当前位置:首页>文档>2023年高考押题预测卷03(天津卷)-数学(全解全析)_2.2025数学总复习_2023年新高考资料_42023年高考数学押题预测卷_2023年高考押题预测卷03(天津卷)-数学

2023年高考押题预测卷03(天津卷)-数学(全解全析)_2.2025数学总复习_2023年新高考资料_42023年高考数学押题预测卷_2023年高考押题预测卷03(天津卷)-数学

  • 2026-03-10 00:18:08 2026-03-10 00:18:08

文档预览

2023年高考押题预测卷03(天津卷)-数学(全解全析)_2.2025数学总复习_2023年新高考资料_42023年高考数学押题预测卷_2023年高考押题预测卷03(天津卷)-数学
2023年高考押题预测卷03(天津卷)-数学(全解全析)_2.2025数学总复习_2023年新高考资料_42023年高考数学押题预测卷_2023年高考押题预测卷03(天津卷)-数学
2023年高考押题预测卷03(天津卷)-数学(全解全析)_2.2025数学总复习_2023年新高考资料_42023年高考数学押题预测卷_2023年高考押题预测卷03(天津卷)-数学
2023年高考押题预测卷03(天津卷)-数学(全解全析)_2.2025数学总复习_2023年新高考资料_42023年高考数学押题预测卷_2023年高考押题预测卷03(天津卷)-数学
2023年高考押题预测卷03(天津卷)-数学(全解全析)_2.2025数学总复习_2023年新高考资料_42023年高考数学押题预测卷_2023年高考押题预测卷03(天津卷)-数学
2023年高考押题预测卷03(天津卷)-数学(全解全析)_2.2025数学总复习_2023年新高考资料_42023年高考数学押题预测卷_2023年高考押题预测卷03(天津卷)-数学
2023年高考押题预测卷03(天津卷)-数学(全解全析)_2.2025数学总复习_2023年新高考资料_42023年高考数学押题预测卷_2023年高考押题预测卷03(天津卷)-数学
2023年高考押题预测卷03(天津卷)-数学(全解全析)_2.2025数学总复习_2023年新高考资料_42023年高考数学押题预测卷_2023年高考押题预测卷03(天津卷)-数学
2023年高考押题预测卷03(天津卷)-数学(全解全析)_2.2025数学总复习_2023年新高考资料_42023年高考数学押题预测卷_2023年高考押题预测卷03(天津卷)-数学
2023年高考押题预测卷03(天津卷)-数学(全解全析)_2.2025数学总复习_2023年新高考资料_42023年高考数学押题预测卷_2023年高考押题预测卷03(天津卷)-数学
2023年高考押题预测卷03(天津卷)-数学(全解全析)_2.2025数学总复习_2023年新高考资料_42023年高考数学押题预测卷_2023年高考押题预测卷03(天津卷)-数学
2023年高考押题预测卷03(天津卷)-数学(全解全析)_2.2025数学总复习_2023年新高考资料_42023年高考数学押题预测卷_2023年高考押题预测卷03(天津卷)-数学
2023年高考押题预测卷03(天津卷)-数学(全解全析)_2.2025数学总复习_2023年新高考资料_42023年高考数学押题预测卷_2023年高考押题预测卷03(天津卷)-数学
2023年高考押题预测卷03(天津卷)-数学(全解全析)_2.2025数学总复习_2023年新高考资料_42023年高考数学押题预测卷_2023年高考押题预测卷03(天津卷)-数学
2023年高考押题预测卷03(天津卷)-数学(全解全析)_2.2025数学总复习_2023年新高考资料_42023年高考数学押题预测卷_2023年高考押题预测卷03(天津卷)-数学
2023年高考押题预测卷03(天津卷)-数学(全解全析)_2.2025数学总复习_2023年新高考资料_42023年高考数学押题预测卷_2023年高考押题预测卷03(天津卷)-数学
2023年高考押题预测卷03(天津卷)-数学(全解全析)_2.2025数学总复习_2023年新高考资料_42023年高考数学押题预测卷_2023年高考押题预测卷03(天津卷)-数学
2023年高考押题预测卷03(天津卷)-数学(全解全析)_2.2025数学总复习_2023年新高考资料_42023年高考数学押题预测卷_2023年高考押题预测卷03(天津卷)-数学
2023年高考押题预测卷03(天津卷)-数学(全解全析)_2.2025数学总复习_2023年新高考资料_42023年高考数学押题预测卷_2023年高考押题预测卷03(天津卷)-数学
2023年高考押题预测卷03(天津卷)-数学(全解全析)_2.2025数学总复习_2023年新高考资料_42023年高考数学押题预测卷_2023年高考押题预测卷03(天津卷)-数学

文档信息

文档格式
docx
文档大小
4.901 MB
文档页数
20 页
上传时间
2026-03-10 00:18:08

文档内容

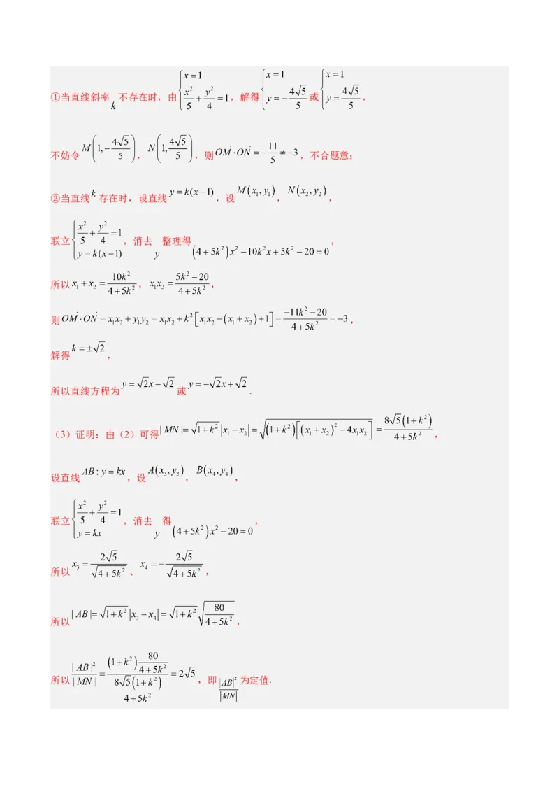
