当前位置:首页>文档>精品解析:北京市房山区2022-2023学年八年级上学期期末生物试题(原卷版)(1)_北京初中期末题_C605-京七八九_B京生物七八九_北京八上生物_2022-2023

精品解析:北京市房山区2022-2023学年八年级上学期期末生物试题(原卷版)(1)_北京初中期末题_C605-京七八九_B京生物七八九_北京八上生物_2022-2023

  • 2026-04-02 16:21:32 2026-03-08 21:37:22

文档预览

精品解析:北京市房山区2022-2023学年八年级上学期期末生物试题(原卷版)(1)_北京初中期末题_C605-京七八九_B京生物七八九_北京八上生物_2022-2023
精品解析:北京市房山区2022-2023学年八年级上学期期末生物试题(原卷版)(1)_北京初中期末题_C605-京七八九_B京生物七八九_北京八上生物_2022-2023
精品解析:北京市房山区2022-2023学年八年级上学期期末生物试题(原卷版)(1)_北京初中期末题_C605-京七八九_B京生物七八九_北京八上生物_2022-2023
精品解析:北京市房山区2022-2023学年八年级上学期期末生物试题(原卷版)(1)_北京初中期末题_C605-京七八九_B京生物七八九_北京八上生物_2022-2023
精品解析:北京市房山区2022-2023学年八年级上学期期末生物试题(原卷版)(1)_北京初中期末题_C605-京七八九_B京生物七八九_北京八上生物_2022-2023
精品解析:北京市房山区2022-2023学年八年级上学期期末生物试题(原卷版)(1)_北京初中期末题_C605-京七八九_B京生物七八九_北京八上生物_2022-2023
精品解析:北京市房山区2022-2023学年八年级上学期期末生物试题(原卷版)(1)_北京初中期末题_C605-京七八九_B京生物七八九_北京八上生物_2022-2023
精品解析:北京市房山区2022-2023学年八年级上学期期末生物试题(原卷版)(1)_北京初中期末题_C605-京七八九_B京生物七八九_北京八上生物_2022-2023
精品解析:北京市房山区2022-2023学年八年级上学期期末生物试题(原卷版)(1)_北京初中期末题_C605-京七八九_B京生物七八九_北京八上生物_2022-2023
精品解析:北京市房山区2022-2023学年八年级上学期期末生物试题(原卷版)(1)_北京初中期末题_C605-京七八九_B京生物七八九_北京八上生物_2022-2023
精品解析:北京市房山区2022-2023学年八年级上学期期末生物试题(原卷版)(1)_北京初中期末题_C605-京七八九_B京生物七八九_北京八上生物_2022-2023
精品解析:北京市房山区2022-2023学年八年级上学期期末生物试题(原卷版)(1)_北京初中期末题_C605-京七八九_B京生物七八九_北京八上生物_2022-2023

文档信息

文档格式
docx
文档大小
3.176 MB
文档页数
12 页
上传时间
2026-03-08 21:37:22

文档内容

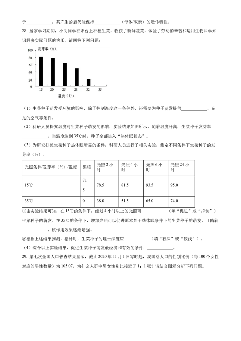
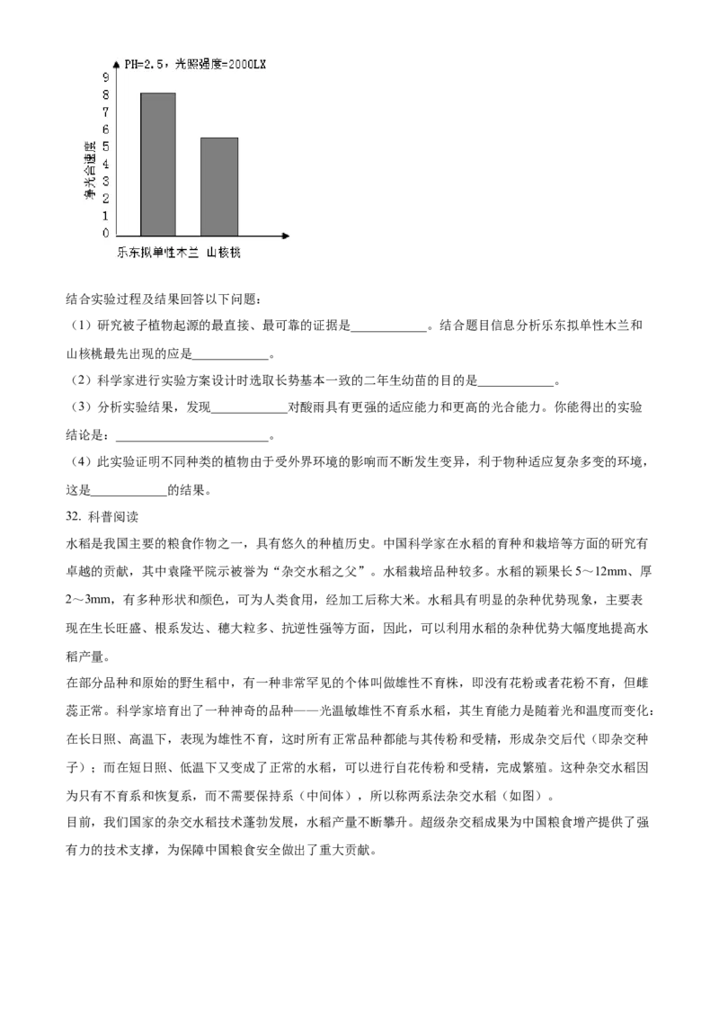
