五项原则,作为处理国与国之间关系的基本准则 A.①②③ B.①②④ C.①③④ D.②③④ 22.十八大以来,中国主办了“一带一路”国际合作高峰论坛、二十国集团领导人杭州峰会、亚太经合组 织领导人非正式会议、金砖国家领导人厦门会晤等主场外交,积极参与和引领全球治理进程,取得了丰硕 的成果。这表明我国( ) A.主动融入区域集团化潮流 B.积极参与全球治理进程 C.为大国外交贡献中国智慧 D.努力拓宽对外交往渠道 23.2024年3月28日,博鳌亚洲论坛在海南博鳌正式开幕,全国人大常委会委员长赵乐际在论坛开幕式 主旨演讲中提到:“人类生活在同一个地球村,世界各国同乘一条命运与共的大船。面对全球严峻复杂的 风险挑战,我们要坚定信心,推动构建①____,共创亚洲和世界更加美好的未来!”材料里的①最有可能 是( ) A.科学发展观 B.新发展理念 C.“人类命运共同体” D.“四个全面”战略布局 24.新时代以来,中国形成“两条腿一个圈”的大外交。其中“两条腿”包括了与美国、俄罗斯、印度等 国建立的新型大国关系,以及主要面向发展中国家的“一带一路”;“一个圈”则指的是针对亚洲邻国的 周边外交;三者互相交接、相辅相成。这反映了( ) A.中国奉行和平外交政策 B.中国综合国力提高 5关注公众号:陆陆高分冲刺 ~领取:最新版“小中高考-总复习”、最新试卷下载 C.中国推动构建人类命运共同体 D.中国全方位的外交格局 25.如是1993—2014年中国国家元首出访地区及次数分布图。由此可见,中国( ) A.外交实行不结盟政策 B.外交重点在东欧中亚 C.重视发展中国家合作 D.全方位外交成就显著 二、材料题(本题4小题,共50分) 26.外交,就是处理国与国之间各种关系的活动。阅读下列材料,回答问题。(12分) 材料一 经过细致的准备,顾维钧充满了自信和责任感,这是他第一次站在国际舞台上,代表拥有四 万万民众的中国,阐述自己的见解。他先阐述了山东问题的由来,随后满怀深情地说:“胶州和胶济铁路 所在地的山东省是中华文明的摇篮,孔子和孟子的诞生地,对中国人而言,这是一块圣地……为中国国防 利益而言,中国代表团不能答应任何外国拥有这段生死攸关的地段。” ——摘自邵勇、王海鹏《一本书读懂中国近代史》 (1)根据材料一并结合所学指出,顾维钧代表中国人民在此次会议上提出的合理诉求,得到了怎样的回 应?(2分)它所引发的事件对我国发展进程产生了怎样的影响?(2分) 材料二 新中国成立后,日本政府对新中国奉行孤立不承认、“两个中国”和“政经分离”政策,导 致从1949年至1972年23年间,两国政府间并无正式外交关系。尽管如此,两国在民间交往、经贸合作和 文化往来等领域取得了一定的成绩。1962年11月9日,签订了《中日长期综合贸易备忘录》。当年中日 贸易额就达到1.37亿美元。1972年9月,日本首相田中角荣访问中国,实现了中日关系正常化。1978年8 月,中日两国又签订了《中日和平友好条约》,从法律上结束了两国间的战争状态。 ——摘编自林代昭《中日关系史》 (2)根据材料二并结合所学知识,概括20世纪50年代到70年代中日两国关系的变化及其原因。(4分) 材料三 回顾70年峥嵘岁月,新中国外交在以下五个方面实现了历史性转变。一是时代主题上,从 “战争与革命”转变为“和平与发展”,超越意识形态发展国家间关系⋯⋯五是世界方位上,从一开始被 孤立封锁,到经济深度融入世界经济,自身成为国际秩序演变的关键因素,中国外交日益走近世界舞台中 6关注公众号:陆陆高分冲刺 ~领取:最新版“小中高考-总复习”、最新试卷下载 央。 ——摘编自郑立樵《新中国外交70年:成就与启示》 (3)依据材料三、概括新中国外交演变历程的特点。(2分)综上所述,谈谈你从中国近现代的外交变化 中得到的认识。(2分) 27.无论在硝烟弥漫的近代,还是在国际局势错综复杂的今日,外交是不可或缺的一部分。日新月异的世 界,需要凝聚共识的思想。阅读下列材料,回答问题。(16分) 材料一 材料二 材料三 新中国成立初期展开积极的外交活动,建国的第一年里就同苏联等多个国家建立了外交关系, 这样就打破了美国等西方国家对新中国的孤立封锁,为恢复经济建设创造了一个好的外部环境……20世纪 70年代,随着国际形势的变化,中国外交打开了新局面……进入新时代,中国特色大国外交全面推进,我 国举办了一系列重要的国际会议。 ——中国外交部《新中国外交的光辉历程》 (1)材料一中《南京条约》涉及割让哪一领土给英国?(1分)在哪一伟大构想的指引下,通过通用过的 外交谈判解决了历史遗留问题?(2分) (2)材料二中漫画与哪一战争有关?(1分)《辛丑条约》中哪一内容最能体现清王朝最终成了“洋人的 朝廷”?(2分)该条约对中国的社会性质有什么影响?(2分) (3)根据材料三指出“新中国成立初期”的外交活动产生的影响。(2分)请举一例说明20世纪70年代 中国外交打开了新局面。(2分)进入21世纪,哪一事件为我国参与经济全球化开辟新途径?(2分) 7关注公众号:陆陆高分冲刺 ~领取:最新版“小中高考-总复习”、最新试卷下载 (4)通过三则材料,从近代到现代,中国一系列外交活动或者政策的变化给你带来什么感想?(2分) 28.某中学历史兴趣小组同学正在开展专题探究活动,他们搜集到了以下材料。(8分) 材料一 1950年版护照(中俄文对照) 材料二 1975年版护照(中法英文对照) 材料三 1980年版(将1975年版的“本护照前往下列国家和地区有效”改为“本护照前往世界各国 有效”) (1)依据材料一并结合所学知识,说明1950年版护照为中俄文对照的原因。(2分) (2)依据材料二、三并结合所学知识,分别概括出20世纪70年代、20世纪80年代护照的新变化并说明 原因。(4分) (3)请你为这一探究活动拟一个恰当的主题。(2分) 29.外交是处理国与国之间关系的政治活动。外交活动,既要靠外交智慧,更要靠国家实力。阅读下列材 8关注公众号:陆陆高分冲刺 ~领取:最新版“小中高考-总复习”、最新试卷下载 料,回答问题。(14分) 材料一 第五十四条中华人民共和国外交政策的原则,为保障本国独立、自由和领土主权的完整,拥 护国际的持久和平和各国人民间的友好合作,反对帝国主义的侵略政策和战争政策。 ——《中国人民政治协商会议共同纲领》 (1)据材料一,指出新中国成立后奉行的外交政策。(2分)50年代周恩来在万隆会议上提出了什么方针? (2分) 材料二 (2)材料二中图1是哪项外交成就让乔冠华开怀大笑?(2分)图2反映的是中美两国外交上哪一重大历 史事件?(2分) 材料三 依靠综合国力和发展需要,中国成功地举办了多次国际盛会,如2008年在北京举行的第29 届夏季奥运会,2010年在上海举办的第41届世界博览会,2014年在浙江乌镇举办的世界互联网大会, 2022年在北京、张家口举办的第24届冬季奥运会等。一系列国际盛会的举办,向世界展现了一个自信、 开放、包容、友善的中国。 ——改编自范海龙《开放通商与对外开放的比较》 (3)据材料三回答“一系列国际盛会的举办”向世界展现了一个什么样的中国?(2分)结合所学知识, 指出中国特色大国外交形成了怎样的布局?(2分) (4)综上所述,谈谈影响国家外交政策的主要因素有哪些?(2分) 9