绝密★启用前 2023 年高考押题预测卷 03 数学(天津卷) (考试时间:120分钟 试卷满分:150分) 注意事项: 1.本试卷分第Ⅰ卷(选择题)和第Ⅱ卷(非选择题)两部分。答卷前,考生务必将自己的姓名、准 考证号填写在答题卡上。 2.回答第Ⅰ卷时,选出每小题答案后,用2B铅笔把答题卡上对应题目的答案标号涂黑。如需改动, 用橡皮擦干净后,再选涂其他答案标号。写在本试卷上无效。 3.回答第Ⅱ卷时,将答案写在答题卡上。写在本试卷上无效。 4.考试结束后,将本试卷和答题卡一并交回。 第Ⅰ卷(共 45 分) 一、选择题:本题共9个小题,每小题5分,共45分.每小题给出的四个选项只有一个符合 题目要求. 1.已知集合 , ,则 ( ) A. B. C. D. 【答案】A 【详解】由题意得, , 所以 , , 所以 . 故选:A. 2.“ ”是“ ”的( ) A.充分不必要条件 B.必要不充分条件 C.充要条件 D.既不充分也不必要条件【答案】A 【详解】不等式 等价于 , 由 可推出 , 由 不一定能推出 ,例如 时, ,但 , 所以“ ”是“ ”的充分不必要条件. 故选:A. 3.已知函数 ,函数 的图象大致是( ) A. B. C. D. 【答案】B 【详解】 ,令 得 或 , 故函数 有两个零点0,2,故A、C错误; 又因为 , 当 或 时, ,当 时, , 所以函数 在 和 上单调递增,在 上单调递减,故函数 在 处取得极大值,在 处取得极小值,故D错.故选:B. 4.已知 , , ,则 、 、 的大小关系为( ) A. B. C. D. 【答案】C 【详解】因为 ,所以, ,则 , 因为 , 所以, ,则 ,所以 因为 ,即 ,因此, . 故选:C. 5.2022年8月,中科院院士陈发虎带领他的团队开始了第二次青藏高原综合科学考察.在科考期间,陈 院士为同行的科研人员讲解专业知识,在空气稀薄的高原上开设了“院士课堂”.已知某地大气压强与海 平面大气压强之比为b,b与该地海拔高度h满足关系: (k为常数,e为自然对数的底).若科考 队算得A地 ,珠峰峰顶处 ,则A地与珠峰峰顶高度差约为( ) A. B. C. D. 【答案】B 【详解】令A地与珠峰峰顶的海拔高度分别为 ,依题意, , , 即 , ,解得 , 所以A地与珠峰峰顶高度差为 .故选:B 6.距今5000年以上的仰韶遗址表明,我们的先人们居住的是一种茅屋,如图1所示,该茅屋主体是一个 正四棱锥,侧面是正三角形,且在茅屋的一侧建有一个入户甬道,甬道形似从一个直三棱柱上由茅屋一个 侧面截取而得的几何体,一端与茅屋的这个侧面连在一起,另一端是一个等腰直角三角形.图2是该茅屋 主体的直观图,其中正四棱锥的侧棱长为6m, , , ,点D在正四棱 锥的斜高PH上, 平面ABC且 .不考虑建筑材料的厚度,则这个茅屋(含甬道)的室内 容积为( ) A. B. C. D. 【答案】B 【详解】设 为正四棱锥底面中心,连接 , 则 , , , 取 的中点 ,连接 ,过 作 于 ,则 .在直角 中 . 过 作 交 于 连接 . 则 , 所求体积 故选:B 7.已知函数 的图象如图所示,图象与x轴的交点为 ,与 y轴的交点为N,最高点 ,且满足 .若将 的图象向左平移1个单位得到的图象对应的 函数为 ,则 ( ) A. B.0 C. D. 【答案】A 【详解】由图象可知, ,所以 ,又 ,所以 , 所以 ,又 ,所以 , 又 ,所以 ,所以 ,所以点 的坐标为 ,因为 ,所以 ,即 ,又 , 解得 ,所以 ,将 的图象向左平移1个单位, 得到的图象对应的函数为 , 所以 ,故B,C,D错误. 故选:A. 8.已知双曲线C: 的离心率为2,左、右焦点分别为 , ,点A在双曲线C上, 若 的周长为10a,则 的面积为( ) A. B. C. D. 【答案】B 【详解】由双曲线的对称性不妨设点A在双曲线的右支上, 由 ,得 ,于是 的周长为 ,∵ 的周长为 10a,∴ . 又∵ ,∴ , . 在 中, , ∴ . ∴ . ∴ . 故选:B.9. ,若 有且只有两个零点,则实数m的取值范围是( ) A. 或 B. 或 C. 或 D. 或 【答案】D 【详解】当 时, , , 当 时, ,函数单调递增; 当 , ,函数单调递减, , 当 时, ,其图像可以由 向左平移一个单位, 再向下平移 个单位,再把 轴上方的图像翻折到 下方得到, 画出函数图像,如图所示: ,当 时, ,无零点; 当 时, ,即 , 函数有两个零点,即函数图像有两个交点, 根据图像知: 或 ,解得 或 . 故选:D. 第Ⅱ卷(共 105 分)二、填空题(本大题共6个小题,每小题5分,共30分.把答案填在题中横线上.) 10. 是虚数单位,数 ,则 ______. 【答案】 / 【详解】 , 所以 , 故答案为: . 11.已知 的展开式中 的系数为 ,则实数a的值是________. 【答案】2 【详解】 的通项公式为 , 所以 , 令 ,则 的展开式中 的系数为 ; 令 ,则 的展开式中 的系数为 ; 故 的展开式中 的系数为 , . 故答案为:2. 12.过点 作圆 的两条切线,切点分别为A、B,则直线AB方程是________. 【答案】 【详解】圆 的圆心为 , 半径为 2, 以 为直径的圆的方程为 , 将两圆的方程相减可得公共弦 所在直线的方程 . 故答案为: .13.设 且 , ,则 的范围为______________. 【答案】 【详解】由 且 ,得 , ,且 ①, 又因为 ,可得 ②, 由①②可知: , 是方程 的两个不等的实根, 于是 ,解得: , 且 ,则 , 则 , 所以 的范围为 . 故答案为: . 14.