当前位置:首页>文档>专题08政道维新:新中国政治演进与国家统一(测试)(原卷版)_02中考总复习(2026版更新中)_06-历史-中考总复习_2025年中考复习资料_2025中考二轮课件ppt+讲义+练习历史_测试

专题08政道维新:新中国政治演进与国家统一(测试)(原卷版)_02中考总复习(2026版更新中)_06-历史-中考总复习_2025年中考复习资料_2025中考二轮课件ppt+讲义+练习历史_测试

  • 2026-03-15 03:17:54 2026-03-05 16:07:25

文档预览

专题08政道维新:新中国政治演进与国家统一(测试)(原卷版)_02中考总复习(2026版更新中)_06-历史-中考总复习_2025年中考复习资料_2025中考二轮课件ppt+讲义+练习历史_测试
专题08政道维新:新中国政治演进与国家统一(测试)(原卷版)_02中考总复习(2026版更新中)_06-历史-中考总复习_2025年中考复习资料_2025中考二轮课件ppt+讲义+练习历史_测试
专题08政道维新:新中国政治演进与国家统一(测试)(原卷版)_02中考总复习(2026版更新中)_06-历史-中考总复习_2025年中考复习资料_2025中考二轮课件ppt+讲义+练习历史_测试
专题08政道维新:新中国政治演进与国家统一(测试)(原卷版)_02中考总复习(2026版更新中)_06-历史-中考总复习_2025年中考复习资料_2025中考二轮课件ppt+讲义+练习历史_测试
专题08政道维新:新中国政治演进与国家统一(测试)(原卷版)_02中考总复习(2026版更新中)_06-历史-中考总复习_2025年中考复习资料_2025中考二轮课件ppt+讲义+练习历史_测试
专题08政道维新:新中国政治演进与国家统一(测试)(原卷版)_02中考总复习(2026版更新中)_06-历史-中考总复习_2025年中考复习资料_2025中考二轮课件ppt+讲义+练习历史_测试
专题08政道维新:新中国政治演进与国家统一(测试)(原卷版)_02中考总复习(2026版更新中)_06-历史-中考总复习_2025年中考复习资料_2025中考二轮课件ppt+讲义+练习历史_测试
专题08政道维新:新中国政治演进与国家统一(测试)(原卷版)_02中考总复习(2026版更新中)_06-历史-中考总复习_2025年中考复习资料_2025中考二轮课件ppt+讲义+练习历史_测试
专题08政道维新:新中国政治演进与国家统一(测试)(原卷版)_02中考总复习(2026版更新中)_06-历史-中考总复习_2025年中考复习资料_2025中考二轮课件ppt+讲义+练习历史_测试

文档信息

文档格式
docx
文档大小
2.705 MB
文档页数
9 页
上传时间
2026-03-05 16:07:25

文档内容

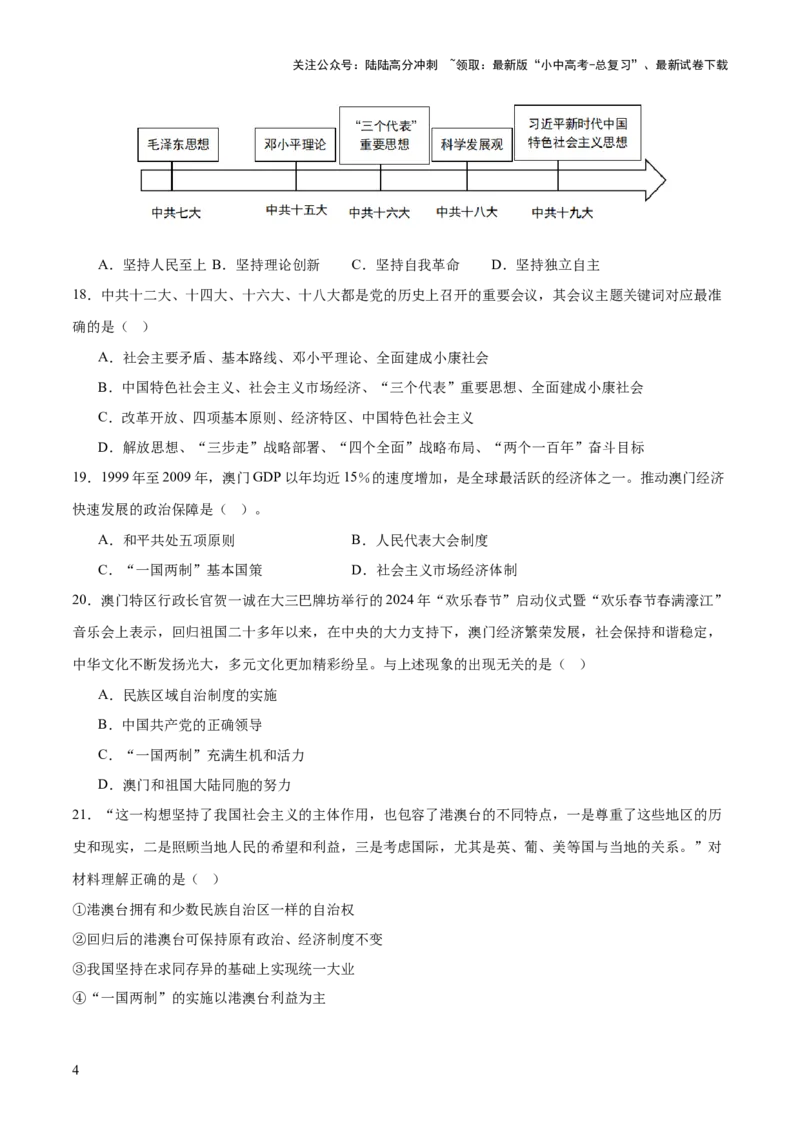
关注公众号:陆陆高分冲刺 ~领取:最新版“小中高考-总复习”、最新试卷下载 专题 08 政道维新:新中国政治演进与国家统一 (试题分值:100分 测试时间:45分钟) 一、选择题(本题包括25小题,每小题2分,共50分.每小题只有一个正确答案) 1.1949年10月2日,《人民日报》报道:“经历过无数次深重灾难的中华民族与中国人民将永远记得这 个珍贵的时刻:它宣布了旧中国完全死亡……中国人,将不再是屈辱的殖民地与殖民地奴隶的代名词。” 材料中的“珍贵的时刻”是指( ) A.辛亥革命 B.抗战胜利 C.开国大典 D.抗美援朝 2.1949年,毛泽东宣告:“我们的民族将再也不是一个被人侮辱的民族了,我们已经站起来了。”