当前位置:首页>文档>2023届高考数学冲刺必刷押题密03卷(考试版)_2.2025数学总复习_2023年新高考资料_二轮复习_考点2023年高考数学二轮复习讲义+训练(新高考专用)_2023届高考数学冲刺必刷押题密03卷

2023届高考数学冲刺必刷押题密03卷(考试版)_2.2025数学总复习_2023年新高考资料_二轮复习_考点2023年高考数学二轮复习讲义+训练(新高考专用)_2023届高考数学冲刺必刷押题密03卷

  • 2026-04-18 11:02:39 2026-03-09 08:46:58

文档预览

2023届高考数学冲刺必刷押题密03卷(考试版)_2.2025数学总复习_2023年新高考资料_二轮复习_考点2023年高考数学二轮复习讲义+训练(新高考专用)_2023届高考数学冲刺必刷押题密03卷
2023届高考数学冲刺必刷押题密03卷(考试版)_2.2025数学总复习_2023年新高考资料_二轮复习_考点2023年高考数学二轮复习讲义+训练(新高考专用)_2023届高考数学冲刺必刷押题密03卷
2023届高考数学冲刺必刷押题密03卷(考试版)_2.2025数学总复习_2023年新高考资料_二轮复习_考点2023年高考数学二轮复习讲义+训练(新高考专用)_2023届高考数学冲刺必刷押题密03卷
2023届高考数学冲刺必刷押题密03卷(考试版)_2.2025数学总复习_2023年新高考资料_二轮复习_考点2023年高考数学二轮复习讲义+训练(新高考专用)_2023届高考数学冲刺必刷押题密03卷
2023届高考数学冲刺必刷押题密03卷(考试版)_2.2025数学总复习_2023年新高考资料_二轮复习_考点2023年高考数学二轮复习讲义+训练(新高考专用)_2023届高考数学冲刺必刷押题密03卷
2023届高考数学冲刺必刷押题密03卷(考试版)_2.2025数学总复习_2023年新高考资料_二轮复习_考点2023年高考数学二轮复习讲义+训练(新高考专用)_2023届高考数学冲刺必刷押题密03卷
2023届高考数学冲刺必刷押题密03卷(考试版)_2.2025数学总复习_2023年新高考资料_二轮复习_考点2023年高考数学二轮复习讲义+训练(新高考专用)_2023届高考数学冲刺必刷押题密03卷

