当前位置:首页>文档>2021年全国统一高考化学试卷(新课标Ⅲ)(解析版)_全国卷+地方卷_5.化学_1.化学高考真题试卷_2008-2020年_全国卷_全国统一高考化学(新课标ⅲ)2016-2021_A4word版_PDF版赠送)

2021年全国统一高考化学试卷(新课标Ⅲ)(解析版)_全国卷+地方卷_5.化学_1.化学高考真题试卷_2008-2020年_全国卷_全国统一高考化学(新课标ⅲ)2016-2021_A4word版_PDF版赠送)

  • 2026-03-23 00:21:09 2026-03-06 15:45:32

文档预览

2021年全国统一高考化学试卷(新课标Ⅲ)(解析版)_全国卷+地方卷_5.化学_1.化学高考真题试卷_2008-2020年_全国卷_全国统一高考化学(新课标ⅲ)2016-2021_A4word版_PDF版赠送)
2021年全国统一高考化学试卷(新课标Ⅲ)(解析版)_全国卷+地方卷_5.化学_1.化学高考真题试卷_2008-2020年_全国卷_全国统一高考化学(新课标ⅲ)2016-2021_A4word版_PDF版赠送)
2021年全国统一高考化学试卷(新课标Ⅲ)(解析版)_全国卷+地方卷_5.化学_1.化学高考真题试卷_2008-2020年_全国卷_全国统一高考化学(新课标ⅲ)2016-2021_A4word版_PDF版赠送)
2021年全国统一高考化学试卷(新课标Ⅲ)(解析版)_全国卷+地方卷_5.化学_1.化学高考真题试卷_2008-2020年_全国卷_全国统一高考化学(新课标ⅲ)2016-2021_A4word版_PDF版赠送)
2021年全国统一高考化学试卷(新课标Ⅲ)(解析版)_全国卷+地方卷_5.化学_1.化学高考真题试卷_2008-2020年_全国卷_全国统一高考化学(新课标ⅲ)2016-2021_A4word版_PDF版赠送)
2021年全国统一高考化学试卷(新课标Ⅲ)(解析版)_全国卷+地方卷_5.化学_1.化学高考真题试卷_2008-2020年_全国卷_全国统一高考化学(新课标ⅲ)2016-2021_A4word版_PDF版赠送)
2021年全国统一高考化学试卷(新课标Ⅲ)(解析版)_全国卷+地方卷_5.化学_1.化学高考真题试卷_2008-2020年_全国卷_全国统一高考化学(新课标ⅲ)2016-2021_A4word版_PDF版赠送)
2021年全国统一高考化学试卷(新课标Ⅲ)(解析版)_全国卷+地方卷_5.化学_1.化学高考真题试卷_2008-2020年_全国卷_全国统一高考化学(新课标ⅲ)2016-2021_A4word版_PDF版赠送)
2021年全国统一高考化学试卷(新课标Ⅲ)(解析版)_全国卷+地方卷_5.化学_1.化学高考真题试卷_2008-2020年_全国卷_全国统一高考化学(新课标ⅲ)2016-2021_A4word版_PDF版赠送)
2021年全国统一高考化学试卷(新课标Ⅲ)(解析版)_全国卷+地方卷_5.化学_1.化学高考真题试卷_2008-2020年_全国卷_全国统一高考化学(新课标ⅲ)2016-2021_A4word版_PDF版赠送)
2021年全国统一高考化学试卷(新课标Ⅲ)(解析版)_全国卷+地方卷_5.化学_1.化学高考真题试卷_2008-2020年_全国卷_全国统一高考化学(新课标ⅲ)2016-2021_A4word版_PDF版赠送)
2021年全国统一高考化学试卷(新课标Ⅲ)(解析版)_全国卷+地方卷_5.化学_1.化学高考真题试卷_2008-2020年_全国卷_全国统一高考化学(新课标ⅲ)2016-2021_A4word版_PDF版赠送)
