当前位置:首页>文档>2023年高考押题预测卷01(新高考Ⅰ卷)-数学(考试版)A4_2.2025数学总复习_2023年新高考资料_42023年高考数学押题预测卷

2023年高考押题预测卷01(新高考Ⅰ卷)-数学(考试版)A4_2.2025数学总复习_2023年新高考资料_42023年高考数学押题预测卷

  • 2026-04-10 01:09:41 2026-03-09 13:43:50

文档预览

2023年高考押题预测卷01(新高考Ⅰ卷)-数学(考试版)A4_2.2025数学总复习_2023年新高考资料_42023年高考数学押题预测卷
2023年高考押题预测卷01(新高考Ⅰ卷)-数学(考试版)A4_2.2025数学总复习_2023年新高考资料_42023年高考数学押题预测卷
2023年高考押题预测卷01(新高考Ⅰ卷)-数学(考试版)A4_2.2025数学总复习_2023年新高考资料_42023年高考数学押题预测卷
2023年高考押题预测卷01(新高考Ⅰ卷)-数学(考试版)A4_2.2025数学总复习_2023年新高考资料_42023年高考数学押题预测卷
2023年高考押题预测卷01(新高考Ⅰ卷)-数学(考试版)A4_2.2025数学总复习_2023年新高考资料_42023年高考数学押题预测卷
2023年高考押题预测卷01(新高考Ⅰ卷)-数学(考试版)A4_2.2025数学总复习_2023年新高考资料_42023年高考数学押题预测卷
2023年高考押题预测卷01(新高考Ⅰ卷)-数学(考试版)A4_2.2025数学总复习_2023年新高考资料_42023年高考数学押题预测卷