为了组建一支志愿者队伍,欲从3名男志愿者,3名女志愿者中随机抽取3人聘为志愿者队的队长, 则在“抽取的3人至少有一名男志愿者”的前提下“抽取的3人中全是男志愿者”的概率是________,若 用X表示抽取的三人中女志愿者的人数,则 ________. 【答案】 / 【详解】设事件 “抽取的3人至少有一名男志愿者”,事件 “抽取的3人中全是男志愿者” ,则 , 即在“抽取的3人至少有一名男志愿者”的前提下“抽取的3人中全是男志愿者”的概率是 . X可取 ,, 则 故答案为: ; 15.窗花是贴在窗子或窗户上的剪纸,是中国古老的传统民间艺术之一,图l是一个正八边形窗花隔断, 图2是从窗花图中抽象出的几何图形的示意图.如图2,正八边形ABCDEFGH中,若 ,则 的值为______;若正八边形ABCDEFGH的边长为2,P是正八边形 ABCDEFGH八条边上的动点,则 的取值范围是______. 【答案】 【详解】 ,以点 为坐标原点,分别以 所在直线为 轴,建立平面直角坐标系, 正八边形内角和为 ,则 , 所以, ,, 因为 ,则 , 所以 ,解得 , 所以 ; 设 ,则 ,则 , 令 ,即 ,由线性规划知平行移动直线 ,当此直线经过 时 有最小值 , 当 此直线经过 时 有最大值 , 所以, 取值范围 . 故答案为: , . 三、解答题:(本大题5个题,共75分) 16.在锐角 中,内角A,B,C所对的边分别为a,b,c,且 . (1)求A的大小; (2)若 ,求a的取值范围. 【详解】(1)在锐角 中,由 及正弦定理得 , 因为 ,则 ,而 ,因此 , 即 ,又 , 所以 . (2)由 及余弦定理得: ,解得 ,由正弦定理 得: , 由 及 得: , ,于是 , 所以a的取值范围是 . 17.已知底面 是正方形, 平面 , , ,点 、 分别为线段 、 的中点. (1)求证: 平面 ; (2)求平面 与平面 夹角的余弦值; (3)线段 上是否存在点 ,使得直线 与平面 所成角的正弦值是 ,若存在求出 的值, 若不存在,说明理由. 【详解】(1)证明:法一:分别取 、 的中点 、 ,连接 、 、 , 由题意可知点 、 分别为线段 、 的中点.所以 , , 因为 ,所以 ,所以点 、 、 、 四点共面, 因为 、 分别为 、 的中点,所以 , 因为 平面 , 平面 ,所以 平面 , 又因为 , 平面 , 平面 ,所以 平面 , 又因为 , 、 平面 ,所以平面 平面 , 因为 平面 ,所以 平面 ;法二:因为 为正方形,且 平面 ,所以 、 、 两两互相垂直, 以点 为坐标原点,以 、 、 所在直线分别为 、 、 轴建立如下图所示的空间直角坐标系, 则 、 、 、 、 、 , 所以 ,易知平面 的一个法向量 , 所以 ,所以 , 又因为 平面 ,所以 平面 . (2)解:设平面 的法向量 , , , 则 ,取 ,可得 , 所以平面 的一个法向量为 , 易知平面 的一个法向量 ,设平面 与平面 夹角为 , 则 ,所以平面 与平面 夹角余弦值为 ; (3)解:假设存在点 ,使得 ,其中 , 则 , 由(2)得平面 的一个法向量为 , 由题意可得 , 整理可得 .即 , 因为 ,解得 或 ,所以, 或 . 18.设椭圆 的一个顶点与抛物线 的焦点重合, , 分别是椭圆的左、右 焦点,离心率 ,过椭圆右焦点 的直线 与椭圆 交于 , 两点. (1)求椭圆 的方程; (2)若 ,求直线 的方程; (3)已知直线 斜率存在,若 是椭圆 经过原点 的弦,且 ,求证: 为定值. 【详解】(1)抛物线 的焦点为 , 由题意得 , 解得 , ,所以椭圆 的方程为 . (2)由(1)可得 ,由题意知,直线 与椭圆必相交,①当直线斜率 不存在时,由 ,解得 或 , 不妨令 , ,则 ,不合题意; ②当直线 存在时,设直线 ,设 , , 联立 ,消去 整理得 , 所以 , , 则 , 解得 , 所以直线方程为 或 . (3)证明:由(2)可得 , 设直线 ,设 , , 联立 ,消去 得 , 所以 、 , 所以 , 所以 ,即 为定值.19.在公差不为零的等差数列 和等比数列 中, 为 的前 项和.已知 ,且 是 与 的等比中项. (1)求 和 的通项公式; (2)记数列 的前 项和为 ,求 ; (3)求 . 【详解】(1)设 的公差为 , 的公比为 ,由题意 ,即 , ∵ ,解得 ,∴ ,∴ . ∵ ,∴ ,∴ ∴ . (2) ∴ ① ∴ ② ① ②得∴ . (3) 当 为偶数时, 当 为奇数时, ∴ 20.已知函数 . (1)当 时,求曲线 在点 处的切线方程; (2)求 的单调区间; (3)若函数 有两个极值点 ,求证: . 【详解】(1)当a=1时, , 所以 , 故切点坐标为 , 又 , 所以 ,故切线的斜率为 , 由点斜式可得, ,即 , 故曲线y=f(x)在点(1,f(1))处的切线方程为 ; (2) 的定义域为 , 又 , ①当 ,即 时, 在 上恒成立, 故 在 上单调递减; ②当 ,即 或 , 令 ,解得 , 若 时,则当 或 时, , 当 时, , 所以 在 上单调递减,在 上单调递增; 若 时, 在 上恒成立, 故 在 上单调递减. 综上所述,当 时, 在 上单调递减, 当 时, 在 上单调递减,在 上单调递增. (3)由(2)可知,当 时,f(x)有两个极值点 , 则 ,由题意可得, , 则 , 令 , 则 , 当 时, ,则 单调递增, 当 时, ,则 单调递减, 故当 时, 取得最大值 , 所以 .