2021年全国统一高考化学试卷(新课标Ⅲ)(解析版)_全国卷+地方卷_5.化学_1.化学高考真题试卷_2008-2020年_全国卷_全国统一高考化学(新课标ⅲ)2016-2021_A4word版_PDF版赠送)
2021年全国统一高考化学试卷(新课标Ⅲ)(解析版)_全国卷+地方卷_5.化学_1.化学高考真题试卷_2008-2020年_全国卷_全国统一高考化学(新课标ⅲ)2016-2021_A4word版_PDF版赠送)
2021年全国统一高考化学试卷(新课标Ⅲ)(解析版)_全国卷+地方卷_5.化学_1.化学高考真题试卷_2008-2020年_全国卷_全国统一高考化学(新课标ⅲ)2016-2021_A4word版_PDF版赠送)
2021年全国统一高考化学试卷(新课标Ⅲ)(解析版)_全国卷+地方卷_5.化学_1.化学高考真题试卷_2008-2020年_全国卷_全国统一高考化学(新课标ⅲ)2016-2021_A4word版_PDF版赠送)
2021年全国统一高考化学试卷(新课标Ⅲ)(解析版)_全国卷+地方卷_5.化学_1.化学高考真题试卷_2008-2020年_全国卷_全国统一高考化学(新课标ⅲ)2016-2021_A4word版_PDF版赠送)
2021年全国统一高考化学试卷(新课标Ⅲ)(解析版)_全国卷+地方卷_5.化学_1.化学高考真题试卷_2008-2020年_全国卷_全国统一高考化学(新课标ⅲ)2016-2021_A4word版_PDF版赠送)

文档信息

文档格式
pdf
文档大小
1.753 MB
文档页数
18 页
上传时间
2026-03-06 15:45:32

文档内容

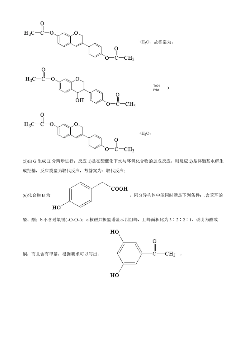
2021 年全国卷甲卷理综化学试卷 一、选择题 1. 化学与人体健康及环境保护息息相关。下列叙述正确的是 A. 食品加工时不可添加任何防腐剂 B. 掩埋废旧电池不会造成环境污染 C. 天然气不完全燃烧会产生有毒气体 D. 使用含磷洗涤剂不会造成水体污染 【答案】C 【解析】 【分析】 【详解】A.食品加工时,可适当添加食品添加剂和防腐剂等,如苯甲酸钠,故A错误; B.废旧电池中含有重金属等金属离子,会造成土壤污染,水体污染等,故B错误; C.天然气主要成分为甲烷,不完全燃烧会产生一氧化碳等有毒气体,故C正确; D.含磷洗涤剂的排放,使水中磷过多,造成水中藻类疯长,消耗水中溶解的氧,水体变浑浊,故D错 误; 故选C。 2. N 为阿伏加德罗常数的值。下列叙述正确的是 A A. 18g重水(D O)中含有的质子数为10N 2 A B. 3mol的NO 与H O完全反应时转移的电子数为4N 2 2 A C. 32g环状S ( )分子中含有的S-S键数为1N 8 A D. 1L pH=4的0.1molL-1K Cr O 溶液中Cr O 2-离子数为0.1N 2 2 7 2 7 A 【答案】C 【解析】 【分析】 18g 【详解】A.D O的质子数为10,18gD O的物质的量为 = 0.9mol, 则18g重水(D O)中所含 2 2 20g/mol 2 质子数为9N ,A错误; AB.NO 与H O反应的化学方程式为:3NO +H O=2HNO +NO,该反应消耗3个NO 分子转移的电子数 2 2 2 2 3 2 为2个,则有3mol的NO 参与反应时,转移的电子数为2N ,B错误; 2 A 32g 1 C.一个S ( )分子中含有的S-S键数为8个,32gS 的物质的量为 = mol,则含 8 8 832g/mol 8 1 有的S-S键数为 8N =N ,C正确; 8 A A D.