房山区 2022—2023 学年度第一学期诊断性评价 八年级生物 2022.12 一、单选题 1. 膝关节是人体最复杂的关节(如图甲)。骨性关节炎是--种常见老年病,当患者关节损伤严重时,可通 过人工关节置换手术来代替受损关节(如图乙)。下列有关叙述不正确的是( ) A. 结构①内有滑液,能使关节更加灵活 B. 结构③损伤后会影响关节的牢固性 C. 人工关节可替代受损的④关节头和⑥关节窝 D. 膝关节的复杂性体现在除基本结构外,还有髌骨和半月板等结构 2. 儿童和少年的骨弹性大、硬度小,原因是骨的成分中( ) A. 有机物约为2/3 B. 无机物约为2/3 C. 有机物稍多于1/3 D. 无机物少于1/3 3. 如图中胎儿与母体进行物质交换的结构是() . A ① B. ② C. ③ D. ④ 4. 青春期是人体生长发育的关键时期,下列关于青春期特点的描述中,错误的是( ) A. 生殖器官开始形成 B. 出现第二性征 C. 身高体重迅速增加 D. 心肺功能增强5. 如图表示青蛙的生活史,下列相关说法错误的是( ) A. 青蛙的抱对属于繁殖行为 B. 青蛙是体内受精、卵生的动物 C. 蝌蚪生活在水中,用鳃呼吸 D. 青蛙的发育方式属于变态发育 6. “衔泥燕,飞到画堂前”,唐代诗人牛峤的《忆江南·衔泥燕》形象地描绘出春燕筑巢的场景。下列有 关鸟类繁殖说法中正确的是( ) A. 筑巢是所有鸟类都有的繁殖行为 B. 春燕的筑巢行为与遗传因素无关 C. 春燕受精方式为体外受精 D. 雏燕由卵中的胚盘发育而来 7. 花生种子内部结构如图所示,下列相关叙述中错误的是( ) A. Ⅳ为子叶,含有丰富的营养物质 B. Ⅱ为胚芽,可以发育成幼苗的茎和叶 C. I为胚轴,连接胚芽和胚根 D. I、Ⅱ、Ⅲ共同组成种子的胚 8. 如图所示,酵母菌的生殖方式属于( ) A. 孢子生殖 B. 分裂生殖 C. 出芽生殖 D. 营养生殖 9. 在判断“豌豆的高茎和豌豆的红花是否是一对相对性状”时,某同学认为不是,他的理由是( ) A. 不属于同一物种 B. 不属于同一性状 C. 没有表现出不同的性状 D. 没有说清楚是不是在同一植株上 10. 下面与遗传有关的概念图中,①②③分别对应的是( )A. 基因 染色体 DNA B. 基因 DNA 染色体 C. 染色体 基因 DNA D. 染色体 DNA 基因 的 11. 如图是染色体和DNA 关系示意图。下列叙述正确的是( ) A. ①是DNA,②是蛋白质 B. 每个DNA分子上只有一个基因 C. 人体所有细胞中染色体都是成对存在的 D. 图中这条染色体的一半来自父方,一半来自母方 12. 2021年5月31日,国家全面放开三胎政策。儿女双全的小丽妈妈想再生一个。小丽妈妈第三胎生育的 一个男孩的概率及男孩体内Y染色体的来源分别是( ) A. 50%,父亲 B. 50%,母亲 C. 100%,母亲 D. 100%,父亲 13. 我国《婚姻法》规定,禁止近亲婚配,其医学依据是( ) A. 近亲婚配的后代必患遗传病 B. 近亲婚配的后代患隐性遗传病的几率增大 C. 人类的遗传病都是由隐性基因控制的 D. 近亲婚配与伦理道德不相符合 14. 下列不属于人类遗传病的是( ) . A 唐氏综合征 B. 扁桃体炎 C. 白化病 D. 红绿色盲 15. 2022年10月12日下午开讲的“天宫课堂”第三课上,航天员刘洋向大家展示了正在生长的水稻已经 进入了种子成熟期,这些种子带回我国后将会被种植,这种育种过程应用的方法是( ) A. 扦插 B. 杂交育种 C. 诱变育种 D. 转基因技术 16. 正常女性体细胞染色体的组成是( )A. 22条常染色体+X B. 22对常染色体+Y C. 22对常染色体+XY D. 22对常染色体+XX 17. 