文档信息

文档格式
docx
文档大小
0.507 MB
文档页数
7 页
上传时间
2026-03-09 13:43:50

文档内容

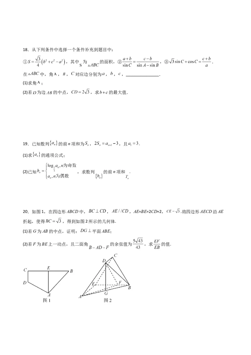
2023 年高考押题预测卷 01【新高考Ⅰ卷】 数 学 (考试时间:120分钟 试卷满分:150分) 注意事项: 1.答卷前,考生务必将自己的姓名、准考证号等填写在答题卡和试卷指定位置上。 2.回答选择题时,选出每小题答案后,用铅笔把答题卡上对应题目的答案标号涂黑。如 需改动,用橡皮擦干净后,再选涂其他答案标号。回答非选择题时,将答案写在答题卡上。写 在本试卷上无效。 3.考试结束后,将本试卷和答题卡一并交回。 第Ⅰ卷 一、单项选择题:本题共8小题,每小题5分,共40分.在每小题给出的四个选项中,只有一项是符合题 目要求. 1.已知集合 , ,则 中的元素个数为( ) A.3 B.4 C.5 D.6 2.已知 , 为虚数单位,则 ( ) A. B. C. D. 3.某班级有50名学生,期末考试数学成绩服从正态分布 ,已 ,则 的学生人数为( ) A.5 B.10 C.20 D.30 4.已知直四棱柱 的底面为正方形, , 为 的中点,则过点 , 和 的平面截直四棱柱 所得截面的面积为( ) A. B. C. D. 5.已知函数 ,若 使得 的图象在点 处的切线与 轴平行,则 的最小值是( ) A. B.1 C. D.26.已知焦点在x轴上的椭圆C: 上顶点A与右顶点C连线与过下顶点B和右焦点F 的直线交于点P,若 为钝角,则椭圆的离心率的取值范围是( ) A. B. C. D. 7.已知 ,若 是方程 的一个解,则 可能存在的区间是( ) A. B. C. D. 8.十七世纪法国数学家、被誉为业余数学家之王的皮埃尔·德·费马提出的一个著名的几何问题:“已知一 个三角形,求作一点,使其与这个三角形的三个顶点的距离之和最小”它的答案是:当三角形的三个角均 小于120°时,所求的点为三角形的正等角中心,即该点与三角形的三个顶点的连线两两成角 ;当三角 形有一内角大于或等于 时,所求点为三角形最大内角的顶点.在费马问题中所求的点称为费马点.已 知 分别是 三个内角 的对边,且 , ,若点P为 的费马点,则 ( ) A. B. C. D. 二、多项选择题:本题共4小题,每小题5分,共20分.在每小题给出的选项中,有多项符合题目要求.全 部选对的得5分,部分选对的得2分,有选错的得0分. 9.2022年6月,某学校为宣传我国第三艘航空母舰“中国人民解放军海军福建舰”下水试航,增强学生 的国防意识,组织了一次“逐梦深蓝,山河荣耀”国防知识竞赛,对100名学生的参赛成绩进行统计,可 得到如图所示的频率分布直方图,其中分组的区间为 ,为进一步了 解学生的答题情况,通过分层抽样,从成绩在区间 内的学生中抽取6人,再从这6人中先后抽取2 人的成绩作分析,下列结论正确的是( ) A.频率分布直方图中的 B.估计100名学生成绩的中位数是85 C.估计100名学生成绩的80%分位数是95 D.从6人中先后抽取2人作分析时,若先抽取的学生成绩位于 ,则后抽取 的学生成绩在 的概率是 10.已知 为定义在 上的偶函数,则函数 的解析式可以为( ) A. B. C. D.11.如图,在棱长为2的正方体 中,E为边AD的中点,点P为线段 上的动点,设 ,则( ) A.当 时,EP//平面 B.当 时, 取得最小值,其值为 C. 的最小值为 D.当 平面CEP时, 12.在平面直角坐标系xOy中,A为坐标原点, ,点列P在圆 上,若对于 ,存在数列 , ,使得 ,则下列说法正确的是( ) A. 为公差为2的等差数列 B. 为公比为2的等比数列 C. D. 前n项和 第Ⅱ卷 三、填空题:本题共4小题,每小题5分,共20分,其中第16题第一空2分,第二空3分. 13.已知向量 , 的夹角为 ,且 ,则向量 在向量 上的投影向量为__________. 用 表示 14.已知函数 ,则曲线 在 处的切线方程为__________. 15.冰雹猜想是指:一个正整数 ,如果是奇数就乘以 再加 ,如果是偶数就析出偶数因数 ,这样经过 若干次,最终回到 .问题提出八十多年来,许多专业数学家前仆后继,依然无法解决这个问题,已知正 整数列 满足 ,若存在首项 ,使得 ,已知 ,则 ___________.(写出一个满足条件的值即可) 16.某同学在学习和探索三角形相关知识时,发现了一个有趣的性质:将锐角三角形三 条边所对的外接圆的三条圆弧(劣弧)沿着三角形的边进行翻折,则三条圆弧交于该三 角形内部一点,且此交点为该三角形的垂心(即三角形三条高线的交点).如图,已知锐 角 外接圆的半径为2,且三条圆弧沿 三边翻折后交于点 .若 ,则___________;若 ,则 的值为___________. 四、解答题:本小题共6小题,共70分,其中第17题10分,18~22题12分。解答应写出文字说明、证明 过程或演算步骤. 17.为加快推动旅游业复苏,进一步增强居民旅游消费意愿,山东省人民政府规定自2023年1月21日起 至3月31日在全省实施景区门票减免,全省国有A级旅游景区免首道门票,鼓励非国有A级旅游景区首道 门票至少半价优惠.本次门票优惠几乎涵盖了全省所有知名的重点景区,据统计,活动开展以来游客至少 去过两个及以上景区的人数占比约为90%.某市旅游局从游客中随机抽取100人(其中年龄在50周岁及以 下的有60人)了解他们对全省实施景区门票减免活动的满意度,并按年龄(50周岁及以下和50周岁以 上)分类统计得到如下不完整的 列联表: 不满 满意 总计 意 50周岁及以下 55 50周岁以上 15 总计 100 (1)根据统计数据完成以上 列联表,并根据小概率值 的独立性检验,能否认为对全省实施景区 门票减免活动是否满意与年龄有关联? (2)现从本市游客中随机抽取3人了解他们的出游情况,设其中至少去过两个及以上景区的人数为 ,若以 本次活动中至少去过两个及以上景区的人数的频率为概率. ①求 的分布列和数学期望; ②求 . 参考公式及数据: ,其中 . 0.100 0.050 0.010 0.001 2.706 3.841 6.635 10.82818.从下列条件中选择一个条件补充到题目中: ① ,其中 为 的面积,② ,③ . 在 中,角 , , 对应边分别为 , , ,_______________. (1)求角 ; (2)若 为边 的中点, ,求 的最大值. 19.已知数列 的前n项和为 , ,且 . (1)求 的通项公式; (2)已知 ,求数列 的前n项和 . 20.如图1,在四边形ABCD中, , ,AE=BE=2CD=2, .将四边形AECD沿AE 折起,使得 ,得到如图2所示的几何体. (1)若G为AB的中点,证明: 平面ABE; (2)若F为BE上一动点,且二面角 的余弦值为 ,求 的值.21.如图:小明同学先把一根直尺固定在画板上面,把一块三角板的一条直角边紧靠在直尺边沿,再取一 根细绳,它的长度与另一直角边相等,让细绳的一端固定在三角板的顶点A处,另一端固定在画板上点F 处,用铅笔尖扣紧绳子(使两段细绳绷直),靠住三角板,然后将三角板沿着直尺上下滑动,这时笔尖在 平面上画出了圆锥曲线C的一部分图象.已知细绳长度为3,经测量,当笔尖运动到点P处,此时, .设直尺边沿所在直线为a,以过F垂直于直尺的直线为x轴,以过F垂直于a的 垂线段的中垂线为y轴,建立平面直角坐标系. (1)求曲线C的方程; (2)斜率为k的直线过点 ,且与曲线C交于不同的两点M,N,已知k的取值范围为 ,探究:是 否存在 ,使得 ,若存在,求出 的范围,若不存在,说明理由. 22.已知函数 , 为 的导函数. (1)当 时,若 在[ 上的最大值为 ,求 ; (2)已知 是函数f(x)的两个极值点,且 ,若不等式 恒成立,求正数m的取值范围.