当前位置:首页>文档>精品解析:北京市延庆区2023-2024学年八年级上学期期末考试地理试题(解析版)(1)_北京初中期末题_C605-京七八九_B京地理七八九_地理_北京八上地理

精品解析:北京市延庆区2023-2024学年八年级上学期期末考试地理试题(解析版)(1)_北京初中期末题_C605-京七八九_B京地理七八九_地理_北京八上地理

  • 2026-03-22 13:12:54 2026-03-08 19:29:06

文档预览

精品解析:北京市延庆区2023-2024学年八年级上学期期末考试地理试题(解析版)(1)_北京初中期末题_C605-京七八九_B京地理七八九_地理_北京八上地理
精品解析:北京市延庆区2023-2024学年八年级上学期期末考试地理试题(解析版)(1)_北京初中期末题_C605-京七八九_B京地理七八九_地理_北京八上地理
精品解析:北京市延庆区2023-2024学年八年级上学期期末考试地理试题(解析版)(1)_北京初中期末题_C605-京七八九_B京地理七八九_地理_北京八上地理
精品解析:北京市延庆区2023-2024学年八年级上学期期末考试地理试题(解析版)(1)_北京初中期末题_C605-京七八九_B京地理七八九_地理_北京八上地理
精品解析:北京市延庆区2023-2024学年八年级上学期期末考试地理试题(解析版)(1)_北京初中期末题_C605-京七八九_B京地理七八九_地理_北京八上地理
精品解析:北京市延庆区2023-2024学年八年级上学期期末考试地理试题(解析版)(1)_北京初中期末题_C605-京七八九_B京地理七八九_地理_北京八上地理
精品解析:北京市延庆区2023-2024学年八年级上学期期末考试地理试题(解析版)(1)_北京初中期末题_C605-京七八九_B京地理七八九_地理_北京八上地理
精品解析:北京市延庆区2023-2024学年八年级上学期期末考试地理试题(解析版)(1)_北京初中期末题_C605-京七八九_B京地理七八九_地理_北京八上地理
精品解析:北京市延庆区2023-2024学年八年级上学期期末考试地理试题(解析版)(1)_北京初中期末题_C605-京七八九_B京地理七八九_地理_北京八上地理
精品解析:北京市延庆区2023-2024学年八年级上学期期末考试地理试题(解析版)(1)_北京初中期末题_C605-京七八九_B京地理七八九_地理_北京八上地理
精品解析:北京市延庆区2023-2024学年八年级上学期期末考试地理试题(解析版)(1)_北京初中期末题_C605-京七八九_B京地理七八九_地理_北京八上地理
精品解析:北京市延庆区2023-2024学年八年级上学期期末考试地理试题(解析版)(1)_北京初中期末题_C605-京七八九_B京地理七八九_地理_北京八上地理
精品解析:北京市延庆区2023-2024学年八年级上学期期末考试地理试题(解析版)(1)_北京初中期末题_C605-京七八九_B京地理七八九_地理_北京八上地理
精品解析:北京市延庆区2023-2024学年八年级上学期期末考试地理试题(解析版)(1)_北京初中期末题_C605-京七八九_B京地理七八九_地理_北京八上地理
精品解析:北京市延庆区2023-2024学年八年级上学期期末考试地理试题(解析版)(1)_北京初中期末题_C605-京七八九_B京地理七八九_地理_北京八上地理
精品解析:北京市延庆区2023-2024学年八年级上学期期末考试地理试题(解析版)(1)_北京初中期末题_C605-京七八九_B京地理七八九_地理_北京八上地理