下图是孟德尔的豌豆杂交实验,请据图分析下列说法正确的是 A. 豌豆开花后,将纯种高茎豌豆花的雄蕊摘除进行人工授粉 B. F 代都是矮茎豌豆 1 C. 矮茎豌豆是显性性状 D. F 代自交,F 代发生性状分离 1 2 18. 原始地球的环境与现在有很大差别,据科学家推测,原始大气中没有的气体是( ) A. 水蒸气 B. 氧气 C. 二氧化碳 D. 氢气 19. 在周口店太平山北坡,科学工作者在考察中发现了一批珍贵的啮齿类化石,分布在甲、乙、丙三个不 同地层中如图所示。一般情况下这些地层中化石结构从简单到复杂依次是( ) A. 甲、乙、丙 B. 丙、乙、甲 C. 乙、甲、丙 D. 丙、甲、乙 20. 下列有关脊椎动物在地球上出现的时间,按照从早到晚的顺序正确的是( ) A. 两栖类、鱼类、爬行类、哺乳类、鸟类 B. 两栖类、鱼类、爬行类、鸟类、哺乳类 C. 鱼类、两栖类、爬行类、哺乳类、鸟类D. 鱼类、两栖类、爬行类、鸟类、哺乳类 21. 下列四类植物是我们身边常见的植物,它们在进化上从低等到高等的顺序依次是( ) A. ①④②③ B. ②④③① C. ①③②④ D. ④②①③ 22. 节肢动物是地球上种类最多的无脊椎动物,节肢动物鳃的进化如下图。下列叙述中错误的是( ) A. 鰓进化出的结构是不同的 B. 鰓的进化有利于适应生存环境 C. 鰓的进化与遗传、变异无关 D. 鰓的进化是自然选择的结果 23. 下列关于生物进化的叙述错误的是( ) A. 化石是生物进化的直接证据 B. 由水生到陆生是生物进化的趋势之一 C. 生物进化是自然选择的结果 D. 生物进化不受环境因素影响 24. 果农常用杀虫剂杀灭害虫,第一次使用效果显著,随着使用次数的增加,药效逐渐下降。下列对此现 象的解释,符合达尔文进化观点的是 A. 药效下降是因为害虫体表产生了保护膜 B. 害虫为了适应环境,产生了抗药性变异 C. 杀虫剂的选择,使具有耐药性的个体生存下来 D. 害虫能识别杀虫剂,可以趋利避害 25. 北京人遗址位于北京西南周口店龙骨山上,这处遗址最先于1921年被发现,后续又相继出土了40多 个个体的化石,这些为复原北京人的特征提供了重要证据。研究结果表明,人和猿的骨骼在结构上几乎相 同;人和猿的盲肠都有蚓突;在胚胎发育的五个月以前,也完全相同……这些事实说明了( ) A. 人是由猿进化而来的 B. 人和猿有共同的原始祖先C. 人比猿高等 D. 现代的猿也能进化成人 二、非选择题 26. 网球肘(肱骨外上髁炎)是由前臂伸肌重复用力引起的慢性撕拉伤。患者会在用力抓握或提举物体时 感到患部疼痛,常见于网球运动员。 (1)运动时,骨骼肌接受____________传来的兴奋而收缩,牵动____________绕关节活动,以完成该动 作。 (2)肘关节周围包裹着关节囊,内部形成的关节腔含有滑液,滑液的作用是____________。 (3)据图可知,频繁的伸缩和摩擦会造成伸肌中____________(肌腹或肌腱)撕裂损伤,产生疼痛。 (4)以下从业者,容易患上网球肘的是____________(多选)。 a.羽毛球运动员 b.足球运动员 c.中餐厨师 d.搬运工 (5)请根据网球肘的成因,为处于治疗康复阶段的网球肘患者提出一条合理可行的建议:____________。 27. 蟹爪兰是一种观赏植物,常见栽培品种有大红、粉红、杏黄和纯白色。蟹爪兰的叶退化,有扁平的叶 状变态茎,茎节间相连状如螃蟹爪,因此得名蟹爪兰。 (1)图1为蟹爪兰的花,雄蕊位于柱头下方,且始终紧贴在花柱外侧。