这里 的“站起来”意味着 ( ) A.祖国大陆实现了统一 B.彻底废除了我国存在两千多年的封建土地制度 C.建立起社会主义制度 D.推翻了三座大山,结束了半殖民地半封建社会 3.中国人民政治协商会议第一届全体会议召开前,周恩来等中共领导人要求接送在港民主人士,进入解 放区,从1948年8月到1949年8月,共安排秘密北上的民主人士20批,其中有119人参加了政协会议。 中共的这一举动主要是为了( ) A.团结民主人士筹建新中国 B.协商制定第一部社会主义性质宪法 C.恢复民主党派的各级组织 D.贯彻“长期共存,互相监督”方针 4.《中国人民政治协商会议共同纲领》规定:“中华人民共和国是新民主主义即人民民主主义国家”。 这一规定反映出当时( ) A.我国实行人民代表大会制度 B.中共领导的多党合作和政治协商制度的建立 C.会议的代表具有广泛性 D.共同纲领起临时宪法的作用 5.方寸间铭记历史。邮票《中国人民志愿军凯旋》《开国大典》《土地改革》《西藏和平解放》所展现 出的时代特征是( ) A.中华人民共和国的成立与巩固 B.社会主义制度的建立 C.社会主义建设在曲折中探索 D.中国特色社会主义道路的开辟 6.《浪淘沙·北戴河》是毛泽东主席于1954年创作的一首词。词中有“往事越千年,魏武挥鞭,东临碣石 有遗篇。萧瑟秋风今又是,换了人间。”一句,展示了无产阶级革命家的雄伟气魄和博大胸怀。其中“换 了人间”指的是在这一年中,我国社会发生了怎样的变化( ) A.中国共产党领导的多党合作和政治协商制度正式确立 1关注公众号:陆陆高分冲刺 ~领取:最新版“小中高考-总复习”、最新试卷下载 B.美国在停战协定上签字,我国取得抗美援朝战争最终胜利 C.第一个五年计划完成,我国开始改变工业落后的面貌,向社会主义工业化迈进 D.我国第一部社会主义类型的宪法开始实施 7.1954年9月,假如你是一名人民代表到北京参加一次全国性会议,将要经历的活动是( ) A.缅怀人民英雄革命先烈 B.见证《中华人民共和国宪法》诞生 C.选举中央人民政府主席 D.听取毛泽东作《论联合政府》报告 8.1953—1954年,全国有1.5亿余人参与了《中华人民共和国宪法(草案)》的讨论,提出了118万多 条修改、补充意见和问题,几乎涉及宪法草案每一项条款。这反映了《中华人民共和国宪法》( ) A.借鉴了苏联立法经验 B.具有广泛的群众基础 C.标志着社会主义时代到来 D.具有共产主义社会的性质 9.下图反映了西藏自治区成立后卫生教育事业发展所取得的成就,这些成就的取得主要得益于( ) A.民族区域自治制度建立和完善 B.人民代表大会制度的确立 C.实行特殊的经济管理政策 D.建立多党合作的政治协商制度 10.下图为史明辨同学制作的学习卡片,据此判断,他学习的主题是( ) 主题:________ ♦民族区域自治制 度 ♦西部大开发实行 ♦青藏铁路全线通 车 ♦…… A.祖国统一 B.国防建设 C.制度建设 D.民族团结 11.它在中共十九大上被确立为中国共产党必须长期坚持的指导思想。它是当代中国马克思主义、21世纪 马克思主义,是中华文化和中国精神的时代精华,实现了马克思主义中国化新的飞跃。“它”指的是( ) A.邓小平理论 B.“三个代表”重要思想 2关注公众号:陆陆高分冲刺 ~领取:最新版“小中高考-总复习”、最新试卷下载 C.科学发展观 D.习近平新时代中国特色社会主义思想 12.在新民主主义革命年代,以毛泽东为代表的中国共产党人探索了一条中国特色的革命道路;在社会主 义现代化建设时期,以邓小平为首的中国共产党人开创了中国特色的社会主义建设道路。