基本 文件 流程 错误 SQL 调试
  1. 请求信息 : 2026-03-10 00:18:30 HTTP/1.1 GET : https://www.yeyulingfeng.com/wendang/367970.html
  2. 运行时间 : 0.094689s [ 吞吐率:10.56req/s ] 内存消耗:5,278.48kb 文件加载:144
  3. 缓存信息 : 0 reads,0 writes
  4. 会话信息 : SESSION_ID=77ca00788156f943b8f7c2def2e83106
  1. /yingpanguazai/ssd/ssd1/www/wwww.yeyulingfeng.com/public/index.php ( 0.79 KB )
  2. /yingpanguazai/ssd/ssd1/www/wwww.yeyulingfeng.com/vendor/autoload.php ( 0.17 KB )
  3. /yingpanguazai/ssd/ssd1/www/wwww.yeyulingfeng.com/vendor/composer/autoload_real.php ( 2.49 KB )
  4. /yingpanguazai/ssd/ssd1/www/wwww.yeyulingfeng.com/vendor/composer/platform_check.php ( 0.90 KB )
  5. /yingpanguazai/ssd/ssd1/www/wwww.yeyulingfeng.com/vendor/composer/ClassLoader.php ( 14.03 KB )
  6. /yingpanguazai/ssd/ssd1/www/wwww.yeyulingfeng.com/vendor/composer/autoload_static.php ( 6.05 KB )
  7. /yingpanguazai/ssd/ssd1/www/wwww.yeyulingfeng.com/vendor/topthink/think-helper/src/helper.php ( 8.34 KB )
  8. /yingpanguazai/ssd/ssd1/www/wwww.yeyulingfeng.com/vendor/topthink/think-validate/src/helper.php ( 2.19 KB )
  9. /yingpanguazai/ssd/ssd1/www/wwww.yeyulingfeng.com/vendor/ralouphie/getallheaders/src/getallheaders.php ( 1.60 KB )
  10. /yingpanguazai/ssd/ssd1/www/wwww.yeyulingfeng.com/vendor/topthink/think-orm/src/helper.php ( 1.47 KB )
  11. /yingpanguazai/ssd/ssd1/www/wwww.yeyulingfeng.com/vendor/topthink/think-orm/stubs/load_stubs.php ( 0.16 KB )
  12. /yingpanguazai/ssd/ssd1/www/wwww.yeyulingfeng.com/vendor/topthink/framework/src/think/Exception.php ( 1.69 KB )
  13. /yingpanguazai/ssd/ssd1/www/wwww.yeyulingfeng.com/vendor/topthink/think-container/src/Facade.php ( 2.71 KB )
  14. /yingpanguazai/ssd/ssd1/www/wwww.yeyulingfeng.com/vendor/symfony/deprecation-contracts/function.php ( 0.99 KB )
  15. /yingpanguazai/ssd/ssd1/www/wwww.yeyulingfeng.com/vendor/symfony/polyfill-mbstring/bootstrap.php ( 8.26 KB )
  16. /yingpanguazai/ssd/ssd1/www/wwww.yeyulingfeng.com/vendor/symfony/polyfill-mbstring/bootstrap80.php ( 9.78 KB )
  17. /yingpanguazai/ssd/ssd1/www/wwww.yeyulingfeng.com/vendor/symfony/var-dumper/Resources/functions/dump.php ( 1.49 KB )
  18. /yingpanguazai/ssd/ssd1/www/wwww.yeyulingfeng.com/vendor/topthink/think-dumper/src/helper.php ( 0.18 KB )
  19. /yingpanguazai/ssd/ssd1/www/wwww.yeyulingfeng.com/vendor/symfony/var-dumper/VarDumper.php ( 4.30 KB )
  20. /yingpanguazai/ssd/ssd1/www/wwww.yeyulingfeng.com/vendor/guzzlehttp/guzzle/src/functions_include.php ( 0.16 KB )
  21. /yingpanguazai/ssd/ssd1/www/wwww.yeyulingfeng.com/vendor/guzzlehttp/guzzle/src/functions.php ( 5.54 KB )
  22. /yingpanguazai/ssd/ssd1/www/wwww.yeyulingfeng.com/vendor/topthink/framework/src/think/App.php ( 15.30 KB )
  23. /yingpanguazai/ssd/ssd1/www/wwww.yeyulingfeng.com/vendor/topthink/think-container/src/Container.php ( 15.76 KB )
  24. /yingpanguazai/ssd/ssd1/www/wwww.yeyulingfeng.com/vendor/psr/container/src/ContainerInterface.php ( 1.02 KB )
  25. /yingpanguazai/ssd/ssd1/www/wwww.yeyulingfeng.com/app/provider.php ( 0.19 KB )
  26. /yingpanguazai/ssd/ssd1/www/wwww.yeyulingfeng.com/vendor/topthink/framework/src/think/Http.php ( 6.04 KB )
  27. /yingpanguazai/ssd/ssd1/www/wwww.yeyulingfeng.com/vendor/topthink/think-helper/src/helper/Str.php ( 7.29 KB )
  28. /yingpanguazai/ssd/ssd1/www/wwww.yeyulingfeng.com/vendor/topthink/framework/src/think/Env.php ( 4.68 KB )
  29. /yingpanguazai/ssd/ssd1/www/wwww.yeyulingfeng.com/app/common.php ( 0.03 KB )
  30. /yingpanguazai/ssd/ssd1/www/wwww.yeyulingfeng.com/vendor/topthink/framework/src/helper.php ( 18.78 KB )