①上的花粉落到②____________上, 完成传粉和____________作用,子房内的多粒____________发育成种子。 (2)研究表明,不同培养温度对蟹爪兰花粉萌发时间有影响,结果如下表。 温度(℃) 开始萌发(h) 基本萌发(h) 萌发结束(h) 萌发率% 15 3 6 32 9.8 20 2 5 29 10.7 据表分析:____________℃下蟹爪兰花粉萌发时间比较短,且萌发率较高,比较适宜蟹爪兰生长。 (3)蟹爪兰可利用嫁接的方式进行繁殖,如图2所示,嫁接植株A称为____________,这种繁殖方式属于____________,其产生的后代能保持____________(母体/双亲)的遗传特性。 28. 居家学习期间,小明同学在阳台上种植生菜,收获了新鲜蔬菜,体验了劳动的辛苦和运用生物科学知 识解决实际问题的快乐。请回答下列问题: (1)生菜种子萌发受环境的影响,除了控制温度这一条件外,还需要为种子萌发提供____________、充 足的空气等条件。 (2)科研人员探究温度对生菜种子萌发的影响,实验结果如图所示,随着温度升高,生菜种子发芽率 ____________,当温度达到35℃时,种子全部进入“热休眠状态”。 (3)为研究打破生菜种子热休眠所需的条件,科研人员进行了相关实验,测定不同条件下生菜种子的发 芽率(%)。 光照2小 光照4小 光照6小 光照24小 光照条件/发芽率(%)/温度 黑暗 时 时 时 时 . 71 15℃ 78.5 81.5 93.5 95.0 5 35℃ 0 38.0 51.5 65.0 74.0 ①由实验结果可知,在15℃的条件下,经过4小时以上的光照可____________(填“促进”或“抑制”) 生菜种子的萌发。在35℃的条件下,增加光照可以促进原本处于热休眠条件下的生菜种子的萌发,且随着 ____________,该作用效果逐渐增强。 ②根据上述结果推测,播种时,生菜种子的埋土深度应____________(填“较深”或“较浅”)。 (4)综合以上实验结果,促进生菜种子萌发最经济和有效的条件:____________。 29. 第七次全国人口普查结果显示,截止2020年11月1日零时起,我国总人口的性别比例(每100个女性 对应的男性数量)为105.07,为什么人群中男女性别比接近于1:1呢?请结合图示分析下列问题。(1)图甲和图乙是人类体细胞染色体图像,其中图____________表示的是女性,人体体细胞中染色体是 ____________对,第1-22对每对染色体在大小形态特征上基本相同,并与性别无关,称为____________染 色体,第23对与性别有关,称为性染色体。 的 (2)图丙中①形成 精子有含X染色体和②____________,受精卵③的性染色体组成是____________, ④的性别表现为____________(男/女)性,因此,与卵细胞结合的____________类型决定了男女的性别, 两种类型的精子与卵细胞结合机会均等,所以人群中男女性别比接近于1:1。 30. 大白菜的花色在育种过程中具有重要作用,因此科研人员对其花色进行了系列研究。 (1)大白菜的花具有黄色、白色和桔色之分,从遗传学角度,这反映了生物的____________现象。 (2)将不同花色的大白菜进行杂交,获得子一代,结果如表1。 组别 亲本 子一代 第I 桔色×黄色 黄色 组 第2 桔色×桔色 桔色 组 第3 黄色×黄色 桔色、黄色 组 表1 ①白菜花的桔色和黄色是一对____________性状,受一对基因(A、a)控制。 ②通过____________组分析可知,桔色是____________(显性/隐性)性状。第3组亲本的基因组成分别是 ____________。 (3)为探究不同花色的成因,科研人员做了进一步研究。 ①形成花色的色素位于花瓣细胞的____________(填图中字母)中。 花色 叶黄素含量(μg/g) 紫黄素含量(μg/g) 胡萝卜素含量(μg/g) 黄色 40 160 0桔色 380 10 14 ②据表2可知,花色的形成与色素的种类和____________有关。 31. 乐东拟单性木兰是比较古老的被子植物,起源于白垩纪,山核桃起源于第三纪古新世,是植物中起源 较晚的植物。科学家为了验证起源时间较长的植物具有较强适应性的假设,设置了重度酸雨(pH=2.5)处 理2种植物,并测定了这2种植物在相同光照强度下的净光合速率。 实验步骤及方案:每个植物选取长势基本一致的二年生幼苗各30株,并置于酸雨大棚内进行实验。取当地 土壤作为栽培土,每盆1株,常规管理。 实验结果见下表:结合实验过程及结果回答以下问题: (1)研究被子植物起源的最直接、最可靠的证据是____________。结合题目信息分析乐东拟单性木兰和 山核桃最先出现的应是____________。 (2)科学家进行实验方案设计时选取长势基本一致的二年生幼苗的目的是____________。 (3)分析实验结果,发现____________对酸雨具有更强的适应能力和更高的光合能力。你能得出的实验 结论是:________________________。 (4)此实验证明不同种类的植物由于受外界环境的影响而不断发生变异,利于物种适应复杂多变的环境, 这是____________的结果。 32. 科普阅读 水稻是我国主要的粮食作物之一,具有悠久的种植历史。中国科学家在水稻的育种和栽培等方面的研究有 卓越的贡献,其中袁隆平院示被誉为“杂交水稻之父”。水稻栽培品种较多。水稻的颖果长5~12mm、厚 2~3mm,有多种形状和颜色,可为人类食用,经加工后称大米。水稻具有明显的杂种优势现象,主要表 现在生长旺盛、根系发达、穗大粒多、抗逆性强等方面,因此,可以利用水稻的杂种优势大幅度地提高水 稻产量。 在部分品种和原始的野生稻中,有一种非常罕见的个体叫做雄性不育株,即没有花粉或者花粉不育,但雌 蕊正常。科学家培育出了一种神奇的品种——光温敏雄性不育系水稻,其生育能力是随着光和温度而变化: 在长日照、高温下,表现为雄性不育,这时所有正常品种都能与其传粉和受精,形成杂交后代(即杂交种 子);而在短日照、低温下又变成了正常的水稻,可以进行自花传粉和受精,完成繁殖。这种杂交水稻因 为只有不育系和恢复系,而不需要保持系(中间体),所以称两系法杂交水稻(如图)。 目前,我们国家的杂交水稻技术蓬勃发展,水稻产量不断攀升。超级杂交稻成果为中国粮食增产提供了强 有力的技术支撑,为保障中国粮食安全做出了重大贡献。(1)水稻叶片通过____________作用制造的糖类,由____________(填“导管”或“筛管”)运输到根、 茎和果实等其他部位。 (2)据材料可知,袁隆平院士首先发明的两系法杂交技术,其中雄性不育株,即花蕊中___________发育 正常,可知其在杂交的过程中提供的生殖细胞是____________。 (3)光温敏雄性不育株其生育能力是随着光和温度而变化,图中①的条件应该是____________。因此, 雄性不育这一性状是____________共同作用的结果。