酸性K 2 Cr 2 O 7 溶液中存在:Cr 2 O 7 2-+H 2 O  2CrO2 4 -+2H+,含Cr元素微粒有Cr 2 O 7 2-和CrO 2 4 -,则 1L pH=4的0.1molL-1K Cr O 溶液中Cr O 2-离子数应小于0.1N ,D错误; 2 2 7 2 7 A 故选C。 3. 实验室制备下列气体的方法可行的是 气体 方法 A 氨气 加热氯化铵固体 B 二氧化氮 将铝片加到冷浓硝酸中 C 硫化氢 向硫化钠固体滴加浓硫酸 D 氧气 加热氯酸钾和二氧化锰的混合物 A. A B. B C. C D. D 【答案】D 【解析】 【分析】 【详解】A.氯化铵不稳定,加热易分解生成氨气和氯化氢,但两者遇冷又会化合生成氯化铵固体,所以 不能用于制备氨气,A不可行; B.将铝片加到冷浓硝酸中会发生钝化现象,不能用于制备二氧化氮,B不可行; C.硫化氢为还原性气体,浓硫酸具有强氧化性,不能用浓硫酸与硫化钠固体反应制备该硫化氢气体,因 为该气体会与浓硫酸发生氧化还原反应,C不可行; D.实验室加热氯酸钾和二氧化锰的混合物,生成氯化钾和氧气,二氧化锰作催化剂,可用此方法制备氧 气,D可行; 故选D。4. 下列叙述正确的是 A. 甲醇既可发生取代反应也可发生加成反应 B. 用饱和碳酸氢纳溶液可以鉴别乙酸和乙醇 C. 烷烃的沸点高低仅取决于碳原子数的多少 D. 戊二烯与环戊烷互为同分异构体 【答案】B 【解析】 【分析】 【详解】A.甲醇为一元饱和醇,不能发生加成反应,A错误; B.乙酸可与饱和碳酸氢钠反应,产生气泡,乙醇不能发生反应,与饱和碳酸钠互溶,两者现象不同,可 用饱和碳酸氢纳溶液可以鉴别两者,B正确; C.含相同碳原子数的烷烃,其支链越多,沸点越低,所以烷烃的沸点高低不仅仅取决于碳原子数的多 少,C错误; D.戊二烯分子结构中含2个不饱和度,其分子式为C H ,环戊烷分子结构中含1个不饱和度,其分子式 5 8 为C H ,两者分子式不同,不能互为同分异构体,D错误。 5 10 故选B。 5. W、X、Y、Z为原子序数依次增大的短周期主族元素,Z的最外层电子数是W和X的最外层电子数之 和,也是Y的最外层电子数的2倍。W和X的单质常温下均为气体。下列叙述正确的是 A. 原子半径:Z>Y>X>W B. W与X只能形成一种化合物 C. Y的氧化物为碱性氧化物,不与强碱反应 D. W、X和Z可形成既含有离子键又含有共价键的化合物 【答案】D 【解析】 【分析】W.X、Y、Z为原子序数依次增大的短周期主族元素,Z的最外层电子数是W和X的最外层电 子数之和,也是Y的最外层电子数的2倍,则分析知,Z的最外层电子数为偶数,W和X的单质常温下 均为气体,则推知W和X为非金属元素,所以可判断W为H元素,X为N元素,Z的最外层电子数为 6 1+5=6,Y的最外层电子数为 =3,则Y为Al元素,Z为S元素,据此结合元素及其化合物的结构与性质 2 分析解答。 【详解】根据上述分析可知,W为H元素,X为N元素,Y为Al元素,Z为S元素,则A.电子层数越多的元素原子半径越大,同周期元素原子半径依次减弱,则原子半径:Y(Al)>Z(S)>X(N) >W(H),A错误; B.W为H元素,X为N元素,两者可形成NH 和N H ,B错误; 3 2 4 C.Y为Al元素,其氧化物为两性氧化物,可与强酸、强碱反应,C错误; D.W、X和Z可形成(NH ) S、NH HS,两者既含有离子键又含有共价键,D正确。 4 2 4 故选D。 6. 已知相同温度下,K BaSO 1.5,单质碘的收率会降低,原因是 2 2 2 2 _______。 (2)以NaIO 为原料制备I 的方法是:先向NaIO 溶液中加入计量的NaHSO ,生成碘化物;再向混合溶 3 2 3 3 液中加入NaIO 溶液,反应得到I ,上述制备I 的总反应的离子方程式为_______。 3 2 2 (3)KI溶液和CuSO 溶液混合可生成CuI沉淀和I ,若生成1mol I ,消耗的KI至少为_______mol。I 4 2 2 2 在KI溶液中可发生反应I +I- I-。实验室中使用过量的KI与CuSO 溶液反应后,过滤,滤液经水蒸 2  3 4 气蒸馏可制得高纯碘。反应中加入过量KI的原因是_______。 【答案】 (1). 2AgI+Fe=2Ag+ Fe2++2I- (2). AgNO (3). FeI +Cl = I +FeCl (4). I 、FeCl 3 2 2 2 2 2 3 (5). I 被过量的Cl 进一步氧化 (6). 2IO-+5HSO-=I +5SO2-+3H++H O (7). 4 (8). 防止单质 2 2 3 3 2 4 2碘析出 【解析】 【分析】 【详解】(1) ①由流程图可知悬浊液中含AgI ,AgI可与Fe反应生成FeI 和Ag,FeI 易溶于水,在离子 2 2 方程式中能拆,故加入Fe粉进行转化反应的离子方程式为2AgI+Fe=2Ag+ Fe2++2I-,生成的银能与硝酸反 应生成硝酸银参与循环中,故答案为:2AgI+Fe=2Ag+ Fe2++2I-;AgNO ; 3 ②通入Cl 的过程中,因I-还原性强于Fe2+,Cl 先氧化还原性强的I-,若氧化产物只有一种,则该氧化产 2 2 物只能是I ,故反应的化学方程式为FeI +Cl = I +FeCl ,若反应物用量比nCl /nFeI =1.5时即Cl 2 2 2 2 2 2 2 2 过量,先氧化完全部I-再氧化Fe2+,恰好将全部I-和Fe2+氧化,故氧化产物为I 、FeCl ,当 2 3 nCl /nFeI >1.5即Cl 过量特别多,多余的氯气会与生成的单质碘以及水继续发生氧化还原反应, 2 2 2 单质碘的收率会降低,故答案为:FeI +Cl = I +FeCl ;I 、FeCl ;I 被过量的Cl 进一步氧化; 2 2 2 2 2 3 2 2 (2)先向NaIO 溶液中加入计量的NaHSO ,生成碘化物即含I-的物质;再向混合溶液中(含I-)加入 3 3 NaIO 溶液,反应得到I ,上述制备I 的两个反应中I-为中间产物,总反应为IO- 与HSO-发生氧化还原 3 2 2 3 3 反应,生成SO2-和I ,根据得失电子守恒、电荷守恒]及元素守恒配平离子方程式即可得: 4 2 2IO-+5HSO-=I +5SO2-+3H++H O,故答案为:2IO-+5HSO-=I +5SO2-+3H++H O; 3 3 2 4 2 3 3 2 4 2 (3) KI溶液和CuSO 溶液混合可生成CuI沉淀和I ,化学方程式为4KI+2CuSO =2CuI +I +2K SO , 4 2 4 2 2 4 若生成1mol I 2 ,则消耗的KI至少为4mol;反应中加入过量KI,I-浓度增大,可逆反应I 2 +I-  I 3 -平衡 右移,增大I 溶解度,防止I 升华,有利于蒸馏时防止单质碘析出,故答案为:4;防止单质碘析出。 2 2 9. 胆矾(CuSO 5H O)易溶于水,难溶于乙醇。某小组用工业废铜焙烧得到的CuO(杂质为氧化铁及泥 4 2 沙)为原料与稀硫酸反应制备胆矾,并测定其结晶水的含量。回答下列问题: (1)制备胆矾时,用到的实验仪器除量筒、酒精灯、玻璃棒、漏斗外,还必须使用的仪器有_______(填标 号)。 A.烧杯 B.容量瓶 C.蒸发皿 D.