当前位置:首页>文档>备考2026年中考化学一轮复习溶解度曲线及其应用(含解析)_02中考总复习(2026版更新中)_05-化学-中考总复习_2026年中考复习(更新中)_备考2026年中考化学一轮复习专题练

备考2026年中考化学一轮复习溶解度曲线及其应用(含解析)_02中考总复习(2026版更新中)_05-化学-中考总复习_2026年中考复习(更新中)_备考2026年中考化学一轮复习专题练

  • 2026-03-10 09:37:11 2026-03-10 09:37:11

文档预览

备考2026年中考化学一轮复习溶解度曲线及其应用(含解析)_02中考总复习(2026版更新中)_05-化学-中考总复习_2026年中考复习(更新中)_备考2026年中考化学一轮复习专题练
备考2026年中考化学一轮复习溶解度曲线及其应用(含解析)_02中考总复习(2026版更新中)_05-化学-中考总复习_2026年中考复习(更新中)_备考2026年中考化学一轮复习专题练
备考2026年中考化学一轮复习溶解度曲线及其应用(含解析)_02中考总复习(2026版更新中)_05-化学-中考总复习_2026年中考复习(更新中)_备考2026年中考化学一轮复习专题练
备考2026年中考化学一轮复习溶解度曲线及其应用(含解析)_02中考总复习(2026版更新中)_05-化学-中考总复习_2026年中考复习(更新中)_备考2026年中考化学一轮复习专题练
备考2026年中考化学一轮复习溶解度曲线及其应用(含解析)_02中考总复习(2026版更新中)_05-化学-中考总复习_2026年中考复习(更新中)_备考2026年中考化学一轮复习专题练
备考2026年中考化学一轮复习溶解度曲线及其应用(含解析)_02中考总复习(2026版更新中)_05-化学-中考总复习_2026年中考复习(更新中)_备考2026年中考化学一轮复习专题练
备考2026年中考化学一轮复习溶解度曲线及其应用(含解析)_02中考总复习(2026版更新中)_05-化学-中考总复习_2026年中考复习(更新中)_备考2026年中考化学一轮复习专题练
备考2026年中考化学一轮复习溶解度曲线及其应用(含解析)_02中考总复习(2026版更新中)_05-化学-中考总复习_2026年中考复习(更新中)_备考2026年中考化学一轮复习专题练
备考2026年中考化学一轮复习溶解度曲线及其应用(含解析)_02中考总复习(2026版更新中)_05-化学-中考总复习_2026年中考复习(更新中)_备考2026年中考化学一轮复习专题练
备考2026年中考化学一轮复习溶解度曲线及其应用(含解析)_02中考总复习(2026版更新中)_05-化学-中考总复习_2026年中考复习(更新中)_备考2026年中考化学一轮复习专题练
备考2026年中考化学一轮复习溶解度曲线及其应用(含解析)_02中考总复习(2026版更新中)_05-化学-中考总复习_2026年中考复习(更新中)_备考2026年中考化学一轮复习专题练
备考2026年中考化学一轮复习溶解度曲线及其应用(含解析)_02中考总复习(2026版更新中)_05-化学-中考总复习_2026年中考复习(更新中)_备考2026年中考化学一轮复习专题练
备考2026年中考化学一轮复习溶解度曲线及其应用(含解析)_02中考总复习(2026版更新中)_05-化学-中考总复习_2026年中考复习(更新中)_备考2026年中考化学一轮复习专题练
备考2026年中考化学一轮复习溶解度曲线及其应用(含解析)_02中考总复习(2026版更新中)_05-化学-中考总复习_2026年中考复习(更新中)_备考2026年中考化学一轮复习专题练
备考2026年中考化学一轮复习溶解度曲线及其应用(含解析)_02中考总复习(2026版更新中)_05-化学-中考总复习_2026年中考复习(更新中)_备考2026年中考化学一轮复习专题练
备考2026年中考化学一轮复习溶解度曲线及其应用(含解析)_02中考总复习(2026版更新中)_05-化学-中考总复习_2026年中考复习(更新中)_备考2026年中考化学一轮复习专题练
备考2026年中考化学一轮复习溶解度曲线及其应用(含解析)_02中考总复习(2026版更新中)_05-化学-中考总复习_2026年中考复习(更新中)_备考2026年中考化学一轮复习专题练
备考2026年中考化学一轮复习溶解度曲线及其应用(含解析)_02中考总复习(2026版更新中)_05-化学-中考总复习_2026年中考复习(更新中)_备考2026年中考化学一轮复习专题练