精品解析:北京市延庆区2023-2024学年八年级上学期期末考试地理试题(解析版)(1)_北京初中期末题_C605-京七八九_B京地理七八九_地理_北京八上地理
精品解析:北京市延庆区2023-2024学年八年级上学期期末考试地理试题(解析版)(1)_北京初中期末题_C605-京七八九_B京地理七八九_地理_北京八上地理

文档信息

文档格式
docx
文档大小
6.842 MB
文档页数
18 页
上传时间
2026-03-08 19:29:06

文档内容

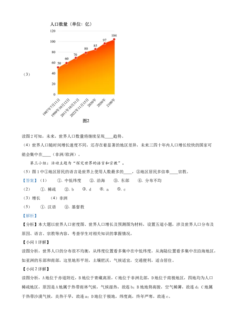
延庆区 2023——2024 学年第一学期期末试卷 初二地理 2024.01 一、单项选择题(共25小题,每小题1分,共25分。请将答案填到答题纸上) 2021年3月,“长赐号”货轮在苏伊士运河搁浅,造成运河堵塞停运。下图为世界部分航海线路及苏 伊士运河位置示意图。读图,完成下面小题。 1. 苏伊士运河( ) A. 沟通地中海和红海 B. 沟通地中海和大西洋 C. 利用尼罗河自然河道修建 D. 是欧、非两洲的分界线 2. 今年我国一艘货轮满载货物从上海运往伦敦,应走的最短航线是( ) A. 上海—太平洋—巴拿马运河—大西洋—伦敦 B. 上海—马六甲海峡—印度洋—好望角—大西洋—伦敦 C. 上海—太平洋—麦哲伦海峡—大西洋—伦敦 D. 上海—马六甲海峡—印度洋—苏伊士运河—大西洋—伦敦 3. 在苏伊士运河停靠时船员在与当地人交流,依据照片推断当地的语言和宗教属于( ) A. 英语-基督教 B. 阿拉伯语-伊斯兰教 C. 阿拉伯语-基督教 D. 汉语-佛教 4. 世界海洋和陆地的分布特点是( ) ①陆地被海洋分割成了大陆和岛屿②陆地多在北半球,陆地面积大于海洋 ③所有海洋都是连续的④地球表面海洋与陆地的面积比大约是3:7A. ①③ B. ③④ C. ①② D. ②④ 【答案】1. A 2. D 3. B 4. A 【解析】 【1题详解】 的 苏伊士运河是亚洲与非洲 分界线,沟通了地中海和红海,故A正确、D错误。沟通地中海与大西洋 的是直布罗陀海峡,故B错误。苏伊士运河并没有利用尼罗河,故C错误。故选A。 【2题详解】 今年我国一艘货轮满载货物从上海运往伦敦,应走的最短航线是上海—马六甲海峡—印度洋—苏伊士运河 —大西洋—伦敦,故D正确。不需要经过巴拿马运河和麦哲伦海峡,走好望角的路线更长,排除ABC。故 选D。 【3题详解】 读图可得,图中所示的是阿拉伯人,属于白色人种,主要信奉伊斯兰教,使用阿拉伯语。排除ACD,故选 B。 【4题详解】 世界海洋和陆地的分布特点是陆地被海洋分割成了大陆和岛屿;陆地多在北半球,海洋面积大于陆地;所 有海洋都是连续的;地球表面海洋与陆地的面积比大约是7: 3。故①③正确。故选A。 【点睛】我们生活的地球,从太空看是个蔚蓝色的美丽星球,它看上去更像“水球”。 根据人们的计算, 地球上陆地面积占29%,海洋面积71%;陆地集中于北半球、东半球;海洋集中于南半球、西半球。将地球 分为水半球和陆半球,陆半球上依然是海洋多于陆地。所以,无论怎样划分半球,都是海洋多于陆地。 某地理教师摘取了一张书上的原图,稍加改造后考查学生基础知识掌握情况。下图为世界海陆分布局 部图。读图,完成下面小题。 5. 图中A代表大洋为( ) A. 太平洋 B. 大西洋 C. 印度洋 D. 北冰洋 6. 若判断图中主体是什么大洋,可行的方法是( )A. 依据所处温度带判断 B. 依据相邻大洲判断 C. 