移液管 (2)将CuO加入到适量的稀硫酸中,加热,其主要反应的化学方程式为_______,与直接用废铜和浓硫酸反 应相比,该方法的优点是_______。 (3)待CuO完全反应后停止加热,边搅拌边加入适量H 2 O 2 ,冷却后用NH 3 H 2 O调pH为3.5~4,再煮沸10min,冷却后过滤。滤液经如下实验操作:加热蒸发、冷却结晶、_______、乙醇洗涤、_______,得到 胆矾。其中,控制溶液pH为3.5~4的目的是_______,煮沸10min的作用是_______。 (4)结晶水测定:称量干燥坩埚的质量为m ,加入胆矾后总质量为m ,将坩埚加热至胆矾全部变为白色, 1 2 置于干燥器中冷至室温后称量,重复上述操作,最终总质量恒定为m 。根据实验数据,胆矾分子中结晶 3 水的个数为_______(写表达式)。 (5)下列操作中,会导致结晶水数目测定值偏高的是_______(填标号)。 ①胆矾未充分干燥 ②坩埚未置于干燥器中冷却 ③加热时有少胆矾迸溅出来 Δ 【答案】 (1). A、C (2). CuO+H SO CuSO +H O (3). 不会产生二氧化硫且产生等量胆矾消耗 2 4 4 2 硫酸少(硫酸利用率高) (4). 过滤 (5). 干燥 (6). 除尽铁,抑制硫酸铜水解 (7). 破坏氢氧 80(m m ) 2 3 化铁胶体,易于过滤 (8). (9). ①③ 9(m m ) 3 1 【解析】 【分析】 【详解】(1)制备胆矾时,根据题干信息可知,需进行溶解、过滤、结晶操作,用到的实验仪器除量筒、酒 精灯、玻璃棒、漏斗外,还必须使用的仪器有烧杯和蒸发皿,A、C符合题意,故答案为:A、C; Δ (2)将CuO加入到适量的稀硫酸中,加热,其主要反应的化学方程式为CuO+H SO CuSO +H O;直接用 2 4 4 2 废铜和浓硫酸反应生成硫酸铜与二氧化硫和水,与这种方法相比,将CuO加入到适量的稀硫酸中,加热制 备胆矾的实验方案具有的优点是:不会产生二氧化硫且产生等量胆矾消耗硫酸少(硫酸利用率高); (3) 硫酸铜溶液制硫酸铜晶体,操作步骤有加热蒸发、冷却结晶、过滤、乙醇洗涤、干燥;CuO中含氧化 铁杂质,溶于硫酸后会形成铁离子,为使铁元素以氢氧化铁形成沉淀完全,需控制溶液pH为3.5~4,酸 性环境同时还可抑制铜离子发生水解;操作过程中可能会生成氢氧化铁胶体,所以煮沸10min,目的是破 坏氢氧化铁胶体,使其沉淀,易于过滤,故答案为:过滤;干燥;除尽铁,抑制硫酸铜水解;破坏氢氧化 铁胶体,易于过滤; (4) 称量干燥坩埚的质量为m ,加入胆矾后总质量为m ,将坩埚加热至胆矾全部变为白色,置于干燥器 1 2 中冷至室温后称量,重复上述操作,最终总质量恒定为m 。则水的质量是(m -m )g,所以胆矾 3 2 3 80(m m ) (m m ) (m m ) (CuSO •nH O)中n值的表达式为 2 3 : 3 1 =n:1,解得n= 2 3 ; 4 2 18 160 9(m m ) 3 180(m m ) 2 3 (5) ①胆矾未充分干燥,捯饬所测m 偏大,根据n= 可知,最终会导致结晶水数目定值偏高, 2 9(m m ) 3 1 符合题意; ②坩埚未置于干燥器中冷却,部分白色硫酸铜会与空气中水蒸气结合重新生成胆矾,导致所测m 偏大, 3 80(m m ) 2 3 根据n= 可知,最终会导致结晶水数目定值偏低,不符合题意; 9(m m ) 3 1 80(m m ) 2 3 ③加热胆矾晶体时有晶体从坩埚中溅出,会使m 数值偏小,根据n= 可知,最终会导致结晶 3 9(m m ) 3 1 水数目定值偏高,符合题意;综上所述,①③符合题意,故答案为:①③。 10. 