二者的共同点是 ( ) A.以武装斗争为主线 B.实事求是,依据国情来选择道路 C.以经济建设为中心 D.百废待兴,建设社会主义共和国 13.下列三张纪念邮票以党代会为主题,其关键词表述最恰当的一组是( ) 中共“八大” 中共“十二大” 中共“十五大” A.经济建设国企改革一国两制 B.良好开端走自己的路邓小平理论 C.改革开放计划经济科学发展 D.多快好省中国特色 “三个代表” 14.首次提出建设中国特色社会主义道路的会议是( ) A.中共十一届三中全会 B.中共十二大 C.中共十五大 D.中共十九大 15.1989一1991年,中国GDP(国内生产总值)每年的增幅只有5%左右,而在1992年邓小平南方谈话 后,这个数字就增加到12.8%。此后,中国成为世界上经济增长快速的国家之一。这可说明( ) A.杰出人物决定历史发展的走向 B.思想解放推动社会进步 C.中国的发展离不开世界 D.科学技术是第一生产力 16.下图是某同学绘制的年代尺,请为他选择一个恰当的主题( ) A.社会主义建设在探索中曲折发展 B.中国特色社会主义理论体系的发展 C.社会主义市场经济体制确立历程 D.邓小平理论随着社会发展不断成熟 17.从如图可以看出,中国共产党百年奋斗的历史经验之一是( ) 3关注公众号:陆陆高分冲刺 ~领取:最新版“小中高考-总复习”、最新试卷下载 A.坚持人民至上 B.坚持理论创新 C.坚持自我革命 D.坚持独立自主 18.中共十二大、十四大、十六大、十八大都是党的历史上召开的重要会议,其会议主题关键词对应最准 确的是( ) A.社会主要矛盾、基本路线、邓小平理论、全面建成小康社会 B.中国特色社会主义、社会主义市场经济、“三个代表”重要思想、全面建成小康社会 C.改革开放、四项基本原则、经济特区、中国特色社会主义 D.解放思想、“三步走”战略部署、“四个全面”战略布局、“两个一百年”奋斗目标 19.1999年至2009年,澳门GDP以年均近15%的速度增加,是全球最活跃的经济体之一。推动澳门经济 快速发展的政治保障是( )。 A.和平共处五项原则 B.人民代表大会制度 C.“一国两制”基本国策 D.社会主义市场经济体制 20.澳门特区行政长官贺一诚在大三巴牌坊举行的2024年“欢乐春节”启动仪式暨“欢乐春节春满濠江” 音乐会上表示,回归祖国二十多年以来,在中央的大力支持下,澳门经济繁荣发展,社会保持和谐稳定, 中华文化不断发扬光大,多元文化更加精彩纷呈。与上述现象的出现无关的是( ) A.民族区域自治制度的实施 B.中国共产党的正确领导 C.“一国两制”充满生机和活力 D.澳门和祖国大陆同胞的努力 21.“这一构想坚持了我国社会主义的主体作用,也包容了港澳台的不同特点,一是尊重了这些地区的历 史和现实,二是照顾当地人民的希望和利益,三是考虑国际,尤其是英、葡、美等国与当地的关系。”对 材料理解正确的是( ) ①港澳台拥有和少数民族自治区一样的自治权 ②回归后的港澳台可保持原有政治、经济制度不变 ③我国坚持在求同存异的基础上实现统一大业 ④“一国两制”的实施以港澳台利益为主 4关注公众号:陆陆高分冲刺 ~领取:最新版“小中高考-总复习”、最新试卷下载 A.①② B.①③ C.②③ D.③④ 22.下图为“粤港澳大湾区示意图”,粤港澳大湾区建设,是以习近平同志为核心的党中央作出的重大决 策,是推动“一国两制”事业发展的新实践。包括香港①、澳门③和广州市、深圳市、珠海市②、佛山市、 惠州市、东莞市、中山市、江门市、肇庆市。下列选项中对下图解读正确的是( ) A.家庭联产承包责任制在①处最早进行 B.②城市属于中国第一批沿海开放城市 C.