依据大洋的面积判断 D. 依据大洋深度判断 . 【答案】5 C 6. B 【解析】 【分析】 【5题详解】 读图可知,图示有亚洲、非洲、大洋洲、南极洲、印度洋、太平洋、大西洋,图中A是印度洋,C对, ABD错。故选C。 【6题详解】 若判断图中主体是什么大洋,可行的方法有依据相邻的大洲判读,如图中印度洋周围被亚洲、大洋洲、南 极洲、非洲包围,还可以通过相通大洋判读,如印度洋东部与太平洋相通,西部与大西洋相通,还可以依 据大洋轮廓判读,如印度洋轮廓大致呈三角形,无法判断印度洋的深度,所以不能通过大洋深度判断,图 中不能根据所处温度带和大洋面积来判断大洋,B符合题意,ACD不符合题意。故选B。 【点睛】地图分类是根据地图某些特点与指标对其进行归并与区分。可按多种标准与方法分类,如地图比 例尺、制图范围、地图内容、地图用途、地图形式等。 下图①—④为不同国家和地区的传统民居建筑图。读图,完成下面小题。 7. 图中传统民居特点形成与当地环境特征对应正确的是( ) A. ①下沉式窑院-黄土土质疏松 B. ②房屋高架-风暴海啸多发 C. ③墙厚窗小-炎热干燥光照强 D. ④顶尖坡陡-森林资源丰富 8. 据①下沉式窑院建筑格局可推测当地( ) A. 气温高 B. 温差小 C. 降雪多 D. 降水少 9. 不同传统民居形成主要影响因素( ) A. 经济水平差异 B. 人口密度稀疏 C. 自然环境差异 D. 地域文化的创新与发展 【答案】7. C 8. D 9. C 【解析】 【7题详解】豫西地区的下沉式窑院主要是考虑土地的比热容较大,冬季降温慢,室内温度高;夏季升温慢,室内温度 低,达到冬暖夏凉的目的,同时下沉式窑院也便于收集雨水,A错误;东南亚地区气候湿润,地面潮湿且 多蚊虫,房屋高架可以降低室内的潮湿度和减少蚊虫进入室内的频率,与风暴海啸关系较小,B错误;北 非地区主要为热带沙漠气候,炎热干燥光照强,为了降低室内温度,该地区的建筑墙壁较厚,且窗户较小, C正确;北欧地区降雪量较大,为了防止过重的积雪压塌房屋,建筑多顶尖和陡坡,D错误;故选C。 【8题详解】 下沉式窑院是因黄土直立性强,适宜开凿窑洞,不怕被水淹没,说明当地气候干旱,据①下沉式窑院建筑 格局可推测当地降水少,D正确;不能推测出当地气温高、温差小、降雪多,ABC错误;故选D。 【9题详解】 由下沉式窑院、东南亚的水屋、北非碉堡式建筑、北欧木屋分析可知,不同传统民居形成主要影响因素是 自然环境差异,自然环境影响聚落的形态、规模、密度等,C正确;经济水平、人口密度、地域文化的创 新与发展不是不同传统民居形成的主要影响因素,ABD错误;故选C。 【点睛】世界各地民居的建筑风格有很大的不同,这与当地的自然环境有很大关系,这些民居既能适应当 地的自然地理环境,又与居民的社会经济生活密切联系。 生活在南美洲热带地区的水瓶树(下图),能在树干中贮存大量的水。在降水多的季节树顶上长出绿 叶,在降水少的季节,人们可在树干上挖孔取水。读图,完成下面小题。 10. 水瓶树生长的地区( ) A. 降水季节变化大 B. 全年多雨 C. 气温年较差大 D. 全年少雨 11. 水瓶树生活地区的气温曲线和降水量柱状图最可能是( ) A. B.C. D. 12. 水瓶树生活所在气候为( ) A. 热带雨林气候 B. 热带沙漠气候 C. 热带草原气候 D. 热带季风气候 【答案】10. A 11. B 12. C 【解析】 【10题详解】 生活在南美洲热带地区的水瓶树在降水多的季节树顶上长出绿叶,在降水少的季节,人们可在其树干上挖 孔取水,说明该地气候的特点之一是分有干季和湿季,降水季节变化较大,A正确,BCD错误。