  31. /yingpanguazai/ssd/ssd1/www/wwww.yeyulingfeng.com/vendor/topthink/framework/src/think/Config.php ( 5.54 KB )
  32. /yingpanguazai/ssd/ssd1/www/wwww.yeyulingfeng.com/config/alipay.php ( 3.59 KB )
  33. /yingpanguazai/ssd/ssd1/www/wwww.yeyulingfeng.com/vendor/topthink/framework/src/think/facade/Env.php ( 1.67 KB )
  34. /yingpanguazai/ssd/ssd1/www/wwww.yeyulingfeng.com/config/app.php ( 0.95 KB )
  35. /yingpanguazai/ssd/ssd1/www/wwww.yeyulingfeng.com/config/cache.php ( 0.78 KB )
  36. /yingpanguazai/ssd/ssd1/www/wwww.yeyulingfeng.com/config/console.php ( 0.23 KB )
  37. /yingpanguazai/ssd/ssd1/www/wwww.yeyulingfeng.com/config/cookie.php ( 0.56 KB )
  38. /yingpanguazai/ssd/ssd1/www/wwww.yeyulingfeng.com/config/database.php ( 2.48 KB )
  39. /yingpanguazai/ssd/ssd1/www/wwww.yeyulingfeng.com/config/filesystem.php ( 0.61 KB )
  40. /yingpanguazai/ssd/ssd1/www/wwww.yeyulingfeng.com/config/lang.php ( 0.91 KB )
  41. /yingpanguazai/ssd/ssd1/www/wwww.yeyulingfeng.com/config/log.php ( 1.35 KB )
  42. /yingpanguazai/ssd/ssd1/www/wwww.yeyulingfeng.com/config/middleware.php ( 0.19 KB )
  43. /yingpanguazai/ssd/ssd1/www/wwww.yeyulingfeng.com/config/route.php ( 1.89 KB )
  44. /yingpanguazai/ssd/ssd1/www/wwww.yeyulingfeng.com/config/session.php ( 0.57 KB )
  45. /yingpanguazai/ssd/ssd1/www/wwww.yeyulingfeng.com/config/trace.php ( 0.34 KB )
  46. /yingpanguazai/ssd/ssd1/www/wwww.yeyulingfeng.com/config/view.php ( 0.82 KB )
  47. /yingpanguazai/ssd/ssd1/www/wwww.yeyulingfeng.com/app/event.php ( 0.25 KB )
  48. /yingpanguazai/ssd/ssd1/www/wwww.yeyulingfeng.com/vendor/topthink/framework/src/think/Event.php ( 7.67 KB )
  49. /yingpanguazai/ssd/ssd1/www/wwww.yeyulingfeng.com/app/service.php ( 0.13 KB )
  50. /yingpanguazai/ssd/ssd1/www/wwww.yeyulingfeng.com/app/AppService.php ( 0.26 KB )
  51. /yingpanguazai/ssd/ssd1/www/wwww.yeyulingfeng.com/vendor/topthink/framework/src/think/Service.php ( 1.64 KB )
  52. /yingpanguazai/ssd/ssd1/www/wwww.yeyulingfeng.com/vendor/topthink/framework/src/think/Lang.php ( 7.35 KB )
  53. /yingpanguazai/ssd/ssd1/www/wwww.yeyulingfeng.com/vendor/topthink/framework/src/lang/zh-cn.php ( 13.70 KB )
  54. /yingpanguazai/ssd/ssd1/www/wwww.yeyulingfeng.com/vendor/topthink/framework/src/think/initializer/Error.php ( 3.31 KB )
  55. /yingpanguazai/ssd/ssd1/www/wwww.yeyulingfeng.com/vendor/topthink/framework/src/think/initializer/RegisterService.php ( 1.33 KB )
  56. /yingpanguazai/ssd/ssd1/www/wwww.yeyulingfeng.com/vendor/services.php ( 0.14 KB )
  57. /yingpanguazai/ssd/ssd1/www/wwww.yeyulingfeng.com/vendor/topthink/framework/src/think/service/PaginatorService.php ( 1.52 KB )
  58. /yingpanguazai/ssd/ssd1/www/wwww.yeyulingfeng.com/vendor/topthink/framework/src/think/service/ValidateService.php ( 0.99 KB )
  59. /yingpanguazai/ssd/ssd1/www/wwww.yeyulingfeng.com/vendor/topthink/framework/src/think/service/ModelService.php ( 2.04 KB )
  60. /yingpanguazai/ssd/ssd1/www/wwww.yeyulingfeng.com/vendor/topthink/think-trace/src/Service.php ( 0.77 KB )
  61. /yingpanguazai/ssd/ssd1/www/wwww.yeyulingfeng.com/vendor/topthink/framework/src/think/Middleware.php ( 6.72 KB )
  62. /yingpanguazai/ssd/ssd1/www/wwww.yeyulingfeng.com/vendor/topthink/framework/src/think/initializer/BootService.php ( 0.77 KB )
  63. /yingpanguazai/ssd/ssd1/www/wwww.yeyulingfeng.com/vendor/topthink/think-orm/src/Paginator.php ( 11.86 KB )
  64. /yingpanguazai/ssd/ssd1/www/wwww.yeyulingfeng.com/vendor/topthink/think-validate/src/Validate.php ( 63.20 KB )
  65. /yingpanguazai/ssd/ssd1/www/wwww.yeyulingfeng.com/vendor/topthink/think-orm/src/Model.php ( 23.55 KB )