③是直辖于中央人民政府的特别行政区 D.③问题的解决为①问题的解决提供范例 23.2020年6月30日,全国人大常委会通过《中华人民共和国香港特别行政区维护国家安全法》,这部 法律公布施行,对维护香港长治久安具有十分重要的意义。(中共十九届四中全会通过的决定指出): “一国两制”是党领导人民实现祖国和平统一的一项重要制度,是中国特色社会主义的一个伟大创举。必 须坚持“一国”是实行“两制”的前提和基础,“两制”从属和派生于“一国”并统一于“一国”之内。 从材料中,你得出的认识是( ) ①标志着中国人民洗雪了百年国耻,在完成祖国统一大业的道路上迈出了重要一步; ②“一国两制”的构想取得了举世公认的伟大成功; ③中央行使对特别行政区的全面管制权; ④为了祖国早日完全统一,台湾回归祖国怀抱,请党放心,强国有我。 A.①②③ B.②③④ C.①②③④ D.①③④ 24.二十大报告指出:“在此基础上,推进同台湾各党派……就两岸关系和国家统一开展广深入协商…… 推进祖国和平统一进程。”材料中的“基础”是( ) 5关注公众号:陆陆高分冲刺 ~领取:最新版“小中高考-总复习”、最新试卷下载 A.三民主义 B.“求同存异” C.“九二共识” D.和平共处五项原则 25.下面图片体现的共同内容是( ) A.多党合作和政治协商 B.“一国两制”伟大构想 C.民族区域自治制度 D.和平共处五项原则 二、材料题(本题4小题,共50分) 26.【中华人民共和国的成立和巩固】(10分) 材料一 报纸 社论摘要 前程无限光辉的中华人民共和国已经诞生,四万万七千五百万中国人民开始自 《人民日报》 (中国) 己当权管理国家,我们这个古老的东方民族揭开了历史的新的巨册 《人民论坛报》 (波 这在资本主义和帝国主义阵线上又打开了一个缺口;中国人民的胜利,乃是20 兰) 世纪继苏联十月革命和消灭希特勒法西斯主义之后的伟大事件 材料二 朝鲜人民军与志愿军战士从陡崖跳下 朝鲜开城老百姓慰问志愿军 彭德怀和部分指挥员在朝鲜成川 追击逃敌(1951)) (1952)) 郡桧仓(1951) (1)根据材料一并结合所学知识,从国内和国际两个角度简述新中国成立的历史意义。(4分) (2)根据材料二,分析抗美援朝取得胜利的原因。(4分) (3)综合上述材料,概括一个恰当的主题。(2分) 27.【马克思主义中国化】(10分) 材料一 在革命斗争中,以毛泽东同志为主要代表的中国共产党人,把马克思列宁主义基本原理同中 6关注公众号:陆陆高分冲刺 ~领取:最新版“小中高考-总复习”、最新试卷下载 国具体实际相结合,对经过艰苦探索、付出巨大牺牲积累的一系列独创性经验作了理论概括……创立了毛 泽东思想,为夺取新民主主义革命胜利指明了正确方向。毛泽东同志提出把马克思列宁主义基本原理同中 国具体实际进行“第二次结合”,以毛泽东同志为主要代表的中国共产党人,结合新的实际丰富和发展毛 泽东思想,提出关于社会主义建设的一系列重要思想……这些独创性理论成果至今仍有重要指导意义。 ——摘编自《中共中央关于党的百年奋斗重大成就和历史经验的决议》 材料二 在改革开放的伟大实践和接力探索中,中国共产党领导开辟了中国特色社会主义道路,逐渐 形成了邓小平理论、“三个代表”重要思想、科学发展观、习近平新时代中国特色社会主义思想。 ——摘编自《中国历史》(八年级,下册) (1)根据材料一并结合所学,从新民主主义革命(1919—1949)、社会主义建设(1956—1978)两个时 期中任选一个实例,简述毛泽东思想的独创性。(6分) (2)根据材料二并结合所学,简要评价中国特色社会主义理论体系。(4分) 28.阅读材料,综合运用所学知识探究问题。