故选A。 【11题详解】 读材料可知,生活在热带地区,热带气候的特点是终年高温,气温年较差较小,CD错误。该地气候的特 点之一是干湿季分明,降水季节变化大,A错误,B正确。故选B。 【12题详解】 热带雨林气候,全年高温多雨,A错误;热带沙漠气候,全年炎热干燥,B错误;水瓶树生活在热带,并 且降水季节变化大,分为干季和湿季为热带草原气候,C正确;热带季风气候,终年高温,分旱、雨两季, D错误。故选C。 【点睛】南美洲东临大西洋,西临太平洋,以热带雨林气候和热带草原气候为主,是世界上最湿润的大洲, 这里有世界上最大的平原亚马孙平原和世界上最大的高原巴西高原。 读“大陆漂移示意图”(下图),回答下面小题。 13. 读图可知,地球上的陆地连在一起的时间大约是( ) A. 2亿年前 B. 1亿3500万年前 C. 6500万年前 D. 现在14. 依据大陆漂移说分析现在的大西洋( ) A. 没有变化 B. 即将消失 C. 不断缩小 D. 不断扩张 【答案】13. A 14. D 【解析】 【分析】 【13题详解】 读图可知,地球上的陆地连在一起的时间大约是2亿年前,1亿3500万年前之后,陆地就逐渐分离了,A 正确。故选A。 【14题详解】 据图可知,依据大陆漂移说,大西洋面积一直在不断扩大,D正确。故选D。 【点睛】大陆漂移假说是解释地壳运动和海陆分布、演变的学说。大陆彼此之间以及大陆相对于大洋盆地 间的大规模水平运动,称大陆漂移。大陆漂移说认为,地球上所有大陆在中生代以前曾经是统一的巨大陆 块,称之为泛大陆或联合古陆,中生代开始分裂并漂移,逐渐达到现在的位置。 下图为同学读《海底两万里》时,在插图上绘制的“鹦鹉螺号”航行路线。读图,完成下面小题。 15. 上图属于( ) A. 世界气候分布图 B. 世界地形图 C. 世界政区图 D. 世界海陆分布图 16. 航行路线图中可以看出“鹦鹉螺号”( ) ①经过的海洋②航行的方向③潜行的深度④经过的海底地形 A. ①② B. ②③ C. ③④ D. ①④ 【答案】15. D 16. A 【解析】 【15题详解】 读图,图中显示了四大洋和陆地的轮廓,属于世界海陆分布图,D正确;没有表示世界气候、地形以及政区等信息,ABC错误。故选D。 【16题详解】 从航行路线图中可以看出“鹦鹉螺号”经过的大洋以及航行的方向,①②正确;但是没有显示潜行的深度, 海底地形在图中也看不出来,③④错误。故选A。 【点睛】世界海陆的分布,地球上海洋占71%,而陆地仅占29%。任何平分两个半球,海洋面积都会大于 陆地面积,所以地球称为“水球”。 下图为世界年降水量分布图。读图,完成下面小题。 17. 图中数字2000是表示( ) A. 海拔 B. 人口密度 C. 年降水量 D. 年均温 18. 下列关于世界年降水分布规律正确的是( ) A. 赤道附近地区降水量较少 B. 只有两极地区降水少 C. 中纬度地区大陆内部降水多 D. 北回归线附近大陆东岸降水较多,西岸降水较少 19. B处年降水量是( ) A. 2000毫米以上 B. 500-1000毫米 C. 200-500毫米 D. 200毫米以下 【答案】17. C 18. D 19. D 【解析】 【17题详解】 读图例可知,图中数字2000是表示年降水量,C正确,ABD错误。故选C。 【18题详解】 赤道附近地区降水量多,A错误;只有两极地区降水少太绝对,沙漠地区降水也少,B错误;中纬度地区 大陆内部远离海洋,降水少,C错误;北回归线附近大陆东岸降水较多,西岸降水较少,D正确。