文档信息

文档格式
docx
文档大小
0.726 MB
文档页数
7 页
上传时间
2026-03-09 08:46:58

文档内容

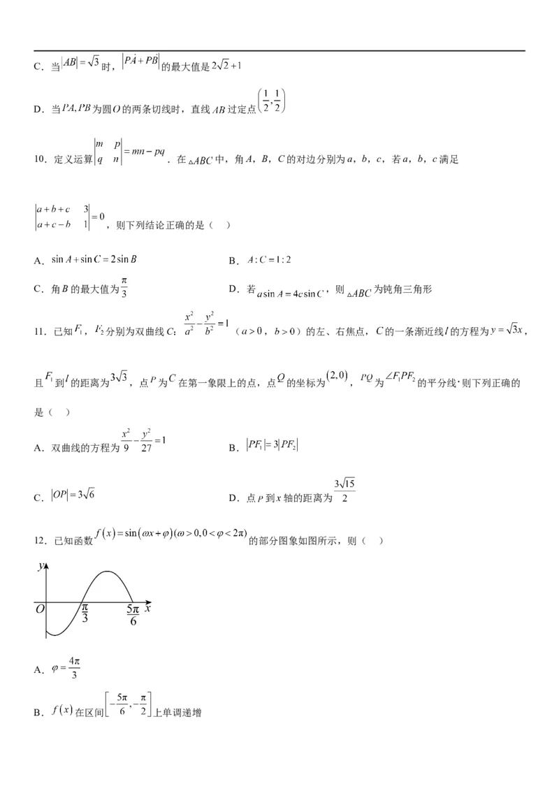
2023 届高考数学冲刺必刷押题密 03 卷 一、单项选择题:本题共8小题,每小题满分5分,共40分.在每小题给出的四个选项中,只有一项符合题目要 求,选对得5分,选错得0分. 1.已知复数 , 与 共轭, , 且 ,则 的值为( ) A.5 B.6 C.7 D.8 2.《周髀算经》中“侧影探日行”一文有记载:“即取竹空,径一寸,长八尺,捕影而视之,空正掩目,而日应 空之孔.”意谓:“取竹空这一望筒,当望筒直径d是一寸,筒长l是八尺时(注:一尺等于十寸),从筒中搜捕太 阳的边缘观察,则筒的内孔正好覆盖太阳,而太阳的外缘恰好填满竹管的内孔.”如图所示,O为竹空底面圆心,则 太阳角∠AOB的正切值为( ) A. B. C. D. 3.已知非空集合 , 其中 ,若满足 ,则 的取 值范围为( ) A. B. C. D. 4.在△ABC中,角A、B、C所对的边分别为a、b、c,且 ,若 ,则△ABC的形状 是( ) A.等腰三角形 B.直角三角形 C.等边三角形 D.等腰直角三角形5.如图, 是平行四边形 所在平面内的一点,且满足 , 则 ( ) A.2 B. C. D.1 6.已知抛物线 的焦点为 ,点 是抛物线 上一点,圆 与线段 相交于 点 ,且被直线 截得的弦长为 ,若 ,则 ( ) A. B. C. D. 7.若 ,( )试比较 的大小关系( ) A. B. C. D. 8.已知三棱锥 , 为 中点, ,侧面 底面 ,则过点 的平面 截该三棱锥外接球所得截面面积的取值范围为( ) A. B. C. D. 二、多项选择题:本题共4小题,每小题满分5分,共20分.在每小题给出的四个选项中,有多项符合题目要求。 全部选对得5分,部分选对得2分,有选错的得0分. 9.已知 为圆 上的两点, 为直线 上一动点,则( ) A.直线 与圆 相离 B.当 为两定点时,满足 的点 有2个C.当 时, 的最大值是 D.当 为圆 的两条切线时,直线 过定点 10.定义运算 .在 中,角A,B,C的对边分别为a,b,c,若a,b,c满足 ,则下列结论正确的是( ) A. B. C.角B的最大值为 D.若 ,则 为钝角三角形 11.已知 , 分别为双曲线C: ( , )的左、右焦点, 的一条渐近线 的方程为 , 且 到 的距离为 ,点 为 在第一象限上的点,点 的坐标为 , 为 的平分线 则下列正确的 是( ) A.双曲线的方程为 B. C. D.点 到 轴的距离为 12.已知函数 的部分图象如图所示,则( ) A. B. 在区间 上单调递增C.将函数 图象上各点横坐标变为原来的 (纵坐标不变),再将所得图象向右平移 个单位长度,可得 函数 的图象 D.函数 的零点个数为7 三、填空题:本题共4小题,每小题5分,共20分,其中16题第一空2分,第二空3分。 13.已知函数 ( )的图象关于 轴对称,且与直线 相切,写出满足上述条件的一个函 数 ______. 14.已知向量 与 的夹角为 ,且 , ,若 与 的夹角为锐角,则 的取值范围是 _______. 15.在平面直角坐标系 中,已知圆 , ,直线 与圆 相切,与圆 相交于 , 两点,分别以点 , 为切点作圆 的切线 , 设直线 , 的交点为 ,则 的最大值为__________. 16.已知数列 的各项都是正数, 若数列 各项单调递增,则首项 的取值范围是 __________ 当 时,记 ,若 ,则整数 __________. 四、解答题:本题共6小题,共70分。解答应写出文字说明、证明过程或演算步骤。 17.记 的三个内角A,B,C所对的边分别为a,b,c, . (1)求A; (2)若 ,求 的面积的最大值. 18.记 为数列 的前 项和,已知 .(1)求 的通项公式; (2)令 ,记数列 的前 项和为 ,试求 除以3的余数. 19.党的二十大胜利召开,某单位组织举办“百年党史”知识对抗赛,组委会将参赛人员随机分为若干组,每组 均为两名选手,每组对抗赛开始时,组委会随机从百年党史题库抽取 道抢答试题,每位选手抢到每道试题的机会 相等 比赛细则为:选手抢到试题且回答正确得 分,对方选手得 分 选手抢到试题但回答错误或没有回答得 分,对方选手得 分 道题目抢答完毕后得分多者获胜 已知甲、乙两名选手被分在同一组进行对抗赛,每道试题 甲回答正确的概率为 ,乙回答正确的概率为 ,两名选手每道试题回答是否正确相互独立. (1)求乙同学得 分的概率 (2)记 为甲同学的累计得分,求 的分布列和数学期望. 20.如图,在以P,A,B,C,D为顶点的五面体中,四边形ABCD为等腰梯形, ∥ , , 平面 平面 , . (1)求证:平面 平面 ; (2)若二面角 的余弦值为 ,求直线PD与平面PBC所成角的正弦值. 21.已知椭圆 的上顶点为 ,过点 且与 轴垂直的直线被截得的线段长为 . (1)求椭圆 的标准方程﹔ (2)设直线 交椭圆 于异于点 的 两点,以 为直径的圆经过点 线段 的中垂线 与 轴的交点为 ,求 的取值范围. 22.已知函数 ,其中 为实数, 为自然对数底数, . (1)已知函数 , ,求实数 取值的集合 (2)已知函数 有两个不同极值点 、 . ①求实数 的取值范围 ②证明: .