(14分) 材料一 三年以前我们曾和蒋介石一道开过一次政治协商会议。那次会议的结果是被蒋介石国民党及 其帮凶们破坏了,但是已在人民中留下了不可磨灭的印象。那次会议证明,和蒋介石国民党及其帮凶们一 道,是不能解决任何有利于人民的任务的。……现在的中国人民政治协商会议是在完全新的基础之上召开 的,它具有代表全国人民的性质,它获得全国人民的信任和拥护。……我们团结起来,以人民解放战争和 人民大革命打倒了内外压迫者,宣布中华人民共和国成立了……我们的民族将再也不是一个被人侮辱的民 族了,我们已经站起来了。我们的革命已经获得了全世界广大人民的同情和欢呼,我们的朋友遍布全世界。 ——摘编自毛泽东在中国人民政治协商会议第一届全体会议上的开幕词 (1)据材料一,指出旧的政治协商会议“不能解决任何有利于人民的任务”的主要阻力。(2分)并结合 所学知识,指出第一届中国人民政治协商会议召开的历史作用。(2分) 材料二 新中国成立初期,中国人民政治协商会议全体会议暂时代行全国人民代表大会的职权,《中 国人民政治协商会议共同纲领》起着临时宪法的作用。这种政治体制是与开国之初的状况相适应的,…… 但它毕竟带有临时性和过渡性。随着国内政治局势的稳定和国民经济的恢复,以及人民组织程度和觉悟程 度的提高,召开全国人民代表大会和制定中华人民共和国宪法的议题,开始列入中共中央的议事日程。 ……在人口普查的基础上进行了选民登记工作,随后在全国基层单位进行了选举。到1954年6月至8月间, 全国各地又先后选举产生了省、直辖市和自治区人民代表大会代表和全国人民代表大会代表。……普选制 的实行,使中国人民第一次自主行使神圣的民主权利。普选的成功,为召开全国人民代表大会创造了十分 有利的条件。 ——摘编自团结报《第一届全国人大一次会议的历史回顾》 7关注公众号:陆陆高分冲刺 ~领取:最新版“小中高考-总复习”、最新试卷下载 (2)据材料二,概括召开第一届全国人民代表大会的有利条件。(4分)并结合所学知识,指出这次会议 的主要成就。(4分) (3)综合上述材料和问题,归纳中国共产党坚持和完善民主政治的主要任务。(2分) 29.民族团结、祖国统一、是我国各族人民的共同愿望。阅读材料,回答问题。(16分) 材料一 中华人民共和国各民族一律平等。国家保障各少数民族的合法权利和利益,维护和发展各民 族的平等、团结、互助关系。 ——《中华人民共和国宪法》 (1)我国在少数民族地区实施的基本政策是什么?(2分)新中国成立后,采取了哪些措施促进少数民族 地区繁荣发展?(2分) 材料二 (2)香港是何时回归祖国的?(1分)今年(2025年)是澳门回归祖国多少周年?(1分)港澳回归祖国 有何历史意义?(2分) 材料三 1949年以来,中国共产党、中国政府、中国人民始终把解决台湾问题、实现祖国完全统一 作为矢志不渝的历史任务。我们团结台湾同胞,推动台海形势从紧张对峙走向缓和改善、进而走上和平发 展道路,两岸关系不断取得突破性进展。 ——习近平在《告台湾同胞书》发表40周年纪念会上的讲话 (3)结合海峡两岸交往的史实,填写下表。(4分) 时间 交往史实 对两岸关系的影响 1987年 台湾当局调整“____”政策 隔绝状态被打破,两岸关系发生了历史性的变化 海基会和海协会达成 1992年 两岸关系的发展迈出了历史性的重要一步 “____” 2005年 胡锦涛会见____ 促进了两岸关系的新发展 ____年 习近平与马英九会面 翻开了两岸关系历史性的一页 (4)综上可知,实现祖国统一是必然趋势,请你分析实现海峡两岸统一的有利因素。(4分) 8关注公众号:陆陆高分冲刺 ~领取:最新版“小中高考-总复习”、最新试卷下载 9