故选D。 【19题详解】 读图例可知,B处在非洲北部,图例颜色为200毫米以下 ,D正确,ABC错误,故选D。 【点睛】世界降水的规律是:赤道地区降水多,两极地区降水少。中纬度沿海地区降水多,内陆地区降水 少。回归线穿过的大陆内部和西部降水少,东岸降水多。山地迎风坡降水多,背风坡降水少。赤道附近地 区的年降水量大多在2000毫米以上,南美洲的亚马孙平原是世界上年降水量在2000毫米以上面积最大的 地区,而南极附近的年降水量大多在200毫米以下。 全球变暖已经成为北极航运的“助推器”,未来航行在北冰洋上的商船数量将会迅速增加。下图为北 极东北航道示意图和“北极熊贝肯”漫画图。读图,完成下面小题。 的 20. 北极航道 开辟( )A. 取代苏伊士运河的航运作用 B. 缩短运输时间,提高运输效率 C. 可促进东亚国家间贸易往来 D. 不会对全球贸易产生影响 21. 北极航道通航时间短原因( ) A. 北极熊多 B. 途经国家少 C. 结冰期长 D. 常住居民少 22. 关于北极地区描述正确的是( ) A. 人类活动是北极熊溺亡的唯一原因 B. 纬度高气温极低,无常住居民 C. 常年冰雪覆盖,无动植物资源 D. 全球变暖导致北极地区环境恶化 【答案】20. B 21. C 22. D 【解析】 【20题详解】 北极航道的开辟缩短了运输时间,能够提高运输效率,但是不能取代传统航道苏伊士运河的航运作用,B 正确,A错误;北极航道的开辟能够促进东亚国家和欧洲西部国家之间的贸易往来,C错误;北极航道的开 辟能够促进全球贸易的发展,D错误。故选B 。 【21题详解】 根据北极东北航道示意图可知,北极航道主要经过北冰洋沿岸,纬度高,气温低,结冰期长,导致北极航 道通航时间短,C正确;北极航道通航时间的长短与北极熊、途经国家及常住居民的多少关系不大,A、 B、D错误。故选C。 【22题详解】 人类活动是北极熊溺亡的原因之一,但不是唯一原因,A错误;北极地区虽然纬度高气温极低,但有常住居 民,因纽特人生活在北极地区,属于黄种人,B错误;北极地区虽常年冰雪覆盖,但有北极熊、海豹、海 狮、苔藓等动植物资源,C错误;全球变暖导致北极地区的冰雪融化,环境恶化,D正确。故选D。 【点睛】导致气候变暖的原因,既有自然原因,又有人为原因。二氧化碳对大气有保温作用。人类一方面 燃烧煤、石油等,大量排放二氧化碳;另一方面,砍伐森林减少了森林对二氧化碳的吸收,使得大气中二 氧化碳的含量增加,气温也就升高了。 下表为“世界每增加10亿人口所需时间”。据此,完成下面小题。 人口数/亿人 每增加10亿人口所需时间/年 0.1-10 8830 10-20 100 20-30 30 30-40 15 40-50 1250-60 12 60-70 12 23. 表1中数据显示,世界人口( ) A. 数量先增后减 B. 增长特点:缓慢—快速—趋缓 . C 数量逐渐减少 D. 增长特点:快速—缓慢—快速 24. 人口增长过快,可能带来的影响有( ) ①人均资源占有量减少 ②生态环境恶化 ③医疗条件得到改善 ④就业压力减小 A. ①② B. ①③ C. ②④ D. ③④ 【答案】23. B 24. A 【解析】 【23题详解】 根据材料可知,没有说明世界人口的数量,A错误;根据材料可知,每增加10亿人口所需的时间/年分别 为8830、100、30、15、12,所需时间逐渐变短至不变,因此世界人口增长特点为缓慢—快速—趋缓,B 正确;根据材料可知,没有说明世界人口的数量,C错误,根据材料可知,世界人口增长特点为缓慢—快 速—趋缓,D错误。