当前位置:首页>文档>05选填题之导数的综合应用(原卷版)_2.2025数学总复习_2024年新高考资料_2.2024二轮复习_2024年高考数学二轮复习讲义题型归纳+专项训练(新高考专用)

05选填题之导数的综合应用(原卷版)_2.2025数学总复习_2024年新高考资料_2.2024二轮复习_2024年高考数学二轮复习讲义题型归纳+专项训练(新高考专用)

  • 2026-04-12 17:58:24 2026-03-08 00:51:08

文档预览

05选填题之导数的综合应用(原卷版)_2.2025数学总复习_2024年新高考资料_2.2024二轮复习_2024年高考数学二轮复习讲义题型归纳+专项训练(新高考专用)
05选填题之导数的综合应用(原卷版)_2.2025数学总复习_2024年新高考资料_2.2024二轮复习_2024年高考数学二轮复习讲义题型归纳+专项训练(新高考专用)
05选填题之导数的综合应用(原卷版)_2.2025数学总复习_2024年新高考资料_2.2024二轮复习_2024年高考数学二轮复习讲义题型归纳+专项训练(新高考专用)
05选填题之导数的综合应用(原卷版)_2.2025数学总复习_2024年新高考资料_2.2024二轮复习_2024年高考数学二轮复习讲义题型归纳+专项训练(新高考专用)
05选填题之导数的综合应用(原卷版)_2.2025数学总复习_2024年新高考资料_2.2024二轮复习_2024年高考数学二轮复习讲义题型归纳+专项训练(新高考专用)
05选填题之导数的综合应用(原卷版)_2.2025数学总复习_2024年新高考资料_2.2024二轮复习_2024年高考数学二轮复习讲义题型归纳+专项训练(新高考专用)
05选填题之导数的综合应用(原卷版)_2.2025数学总复习_2024年新高考资料_2.2024二轮复习_2024年高考数学二轮复习讲义题型归纳+专项训练(新高考专用)
05选填题之导数的综合应用(原卷版)_2.2025数学总复习_2024年新高考资料_2.2024二轮复习_2024年高考数学二轮复习讲义题型归纳+专项训练(新高考专用)
05选填题之导数的综合应用(原卷版)_2.2025数学总复习_2024年新高考资料_2.2024二轮复习_2024年高考数学二轮复习讲义题型归纳+专项训练(新高考专用)