  66. /yingpanguazai/ssd/ssd1/www/wwww.yeyulingfeng.com/vendor/topthink/think-orm/src/model/concern/Attribute.php ( 21.05 KB )
  67. /yingpanguazai/ssd/ssd1/www/wwww.yeyulingfeng.com/vendor/topthink/think-orm/src/model/concern/AutoWriteData.php ( 4.21 KB )
  68. /yingpanguazai/ssd/ssd1/www/wwww.yeyulingfeng.com/vendor/topthink/think-orm/src/model/concern/Conversion.php ( 6.44 KB )
  69. /yingpanguazai/ssd/ssd1/www/wwww.yeyulingfeng.com/vendor/topthink/think-orm/src/model/concern/DbConnect.php ( 5.16 KB )
  70. /yingpanguazai/ssd/ssd1/www/wwww.yeyulingfeng.com/vendor/topthink/think-orm/src/model/concern/ModelEvent.php ( 2.33 KB )
  71. /yingpanguazai/ssd/ssd1/www/wwww.yeyulingfeng.com/vendor/topthink/think-orm/src/model/concern/RelationShip.php ( 28.29 KB )
  72. /yingpanguazai/ssd/ssd1/www/wwww.yeyulingfeng.com/vendor/topthink/think-helper/src/contract/Arrayable.php ( 0.09 KB )
  73. /yingpanguazai/ssd/ssd1/www/wwww.yeyulingfeng.com/vendor/topthink/think-helper/src/contract/Jsonable.php ( 0.13 KB )
  74. /yingpanguazai/ssd/ssd1/www/wwww.yeyulingfeng.com/vendor/topthink/think-orm/src/model/contract/Modelable.php ( 0.09 KB )
  75. /yingpanguazai/ssd/ssd1/www/wwww.yeyulingfeng.com/vendor/topthink/framework/src/think/Db.php ( 2.88 KB )
  76. /yingpanguazai/ssd/ssd1/www/wwww.yeyulingfeng.com/vendor/topthink/think-orm/src/DbManager.php ( 8.52 KB )
  77. /yingpanguazai/ssd/ssd1/www/wwww.yeyulingfeng.com/vendor/topthink/framework/src/think/Log.php ( 6.28 KB )
  78. /yingpanguazai/ssd/ssd1/www/wwww.yeyulingfeng.com/vendor/topthink/framework/src/think/Manager.php ( 3.92 KB )
  79. /yingpanguazai/ssd/ssd1/www/wwww.yeyulingfeng.com/vendor/psr/log/src/LoggerTrait.php ( 2.69 KB )
  80. /yingpanguazai/ssd/ssd1/www/wwww.yeyulingfeng.com/vendor/psr/log/src/LoggerInterface.php ( 2.71 KB )
  81. /yingpanguazai/ssd/ssd1/www/wwww.yeyulingfeng.com/vendor/topthink/framework/src/think/Cache.php ( 4.92 KB )
  82. /yingpanguazai/ssd/ssd1/www/wwww.yeyulingfeng.com/vendor/psr/simple-cache/src/CacheInterface.php ( 4.71 KB )
  83. /yingpanguazai/ssd/ssd1/www/wwww.yeyulingfeng.com/vendor/topthink/think-helper/src/helper/Arr.php ( 16.63 KB )
  84. /yingpanguazai/ssd/ssd1/www/wwww.yeyulingfeng.com/vendor/topthink/framework/src/think/cache/driver/File.php ( 7.84 KB )
  85. /yingpanguazai/ssd/ssd1/www/wwww.yeyulingfeng.com/vendor/topthink/framework/src/think/cache/Driver.php ( 9.03 KB )
  86. /yingpanguazai/ssd/ssd1/www/wwww.yeyulingfeng.com/vendor/topthink/framework/src/think/contract/CacheHandlerInterface.php ( 1.99 KB )
  87. /yingpanguazai/ssd/ssd1/www/wwww.yeyulingfeng.com/app/Request.php ( 0.09 KB )
  88. /yingpanguazai/ssd/ssd1/www/wwww.yeyulingfeng.com/vendor/topthink/framework/src/think/Request.php ( 55.78 KB )
  89. /yingpanguazai/ssd/ssd1/www/wwww.yeyulingfeng.com/app/middleware.php ( 0.25 KB )
  90. /yingpanguazai/ssd/ssd1/www/wwww.yeyulingfeng.com/vendor/topthink/framework/src/think/Pipeline.php ( 2.61 KB )
  91. /yingpanguazai/ssd/ssd1/www/wwww.yeyulingfeng.com/vendor/topthink/think-trace/src/TraceDebug.php ( 3.40 KB )
  92. /yingpanguazai/ssd/ssd1/www/wwww.yeyulingfeng.com/vendor/topthink/framework/src/think/middleware/SessionInit.php ( 1.94 KB )
  93. /yingpanguazai/ssd/ssd1/www/wwww.yeyulingfeng.com/vendor/topthink/framework/src/think/Session.php ( 1.80 KB )
  94. /yingpanguazai/ssd/ssd1/www/wwww.yeyulingfeng.com/vendor/topthink/framework/src/think/session/driver/File.php ( 6.27 KB )
  95. /yingpanguazai/ssd/ssd1/www/wwww.yeyulingfeng.com/vendor/topthink/framework/src/think/contract/SessionHandlerInterface.php ( 0.87 KB )