二氧化碳催化加氢制甲醇,有利于减少温室气体二氧化碳。回答下列问题: (1)二氧化碳加氢制甲醇的总反应可表示为: CO (g)3H (g) CH OH(g)H O(g) 2 2 3 2 该反应一般认为通过如下步骤来实现: ①CO (g)+H (g)=CO(g)+H O(g) ΔH =+41kJ mol-1 2 2 2 1  ②CO(g)+2H (g)=CH OH(g) ΔH =-90kJ mol-1 2 3 2  总反应的ΔH=_______kJmol-1;若反应①为慢反应,下列示意图中能体现上述反应能量变化的是 _______(填标号),判断的理由是_______。 A. B. C. D. (2)合成总反应在起始物nH /nCO =3时,在不同条件下达到平衡,设体系中甲醇的物质的量分数为 2 2 x(CH OH),在t=250℃下的xCH OH~p、在p=5105Pa下的xCH OH~t如图所示。 3 3 3①用各物质的平衡分压表示总反应的平衡常数,表达式K =_______; p ②图中对应等压过程的曲线是_______,判断的理由是_______; ③当xCH OH=0.10时,CO 的平衡转化率α=____,反应条件可能为___或___。 3 2 【答案】 (1). -49 (2). A (3). ΔH 为正值,ΔH 为和ΔH为负值,反应①的活化能大于反应②的 1 2 pH OpCH OH 2 3 (4). (5). b (6). 总反应ΔH<0,升高温度时平衡向逆反应方向移动,甲醇的 p3H pCO  2 2 物质的量分数变小 (7). 33.3% (8). 5×105Pa,210℃ (9). 9×105Pa,250℃ 【解析】 【分析】 【详解】(1)二氧化碳加氢制甲醇的总反应可表示为:CO (g)3H (g) CH OH(g)H O(g),该反应 2 2 3 2 一般认为通过如下步骤来实现:①CO (g)+H (g)=CO(g)+H O(g) ΔH =+41kJ mol-1,② 2 2 2 1  CO(g)+2H 2 (g)=CH 3 OH(g) ΔH 2 =-90kJ  mol-1,根据盖斯定律可知,①+②可得二氧化碳加氢制甲醇的 总反应为:CO (g)3H (g) CH OH(g)H O(g) 2 2 3 2 ΔH=  +41kJ mol-1   90kJ mol-1 =49kJ mol-1;该反应总反应为放热反应,因此生成物总能量低于    反应物总能量,反应①为慢反应,因此反应①的活化能高于反应②,同时反应①的反应物总能量低于生成 物总能量,反应②的反应物总能量高于生成物总能量,因此示意图中能体现反应能量变化的是A项,故答 案为:-49;A;ΔH 为正值,ΔH 为和ΔH为负值,反应①的活化能大于反应②的。 1 2 (2)①二氧化碳加氢制甲醇的总反应为CO (g)3H (g) CH OH(g)H O(g),因此利用各物质的平衡 2 2 3 2pH OpCH OH pH OpCH OH 2 3 2 3 分压表示总反应的平衡常数,表达式K = ,故答案为: 。 p p3H pCO  p3H pCO  2 2 2 2 ②该反应正向为放热反应,升高温度时平衡逆向移动,体系中x(CH OH)将减小,因此图中对应等压过程 3 的曲线是b,故答案为:b;总反应ΔH<0,升高温度时平衡向逆反应方向移动,甲醇的物质的量分数变 小。 