故选B。 【24题详解】 根据所学知识可知,人口增长过快,对环境和社会会带来压力。人口增长快导致人口数量多,人均资源占 有量减少,①符合题意;人口增长过快,产生更多垃圾, ②导致生态环境恶化,②符合题意;人口增长 过快,会导致医疗条件下降,③不符合题意;人口增长过快,会导致就业压力增大,④不符合题意。综上 所述,A符合题意,排除BCD。故选A。 【点睛】人口过多带来的影响:有利影响(1)劳动力充足(2)带来广阔的消费市场(3)充足的国防兵 力;不利影响(1)环境恶化(2)资源短缺(3)就业压力增大(4)人口老龄化等 25. 下图为发达国家和发展中国家产业结构图。读图,下列关于发达国家和发展中国家产业结构的叙述, 正确的是( )A. 发达国家第一产业落后,农业现代化水平低 B. 发展中国家第三产业发达,占比达50%以上 C. 发达国家第三产业发达,占比达50%以上 D. 发展中国家第一产业比例大,农业现代化水平高 【答案】C 【解析】 【详解】发达国家第一产业产值比重低,但是机械化、现代化水平高,A错误;发展中国家第一产业比例 大,但是农业现代化水平低,D错误;发达国家第三产业发达,占比达50%以上,而发展中国家第三产业在 三分之一左右,B错误,C正确。故选C。 二、综合题(共4小题,共45分。请将答案填到答题纸上) 26. 2023年是“一带一路”倡议提出十周年。十年来,150多个国家和30多个国际组织加入“一带一路” 大家庭,各国共享国际经济合作带来的丰硕成果。下图为“一带一路”路线图。读图,完成下列问题。 (1)“一带一路”参与国主要位于____和____半球,丝绸之路经济带主要连接亚洲和____洲。 (2)“一带一路”到达C地区为世界____(发展中/发达)国家集中的地区。 (3)郑和七下西洋,有六次经过A海峡,该海峡为马六甲海峡,是21世纪海上丝绸之路的重要节点,沟通____洋和____洋,通过海峡A的主要运输方式为____。 (4)中欧班列是高质量共建“一带一路”的互联与通大动脉,借助中欧班列,荷兰、德国的“跨境奶 粉”源源不断地输送到中国。欧洲西部地区草质优良,畜牧业发达。这主要得益于其____的气候特征,下 图中正确表示其气候类型的是____。 (5)“一带一路”开展十年来,中国与区域B和区域C在多个领域开展合作,这种属于____(南南合 作/南北对话),给双方带来巨大收益。举例说出我国倡导一带一路发展的战略意义____。 【答案】(1) ①. 东 ②. 北 ③. 欧 (2)发展中 (3) ①. 太平洋 ②. 印度洋 ③. 海上(洋)运输/水路运输 (4) ①. 冬无严寒,夏无酷暑,全年降水均匀 ②. C (5) ①. 南南合作 ②. 参与各国互利共赢、经济发展、文化交流 【解析】 【分析】本题以“一带一路”路线图为材料,考查大洲大洋的分布、国际合作、欧洲西部的气候、马六甲 海峡等知识,培养学生读图分析和知识运用能力。 【小问1详解】 读图可知,一带一路沿线主要是亚非欧国家,参与国主要位于东半球和北半球。丝绸之路经济带为陆上丝 绸之路,横穿亚欧大陆,主要连接亚洲和欧洲。 【小问2详解】 C地区为非洲,非洲是世界上发展中国家集中的地区,经济落后。 【小问3详解】 A是马六甲海峡,是21世纪海上丝绸之路的重要节点,也是海上重要的海峡和运输线,沟通太平洋和印度 洋。通过马六甲海峡的主要运输方式是海上运输。 【小问4详解】 欧洲西部地区草质优良,畜牧业发达。这主要是因为欧洲西部为温带海洋性气候,冬无严寒,夏无酷暑, 全年降水均匀,有利于牧草生长。