  96. /yingpanguazai/ssd/ssd1/www/wwww.yeyulingfeng.com/vendor/topthink/framework/src/think/session/Store.php ( 7.12 KB )
  97. /yingpanguazai/ssd/ssd1/www/wwww.yeyulingfeng.com/vendor/topthink/framework/src/think/Route.php ( 23.73 KB )
  98. /yingpanguazai/ssd/ssd1/www/wwww.yeyulingfeng.com/vendor/topthink/framework/src/think/route/RuleName.php ( 5.75 KB )
  99. /yingpanguazai/ssd/ssd1/www/wwww.yeyulingfeng.com/vendor/topthink/framework/src/think/route/Domain.php ( 2.53 KB )
  100. /yingpanguazai/ssd/ssd1/www/wwww.yeyulingfeng.com/vendor/topthink/framework/src/think/route/RuleGroup.php ( 22.43 KB )
  101. /yingpanguazai/ssd/ssd1/www/wwww.yeyulingfeng.com/vendor/topthink/framework/src/think/route/Rule.php ( 26.95 KB )
  102. /yingpanguazai/ssd/ssd1/www/wwww.yeyulingfeng.com/vendor/topthink/framework/src/think/route/RuleItem.php ( 9.78 KB )
  103. /yingpanguazai/ssd/ssd1/www/wwww.yeyulingfeng.com/route/app.php ( 3.82 KB )
  104. /yingpanguazai/ssd/ssd1/www/wwww.yeyulingfeng.com/vendor/topthink/framework/src/think/facade/Route.php ( 4.70 KB )
  105. /yingpanguazai/ssd/ssd1/www/wwww.yeyulingfeng.com/vendor/topthink/framework/src/think/route/dispatch/Controller.php ( 4.74 KB )
  106. /yingpanguazai/ssd/ssd1/www/wwww.yeyulingfeng.com/vendor/topthink/framework/src/think/route/Dispatch.php ( 10.44 KB )
  107. /yingpanguazai/ssd/ssd1/www/wwww.yeyulingfeng.com/app/controller/Index.php ( 9.69 KB )
  108. /yingpanguazai/ssd/ssd1/www/wwww.yeyulingfeng.com/app/BaseController.php ( 2.05 KB )
  109. /yingpanguazai/ssd/ssd1/www/wwww.yeyulingfeng.com/vendor/topthink/think-orm/src/facade/Db.php ( 0.93 KB )
  110. /yingpanguazai/ssd/ssd1/www/wwww.yeyulingfeng.com/vendor/topthink/think-orm/src/db/connector/Mysql.php ( 5.44 KB )
  111. /yingpanguazai/ssd/ssd1/www/wwww.yeyulingfeng.com/vendor/topthink/think-orm/src/db/PDOConnection.php ( 52.47 KB )
  112. /yingpanguazai/ssd/ssd1/www/wwww.yeyulingfeng.com/vendor/topthink/think-orm/src/db/Connection.php ( 8.39 KB )
  113. /yingpanguazai/ssd/ssd1/www/wwww.yeyulingfeng.com/vendor/topthink/think-orm/src/db/ConnectionInterface.php ( 4.57 KB )
  114. /yingpanguazai/ssd/ssd1/www/wwww.yeyulingfeng.com/vendor/topthink/think-orm/src/db/builder/Mysql.php ( 16.58 KB )
  115. /yingpanguazai/ssd/ssd1/www/wwww.yeyulingfeng.com/vendor/topthink/think-orm/src/db/Builder.php ( 24.06 KB )
  116. /yingpanguazai/ssd/ssd1/www/wwww.yeyulingfeng.com/vendor/topthink/think-orm/src/db/BaseBuilder.php ( 27.50 KB )
  117. /yingpanguazai/ssd/ssd1/www/wwww.yeyulingfeng.com/vendor/topthink/think-orm/src/db/Query.php ( 15.71 KB )
  118. /yingpanguazai/ssd/ssd1/www/wwww.yeyulingfeng.com/vendor/topthink/think-orm/src/db/BaseQuery.php ( 45.13 KB )
  119. /yingpanguazai/ssd/ssd1/www/wwww.yeyulingfeng.com/vendor/topthink/think-orm/src/db/concern/TimeFieldQuery.php ( 7.43 KB )
  120. /yingpanguazai/ssd/ssd1/www/wwww.yeyulingfeng.com/vendor/topthink/think-orm/src/db/concern/AggregateQuery.php ( 3.26 KB )
  121. /yingpanguazai/ssd/ssd1/www/wwww.yeyulingfeng.com/vendor/topthink/think-orm/src/db/concern/ModelRelationQuery.php ( 20.07 KB )
  122. /yingpanguazai/ssd/ssd1/www/wwww.yeyulingfeng.com/vendor/topthink/think-orm/src/db/concern/ParamsBind.php ( 3.66 KB )
  123. /yingpanguazai/ssd/ssd1/www/wwww.yeyulingfeng.com/vendor/topthink/think-orm/src/db/concern/ResultOperation.php ( 7.01 KB )
  124. /yingpanguazai/ssd/ssd1/www/wwww.yeyulingfeng.com/vendor/topthink/think-orm/src/db/concern/WhereQuery.php ( 19.37 KB )
  125. /yingpanguazai/ssd/ssd1/www/wwww.yeyulingfeng.com/vendor/topthink/think-orm/src/db/concern/JoinAndViewQuery.php ( 7.11 KB )