3H g+CO g CH OHg+H Og  2 2 3 2 起始mol 3 1 0 0 ③设起始n(CO )=1mol,n(H )=3mol,则 ,当平 2 2 转化mol 3x x x x 平衡mol 3-3x 1-x x x x 1 衡时xCH OH=0.10时, =0.1,解得x= mol,平衡时CO 的转化率α= 3 3-3x+1-x+x+x 3 2 1 mol 3 =33.3%;由图可知,满足平衡时xCH OH=0.10的条件有:5×105Pa,210℃或 100% 3 1mol 9×105Pa,250℃,故答案为:33.3%;5×105Pa,210℃;9×105Pa,250℃。 【化学—选修 3:物质结构与性质】 11. 我国科学家研发的全球首套千吨级太阳能燃料合成项目被形象地称为“液态阳光”计划。该项目通过太 阳能发电电解水制氢,再采用高选择性催化剂将二氧化碳加氢合成甲醇。回答下列问题: (1)太阳能电池板主要材料为单晶硅或多晶硅。Si的价电子层的电子排式为________;单晶硅的晶体类 型为_________。SiCl 是生产高纯硅的前驱体,其中Si采取的杂化类型为_______。SiCl 可发生水解反 4 4 应,机理如下: 含s、p、d轨道的杂化类型有:①dsp2、②sp3d、③sp3d2,中间体SiCl (H O)中Si采取的杂化类型为 4 2________(填标号)。 (2)CO 分子中存在_______个σ键和______个π键。 2 (3)甲醇的沸点(64.7℃)介于水(100℃)和甲硫醇(CH SH,7.6℃)之间,其原因是________。 3 (4)我国科学家发明了高选择性的二氧化碳加氢合成甲醇的催化剂,其组成为ZnO/ZrO 固溶体。四方 2 ZrO 晶胞如图所示。Zr4+离子在晶胞中的配位数是________,晶胞参数为a pm、a pm、c pm,该晶体密度 2 为______g·cm-3(写出表达式)。在ZrO 中掺杂少量ZrO后形成的催化剂,化学式可表示为Zn Zr O , 2 x 1-x y 则y=________(用x表达)。 【答案】 (1). 3s23p2 (2). 原子晶体(共价晶体) (3). sp3 (4). ② (5). 2 (6). 2 (7). 甲 491816 硫醇不能形成分子间氢键,而水和甲醇均能,且水比甲醇的氢键多 (8). 8 (9). a2cN 1030 A (10). 2-x 【解析】 【分析】 【详解】(1)基态Si原子的核外电子排布式为1s22s22p63s23p2,因此Si的价电子层的电子排式为3s23p2;晶 体硅中Si原子与Si原子之间通过共价键相互结合,整块晶体是一个三维的共价键网状结构,因此晶体硅 441 为原子晶体;SiCl 中 Si原子价层电子对数为 4+ =4,因此 Si原子采取 sp3杂化;由图可知, 4 2 SiCl (H O)中Si原子的δ键数为5,说明Si原子的杂化轨道数为5,由此可知Si原子的杂化类型为sp3d, 4 2 故答案为:3s23p2;原子晶体(共价晶体);sp3;②; (2)CO 的结构式为O=C=O,1个双键中含有1个δ键和1个π键,因此1个CO 分子中含有2个δ键和2 2 2 个π键,故答案为:2;2;(3)甲醇分子之间和水分子之间都存在氢键,因此沸点高于不含分子间氢键的甲硫醇,甲醇分子之间氢键的 总强度低于水分子之间氢键的总强度,因此甲醇的沸点介于水和甲硫醇之间,故答案为:甲硫醇不能形成 分子间氢键,而水和甲醇均能,且水比甲醇的氢键多; (4)以晶胞中右侧面心的Zr4+为例,同一晶胞中与Zr4+连接最近且等距的O2-数为4,同理可知右侧晶胞中有 4个O2-与Zr4+相连,因此Zr4+离子在晶胞中的配位数是4+4=8;1个晶胞中含有4个ZrO 微粒,1个晶胞 2 4mol91g/mol8mol16g/mol 