文档信息

文档格式
docx
文档大小
0.365 MB
文档页数
9 页
上传时间
2026-03-08 00:51:08

文档内容

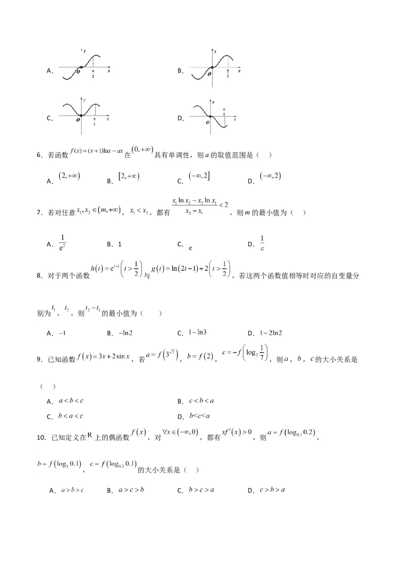
☆注:请用Microsoft Word2016以上版本打开文件进行编辑,用WPS等其他软件可能会出现乱码等现象. 高中数学二轮复习讲义——选填题部分 第 5 讲 导数的综合应用 从近三年高考情况来看,导数的概念及计算一直是高考中的热点,对本知识的 考查主要是导数的概念及其运算法则、导数的几何意义等内容,常以选择题或填空题的形式呈现,有时也 会作为解答题中的一问.解题时要掌握函数在某一点处的导数定义、几何意义以及基本初等函数的求导法 则,会求简单的复合函数的导数. 导数的应用也一直是高考的热点,尤其是导数与函数的单调性、极值、最值问题是高考考查的重点内 容,一般以基本初等函数为载体,考查导数的相关知识及应用,题型有选择题、填空题,也有解答题中的 一问,难度一般较大,常以把关题的位置出现.解题时要熟练运用导数与函数单调性、极值与最值之间的 关系,理解导数工具性的作用,注重数学思想和方法的应用. 题型一、导函数的零点问题 考点1.已知零点个数求参 1 1 1.已知函数f(x)= x3− (1−a)x2−ax−a2 (a>0)有3个零点,则实数a的取值范围是( ) 3 2 A.(0,1) B.(3,+∞) C.(0,2) D.(1,+∞) 2.已知函数f(x)=2e2x﹣2ax+a﹣2e﹣1,其中a R,e为自然对数的底数.若函数f(x)在区间(0,1) 内有两个零点,则a的取值范围是( ) ∈ A.(2,2e﹣1) B.(2,2e2) C.(2e2﹣2e﹣1,2e2) D.(2e﹣1,2e2﹣2e﹣1) 3.(2018•江苏)若函数f(x)=2x3﹣ax2+1(a R)在(0,+∞)内有且只有一个零点,则f(x)在[﹣ 1,1]上的最大值与最小值的和为 . ∈ 考点2.已知零点的取值范围求参 4.(2015•新课标Ⅰ)设函数f(x)=ex(2x﹣1)﹣ax+a,其中a<1,若存在唯一的整数x 使得f(x ) 0 0 <0,则a的取值范围是( )3 3 3 3 3 3 A.[− ,1) B.[− , ) C.[ , ) D.[ ,1) 2e 2e 4 2e 4 2e 5.已知函数f(x)=ax3﹣3x2+1,若f(x)存在唯一的零点x ,且x >0,则a的取值范围是( ) 0 0 A.(2,+∞) B.(﹣∞,﹣2) C.(1,+∞) D.(﹣∞,﹣1) 2 6.若函数f(x)=x2+ −alnx(a>0)有唯一零点x ,且m<x <n(m,n为相邻整数),则m+n的值为 0 0 x ( ) A.1 B.3 C.5 D.7 考点3.复合函数零点问题 ln(2x) 7.已知函数f(x)= ,关于x的不等式f2(x)+af(x)>0只有两个整数解,则实数a的取值范围 x 为 . 8.已知f(x)=x2ex,若函数g(x)=f2(x)﹣kf(x)+1恰有四个零点,则实数k的取值范围是( ) A.(﹣∞,﹣2)∪(2,+∞) B.(2,4 e2) + e2 4 C.(8 ,2) D.(4 e2,+∞) + e2 e2 4 9.已知函数f(x)是定义在R上的奇函数,当x<0时,f(x)=(x+1)ex则对任意的m R,函数F(x) =f(f(x))﹣m的零点个数至多有( ) ∈ A.3个 B.4个 C.6个 D.9个 考点4.零点综合问题 10.已知函数 若 且 ,则 的取值范围是( ) A. B. C. D. 11.已知函数 在区间 上存在零点,则 的最小值为 . 12.若 ,则实数 最大值为 .13.若方程 在 上有实根,则a的取值范围是( ) A. B. C. D. 题型二、不等式与恒成立(任意性、存在性问题) 考点1.参变分离 1.已知函数f(x)=x+xlnx,若k Z,且k(x﹣1)<f(x)对任意的x>1恒成立,则k的最大值为 ( ) ∈ A.2 B.3 C.4 D.5 2.当x [﹣2,1]时,不等式ax3﹣x2+4x+3≥0恒成立,则实数a的取值范围是 [ ﹣ 6 ,﹣ 2 ] . 考点2.分∈类讨论 lnx 3.设实数 >0,若对任意的x (0,+∞),不等式ex− ≥0恒成立,则 的最小值为( ) λ λ λ ∈ λ 1 1 2 e A. B. C. D. e 2e e 3 4.已知关于x的不等式m(x2﹣2x)ex+1≥ex在(﹣∞,0]上恒成立,则实数m的取值范围是( ) 1 1 A.[1,+∞) B.[0,+∞) C.[− ,+∞) D.[ ,+∞) 2 3 考点3.转化成两个函数 5.已知函数f(x)=ex﹣aln(ax﹣a)+a(a>0),若关于x的不等式f(x)>0恒成立,则实数a的取值 范围为 ( 0 , e 2 ) . 6.已知函数f(x)=alnx﹣2x,若不等式f(x+1)>ax﹣2ex在x (0,+∞)上恒成立,则实数a的取值范 围是( ) ∈ A.a≤2 B.a≥2 C.a≤0 D.0≤a≤2 考点4.双变量问题 1 3 7.