气候类型与C图一致。A为冬雨型的地中海气候,B为热带草原气候, D为温带季风气候。 【小问5详解】的 区域B为东南亚,区域C为非洲,两地地区 国家和我国均属于发展中国家,所以属于南南合作。我 国倡导一带一路发展,可以使参与各国互利共赢、经济发展、文化交流,共同建设人类命运共同体。 27. 陆地地形是陆地表面各种高低起伏形态的总称。下图为各大洲陆地地形分布简图。读图,回答下列问 题。 (1)图中B地所处地形的形态特征为____。 (2)读图观察,南美洲的地形类型以____、____、____为主,地势____,A地形区为____。 (3)世界上海拔最高的高原是____洲的____(填字母),下列表示其环境特征的景观是____,此地主要 农业部门是____。 【答案】27. 中低周高(中间低四周高) 28. ①. 山地 ②. 平原 ③. 高原(可调) ④. 西高东低 ⑤. 亚马孙平原 29. ①. 亚 ②. E ③. ② ④. 畜牧业 【解析】 【分析】本大题以各大洲陆地地形分布简图为材料设置试题,涉及世界不同地形区的分布及名称、青藏地 区的农业等相关内容,考查学生掌握相关知识的能力,培养学生对地理知识运用的素养。【小问1详解】 读图可知,B是刚果盆地,该盆地是世界上面积最大的盆地,B地所处地形的形态特征为中间低四周高。 【小问2详解】 读图可知,南美洲的地形类型以山地、高原、平原,为主,地势西高东低,A地形区为亚马孙平原,是世 界最大的平原;南美洲有世界最长的山脉安第斯山脉。 【小问3详解】 读图可知,世界上海拔最高的高原是亚洲的E青藏高原,青藏高原海拔高,气温低,常年山上积雪覆盖为 ②,①是雨林景观、③是黄土高原的千沟万壑、④是草原景观;青藏高原气候高寒,不适合农作物的生长, 但是草场面积较大,故其主要的农业部门为畜牧业。 28. 唐宋以来,竹子、梅花与松树并称为“岁寒三友”,竹子“未出土时便有节,及凌云处尚虚心、宁折 不弯”这种荡气回肠的气节被人们广为称颂。竹子喜温暖湿润,对水热条件要求较高。下图为世界平均气 温及竹子分布图及A、B、C三地气候资料。读图,回答下列问题。 (1)读图可知,竹子主要分布地区多在____(纬度带),____、亚热带。 (2)世界气温分布规律是____,说明影响气温主要因素是____。穿过海洋的等温线与陆地上的等温线差异是____(至少两点)。 (3)竹子生长喜欢____环境,图中C地的年平均气温在____,分析C地区竹子分布密集的优势条件是____。 (4)A地的年平均气温在____之间。造成A地竹子分布较少主要影响因素是____。 【答案】(1) ①. 低纬度 ②. 热带 (2) ①. 气温从低纬度地区向高纬度地区逐渐降低 ②. 纬度位置 ③. 陆地等温线曲折;海洋 等温线平直;陆地等温线数量多;海洋等温线数量少 (3) ①. 温暖湿润 ②. 20~30℃(20℃以上) ③. 年均温高;降水丰沛 (4) ①. 0~20℃ ②. 地形 【解析】 【分析】本题以世界平均气温及竹子分布图及A、B、C三地气候资料为材料,设置四道小题,涉及纬度 划分、世界气温分布规律及影响因素等内容,考查学生对相关知识的掌握情况。 【小问1详解】 读图分析,竹子主要分布地区多在南北纬30°之间的低纬度地区,属于热带和亚热带。 【小问2详解】 读图分析,等温线大致沿纬线方向延伸,世界气温分布规律是从低纬度地区向高纬度地区逐渐降低,影响 气温主要因素是纬度位置;穿过海洋的等温线与陆地上的等温线差异是陆地等温线曲折,海洋等温线平直; 陆地等温线数量多,温差大;海洋等温线数量少。 