的质量m= ,1个晶胞的体积为(a×10-10cm)×(a×10-10cm)×(c×10- N A 491816 m g 491816 10cm)=a2c×10-30cm3,因此该晶体密度= = N = g·cm-3;在ZrO 中掺杂少量 V A a2cN 1030 2 a2c1030cm3 A ZrO后形成的催化剂,化学式可表示为Zn Zr O ,其中Zn元素为+2价,Zr为+4价,O元素为-2价,根 x 1-x y 491816 据化合物化合价为0可知2x+4×(1-x)=2y,解得y=2-x,故答案为: ;2-x。 a2cN 1030 A 【化学—选修 5:有机化学基础】 12. 近年来,以大豆素(化合物C)为主要成分的大豆异黄酮及其衍生物,因其具有优良的生理活性而备受关 注。大豆素的合成及其衍生化的一种工艺路线如下: 回答下列问题: (1)A的化学名称为_______。 (2)1mol D反应生成E至少需要_______mol氢气。 (3)写出E中任意两种含氧官能团的名称_______。 (4)由E生成F的化学方程式为_______。 (5)由G生成H分两步进行:反应1)是在酸催化下水与环氧化合物的加成反应,则反应2)的反应类型为_______。 (6)化合物B的同分异构体中能同时满足下列条件的有_______(填标号)。 a.含苯环的醛、酮 b.不含过氧键(-O-O-) c.核磁共振氢谱显示四组峰,且峰面积比为3∶2∶2∶1 A.2个 B.3个 C.4个 D.5个 (7)根据上述路线中的相关知识,以丙烯为主要原料用不超过三步的反应设计合成下图有机物,写出合成路 线_______。 【答案】 (1). 间苯二酚(或1,3-苯二酚) (2). 2 (3). 酯基,醚键,酮基(任写两种) (4). TsOH PhMe +H O (5). 取代反应 (6). C (7). 2 m-CPBA  浓H H 2 S O O 4  ¾¾(C¾H 3 CO¾) 2 O¾® 2 【解析】 【分析】由合成路线图,可知,A(间苯二酚)和B( )反应生成C(), 与碳酸二甲酯发生酯化反应,生成 , 与氢气发生加成反应生成 , 发生消去反应,生成F,F先氧化成环氧化 合物G,G在酸催化下水与环氧化合物的加成反应,然后发生酯的水解生成H,据此分析解答。 【详解】(1)A为 ,化学名称为间苯二酚(或1,3-苯二酚),故答案为:间苯二酚(或 1,3-苯二酚);(2)D为 ,与氢气发生加成反应生成 ,碳碳双键及酮基都发生了加成反应,所以 1mol D反应生成E至少需要2mol氢气,故答案为:2; (3)E为 ,含有的含氧官能团的名称为酯基,醚 键,酮基(任写两种),故答案为:酯基,醚键,酮基(任写两种); (4)E为 ,发生消去反应,生成 ,化学方程式为 TsOH PhMe+H O,故答案为: 2 TsOH PhMe +H O; 2 (5)由G生成H分两步进行:反应1)是在酸催化下水与环氧化合物的加成反应,则反应2)是将酯基水解生 成羟基,反应类型为取代反应,故答案为:取代反应; (6)化合物B为 ,同分异构体中能同时满足下列条件:.含苯环的 醛、酮;b.不含过氧键(-O-O-);c.核磁共振氢谱显示四组峰,且峰面积比为3∶2∶2∶1,说明为醛或 酮,而且含有甲基,根据要求可以写出: ,, , ,故有4种,答案为:C; (7)以丙烯为主要原料用不超过三步的反应设计合成下图有机物,可以将丙烯在m-CPBA的作用下生成环氧 化合物,环氧化合物在酸催化下水发生加成反应,然后再与碳酸二甲酯发生酯化反应即可,故合成路线 为: m-CPBA  浓H H 2 S O O 4  ¾¾(C¾H 3 CO¾) 2 O¾® 2 。