  126. /yingpanguazai/ssd/ssd1/www/wwww.yeyulingfeng.com/vendor/topthink/think-orm/src/db/concern/TableFieldInfo.php ( 2.63 KB )
  127. /yingpanguazai/ssd/ssd1/www/wwww.yeyulingfeng.com/vendor/topthink/think-orm/src/db/concern/Transaction.php ( 2.77 KB )
  128. /yingpanguazai/ssd/ssd1/www/wwww.yeyulingfeng.com/vendor/topthink/framework/src/think/log/driver/File.php ( 5.96 KB )
  129. /yingpanguazai/ssd/ssd1/www/wwww.yeyulingfeng.com/vendor/topthink/framework/src/think/contract/LogHandlerInterface.php ( 0.86 KB )
  130. /yingpanguazai/ssd/ssd1/www/wwww.yeyulingfeng.com/vendor/topthink/framework/src/think/log/Channel.php ( 3.89 KB )
  131. /yingpanguazai/ssd/ssd1/www/wwww.yeyulingfeng.com/vendor/topthink/framework/src/think/event/LogRecord.php ( 1.02 KB )
  132. /yingpanguazai/ssd/ssd1/www/wwww.yeyulingfeng.com/vendor/topthink/think-helper/src/Collection.php ( 16.47 KB )
  133. /yingpanguazai/ssd/ssd1/www/wwww.yeyulingfeng.com/vendor/topthink/framework/src/think/facade/View.php ( 1.70 KB )
  134. /yingpanguazai/ssd/ssd1/www/wwww.yeyulingfeng.com/vendor/topthink/framework/src/think/View.php ( 4.39 KB )
  135. /yingpanguazai/ssd/ssd1/www/wwww.yeyulingfeng.com/vendor/topthink/framework/src/think/Response.php ( 8.81 KB )
  136. /yingpanguazai/ssd/ssd1/www/wwww.yeyulingfeng.com/vendor/topthink/framework/src/think/response/View.php ( 3.29 KB )
  137. /yingpanguazai/ssd/ssd1/www/wwww.yeyulingfeng.com/vendor/topthink/framework/src/think/Cookie.php ( 6.06 KB )
  138. /yingpanguazai/ssd/ssd1/www/wwww.yeyulingfeng.com/vendor/topthink/think-view/src/Think.php ( 8.38 KB )
  139. /yingpanguazai/ssd/ssd1/www/wwww.yeyulingfeng.com/vendor/topthink/framework/src/think/contract/TemplateHandlerInterface.php ( 1.60 KB )
  140. /yingpanguazai/ssd/ssd1/www/wwww.yeyulingfeng.com/vendor/topthink/think-template/src/Template.php ( 46.61 KB )
  141. /yingpanguazai/ssd/ssd1/www/wwww.yeyulingfeng.com/vendor/topthink/think-template/src/template/driver/File.php ( 2.41 KB )
  142. /yingpanguazai/ssd/ssd1/www/wwww.yeyulingfeng.com/vendor/topthink/think-template/src/template/contract/DriverInterface.php ( 0.86 KB )
  143. /yingpanguazai/ssd/ssd1/www/wwww.yeyulingfeng.com/runtime/temp/10a0c909b6afa23b5a52a2e2d58c3c0f.php ( 21.72 KB )
  144. /yingpanguazai/ssd/ssd1/www/wwww.yeyulingfeng.com/vendor/topthink/think-trace/src/Html.php ( 4.42 KB )
  1. CONNECT:[ UseTime:0.000630s ] mysql:host=127.0.0.1;port=3306;dbname=wenku;charset=utf8mb4
  2. SHOW FULL COLUMNS FROM `fenlei` [ RunTime:0.000815s ]
  3. SELECT * FROM `fenlei` WHERE `fid` = 0 [ RunTime:0.000359s ]
  4. SELECT * FROM `fenlei` WHERE `fid` = 63 [ RunTime:0.000271s ]
  5. SHOW FULL COLUMNS FROM `set` [ RunTime:0.000467s ]
  6. SELECT * FROM `set` [ RunTime:0.000195s ]
  7. SHOW FULL COLUMNS FROM `wendang` [ RunTime:0.000570s ]
  8. SELECT * FROM `wendang` WHERE `id` = 367970 LIMIT 1 [ RunTime:0.000487s ]
  9. UPDATE `wendang` SET `liulancishu` = 1 WHERE `id` = 367970 [ RunTime:0.005238s ]
  10. UPDATE `wendang` SET `lasttime` = 1773073110 WHERE `id` = 367970 [ RunTime:0.002771s ]
  11. SELECT * FROM `wendang` WHERE `id` < 367970 ORDER BY `id` DESC LIMIT 1 [ RunTime:0.000574s ]
  12. SELECT * FROM `wendang` WHERE `id` > 367970 ORDER BY `id` ASC LIMIT 1 [ RunTime:0.000418s ]
  13. SELECT * FROM `wendang` WHERE `id` <> 367970 ORDER BY `id` DESC LIMIT 10 [ RunTime:0.011075s ]
  14. SELECT * FROM `wendang` WHERE `id` <> 367970 ORDER BY `id` DESC LIMIT 10,10 [ RunTime:0.001006s ]
  15. SELECT * FROM `wendang` WHERE `id` <> 367970 ORDER BY `id` DESC LIMIT 20,10 [ RunTime:0.000948s ]
0.096488s