【小问3详解】 读图可知,竹子的分布地主要集中在北半球20℃等温线以南,南半球20℃等温线以北地区,沿海地区多 于内陆,可推测竹子生长喜欢温暖湿润的环境;图中C位于亚洲东南部,位于北回归线以南的热带地区, 全年高温,年平均气温在20~30℃,C地区竹子分布密集的优势条件是年均温高;降水丰沛。 【小问4详解】 读图分析,A地位于青藏高原,海拔高,气温低,年平均气温在0~20℃之间,造成A地竹子分布较少主 要影响因素是地形。 29. 某校八年级学生分小组开展以“世界的居民”为主题的探究活动。图1为世界人口密度图,图2为世 界人口增长及预测图。回答下列问题。 第一小组:活动主题为“探究世界人口分布”。 资料1:人口密度是单位面积土地上居住的人口数。它是表示世界各地人口的密集程度的指标。(1)通过读图1可知,世界人口密度较大的地区,从纬度位置看多集中在____,从海陆位置看多集中在 ____,如亚洲的____和南部。同时,世界还有很多地区人口密度较小,从而可以得出结论:世界人口分布 特征____。 (2)图1中A、B、C、D四地均为人口____(稠密/稀疏)地区。第一小组对影响四地人口分布的自然原因 进行了讨论和分析,请对应正确连线: A地-----------a炎热干旱 B地-----------b气候湿热 C地-----------c终年严寒 D地-----------d地势高骏 A-____,B-____,C-____,D-____ 第二小组:活动主题为“探究世界人口增长”。 资料2:《世界人口展望》报告中指出,从各大洲的角度来看,除去南极洲,以发达国家为主的欧洲、 大洋洲和北美洲人口自然增长缓慢,全球人口增长主要依赖亚洲、非洲和南美洲。(3) 读图2可知,未来,世界人口数量将继续呈现____趋势。 (4)世界人口随时间增长速度不同,还存在着显著的地区差异,未来三四十年内人口增长较快的国家可 能会集中在____(非洲/欧洲)。 第三小组:活动主题为“探究世界的语言和宗教”。 (5)图1中①地区居民的语言是世界上使用人数最多的____,②地区居民多信奉____宗教。 【答案】(1) ①. 中低纬度 ②. 沿海 ③. 东部 ④. 分布不均 (2) ①. 稀疏 ②. b ③. d ④. a ⑤. c (3)增长 (4)非洲 (5) ①. 汉语 ②. 基督教 【解析】 【分析】本大题以世界人口密度图、世界人口增长及预测图为材料,设置五道小题,涉及世界人口分布及 原因、语言、宗教等内容,考查学生对相关知识的掌握情况。 【小问1详解】 读图分析,世界人口的分布很不均衡,从纬度位置看多集中在中低纬度,从海陆位置看多集中在沿海地区, 如亚洲的东部和南部,这里地形平坦,土壤肥沃,气候适宜,交通便利,适合居住。 【小问2详解】 读图分析,A地位于赤道附近,B地位于青藏高原,C地位于非洲北部,D地位于南极地区,四地均为人口 稀疏地区,原因是A地属于热带雨林气候,气候湿热,故连b;B地地势高骏,空气稀薄,故连d;C地属 于热带沙漠气候,炎热干旱,故连a;D地位于极地,纬度高,终年严寒,故连c。【小问3详解】 读图分析,未来,世界人口数量将继续呈现增长趋势,预计2100年到104亿。 【小问4详解】 由资料可知,世界人口增长在不同地区存在差异,未来三四十年内人口增长较快的国家可能会集中在非洲, 欧洲人口在减少。 【小问5详解】 读图分析,①地位于亚洲东部的中国,①地区居民的语言是世界上使用人数最多的汉语;②地位于欧洲西 部,居民多信奉基督教。