已知函数f(x)=lnx− x+ −1,g(x)=x2﹣2bx+4,若对任意的x (0,2)存在x [1,2],使f 1 2 4 4x ∈ ∈ (x )≥g(x ),则实数b的取值范围是( ) 1 2 17 17 A.[ ,+∞) B.(﹣∞, ] C.(﹣∞,2] D.[2,+∞) 8 88.已知函数f(x)=x2+2alnx+3,若 x ,x [4,+∞)(x ≠x ), a [2,3],f(x )−f(x ) 2m,则 1 2 1 2 2 1 < x −x ∀ ∈ ∃ ∈ 1 2 m的取值范围是( ) 5 9 19 A.[﹣2,+∞) B.[− ,+∞) C.(− ,+∞) D.[− ,+∞) 2 2 4 9.若对于任意的0<x <x <a,都有lnx lnx 1 1 ,则a的最大值为( ) 1 2 1− 2< − x x x x 1 2 2 1 1 A.2e B.e C.1 D. 2 { 1+lnx,x≥1 10.已知函数f(x)= 1 1 ,若x ≠x ,且f(x )+f(x )=2,则x +x 的取值范围是 [3 ﹣ x+ ,x<1 1 2 1 2 1 2 2 2 2 ln 2 , + ∞) . 11.已知函数 有两个不同的极值点 ,若不等式 恒成立,则实数t 的取值范围为( ) 考点5. 拉格朗日中值定理+构造函数 1.已知函数f(x)=xlnx,且0<x <x ,给出下列命题: 1 2 f(x )−f(x ) 1 1 2 < x −x ① 1 2 x f(x )<x f(x ) 2 1 1 2 ②当lnx>﹣1时,x f(x )+x f(x )>2x f(x ) 1 1 2 2 2 1 ③x +f(x )<x +f(x ) 1 1 2 2 ④其中正确的命题序号是 . ②③ 2.已知函数f(x)的定义域为R,对任意x <x ,有f(x )−f(x ) 1,且f(1)=1,则不等式f 1 2 1 2 >− x −x 1 2 (log |3x﹣1|)<2﹣log |3x﹣1|的解集为 (﹣∞, 0 )∪( 0 , 1 ) . 2 2 3.已知函数 f(x)=(2a+2)lnx+2ax2+5.设 a<﹣1,若对任意不相等的正数 x ,x ,恒有 1 2| f(x 1 )−f(x 2 ) |≥8 .则实数a的取值范围是( ) x −x 1 2 A.(﹣3,﹣1) B.(﹣2,﹣1) C.(﹣∞,﹣3] D.(﹣∞,﹣2] 4.已知不等式 对任意 恒成立,则实数 的最小值是 . 一、单选题 1.已知函数 ,当 时,恒有 ,则实数 的取值 范围为( ) A. B. C. D. 2.若函数 在区间 上存在极小值点,则a的取值范围为( ) A. B. C. D. 3.设 , , ,则( ) A. B. C. D. 4.已知 是方程 的一个根,则 ( ) A. B. C.2 D.3 5.函数 的图象大致是( )A. B. C. D. 6.若函数 在 具有单调性,则a的取值范围是( ) A. B. C. D. 7.若对任意 , ,都有 ,则m的最小值为( ) A. B.1 C. D. 8.对于两个函数 与 ,若这两个函数值相等时对应的自变量分 别为 , ,则 的最小值为( ) A. B. C. D. 9.已知函数 ,若 , , ,则 , , 的大小关系是 ( ) A. B. C. D. 10.已知定义在 上的偶函数 ,对 ,都有 ,则 , , 的大小关系是( ) A. B. C. D.11.已知函数 存在零点,则实数 的值为( ) A. B. C. D. 12.已知 ,且 ,则必有( ) A. B. C. D. 二、多选题 13.若 的图象在 处的切线分别为 ,且 ,则( ) A. B. 的最小值为2 C. 在 轴上的截距之差为2 D. 在 轴上的截距之积可能为 14.已知函数 则( ) A. 是奇函数 B. 在 上单调递减 C. 是偶函数 D. 为 的极小值点 15.已知 是 的一个极值点,则( )A. B. C.若 有两个极值点,则 D.若 有且只有一个极值点,则 16.已知函数 ,则下列结论正确的是( ) A.对于任意的 ,存在偶函数 ,使得 为奇函数 B.若 只有一个零点,则 C.当 时,关于 的方程 有3个不同的实数根的充要条件为 D.对于任意的 , 一定存在极值 17.已知函数 ,且函数 有三个零点 ,则下列判断 正确的是( ) A. 的单调递减区间为 B.实数 的取值范围为 C.曲线 在点 处的切线方程为 D. 18.已知函数 , ,则( ) A.函数 在 上无极值点 B.函数 在 上存在极值点 C.若对任意 ,不等式 恒成立,则实数 的最小值 D.若 ,则 的最大值为 三、填空题19.已知函数 恰有两个零点,则 . 20.设函数 ,若对任意 ,皆有 成立,则实数 的取值 范围是 . 21.已知曲线 与曲线 ( )相交,且在交点处有相同的切线,则 . 22.过点 作曲线 的切线有且只有两条,切点分别为 , ,则 . 23.已知函数 的最小值为0,则a的值为 . 24.已知函数 ,若对于任意的 ,都有 ,则实数 的取值范围是 . 25.已知函数 ,若 对 恒成立,则实数a的取值范围是 . 26.已知函数 .若实数 满足 ,则 的最小值为 . 27.已知函数 ,若存在唯一的整数 ,使得 ,则 实数 的取值范围是 . 28.已知函数 ,若函数 恰有6个零点,则实数 的取值 范围为 .