备考2026年中考化学一轮复习溶解度曲线及其应用(含解析)_02中考总复习(2026版更新中)_05-化学-中考总复习_2026年中考复习(更新中)_备考2026年中考化学一轮复习专题练
备考2026年中考化学一轮复习溶解度曲线及其应用(含解析)_02中考总复习(2026版更新中)_05-化学-中考总复习_2026年中考复习(更新中)_备考2026年中考化学一轮复习专题练
备考2026年中考化学一轮复习溶解度曲线及其应用(含解析)_02中考总复习(2026版更新中)_05-化学-中考总复习_2026年中考复习(更新中)_备考2026年中考化学一轮复习专题练
备考2026年中考化学一轮复习溶解度曲线及其应用(含解析)_02中考总复习(2026版更新中)_05-化学-中考总复习_2026年中考复习(更新中)_备考2026年中考化学一轮复习专题练
备考2026年中考化学一轮复习溶解度曲线及其应用(含解析)_02中考总复习(2026版更新中)_05-化学-中考总复习_2026年中考复习(更新中)_备考2026年中考化学一轮复习专题练
备考2026年中考化学一轮复习溶解度曲线及其应用(含解析)_02中考总复习(2026版更新中)_05-化学-中考总复习_2026年中考复习(更新中)_备考2026年中考化学一轮复习专题练
备考2026年中考化学一轮复习溶解度曲线及其应用(含解析)_02中考总复习(2026版更新中)_05-化学-中考总复习_2026年中考复习(更新中)_备考2026年中考化学一轮复习专题练
备考2026年中考化学一轮复习溶解度曲线及其应用(含解析)_02中考总复习(2026版更新中)_05-化学-中考总复习_2026年中考复习(更新中)_备考2026年中考化学一轮复习专题练
备考2026年中考化学一轮复习溶解度曲线及其应用(含解析)_02中考总复习(2026版更新中)_05-化学-中考总复习_2026年中考复习(更新中)_备考2026年中考化学一轮复习专题练
备考2026年中考化学一轮复习溶解度曲线及其应用(含解析)_02中考总复习(2026版更新中)_05-化学-中考总复习_2026年中考复习(更新中)_备考2026年中考化学一轮复习专题练
备考2026年中考化学一轮复习溶解度曲线及其应用(含解析)_02中考总复习(2026版更新中)_05-化学-中考总复习_2026年中考复习(更新中)_备考2026年中考化学一轮复习专题练
备考2026年中考化学一轮复习溶解度曲线及其应用(含解析)_02中考总复习(2026版更新中)_05-化学-中考总复习_2026年中考复习(更新中)_备考2026年中考化学一轮复习专题练
备考2026年中考化学一轮复习溶解度曲线及其应用(含解析)_02中考总复习(2026版更新中)_05-化学-中考总复习_2026年中考复习(更新中)_备考2026年中考化学一轮复习专题练
备考2026年中考化学一轮复习溶解度曲线及其应用(含解析)_02中考总复习(2026版更新中)_05-化学-中考总复习_2026年中考复习(更新中)_备考2026年中考化学一轮复习专题练
备考2026年中考化学一轮复习溶解度曲线及其应用(含解析)_02中考总复习(2026版更新中)_05-化学-中考总复习_2026年中考复习(更新中)_备考2026年中考化学一轮复习专题练
备考2026年中考化学一轮复习溶解度曲线及其应用(含解析)_02中考总复习(2026版更新中)_05-化学-中考总复习_2026年中考复习(更新中)_备考2026年中考化学一轮复习专题练
备考2026年中考化学一轮复习溶解度曲线及其应用(含解析)_02中考总复习(2026版更新中)_05-化学-中考总复习_2026年中考复习(更新中)_备考2026年中考化学一轮复习专题练
备考2026年中考化学一轮复习溶解度曲线及其应用(含解析)_02中考总复习(2026版更新中)_05-化学-中考总复习_2026年中考复习(更新中)_备考2026年中考化学一轮复习专题练
备考2026年中考化学一轮复习溶解度曲线及其应用(含解析)_02中考总复习(2026版更新中)_05-化学-中考总复习_2026年中考复习(更新中)_备考2026年中考化学一轮复习专题练

文档信息

文档格式
docx
文档大小
2.317 MB
文档页数
37 页
上传时间
2026-03-10 09:37:11

文档内容

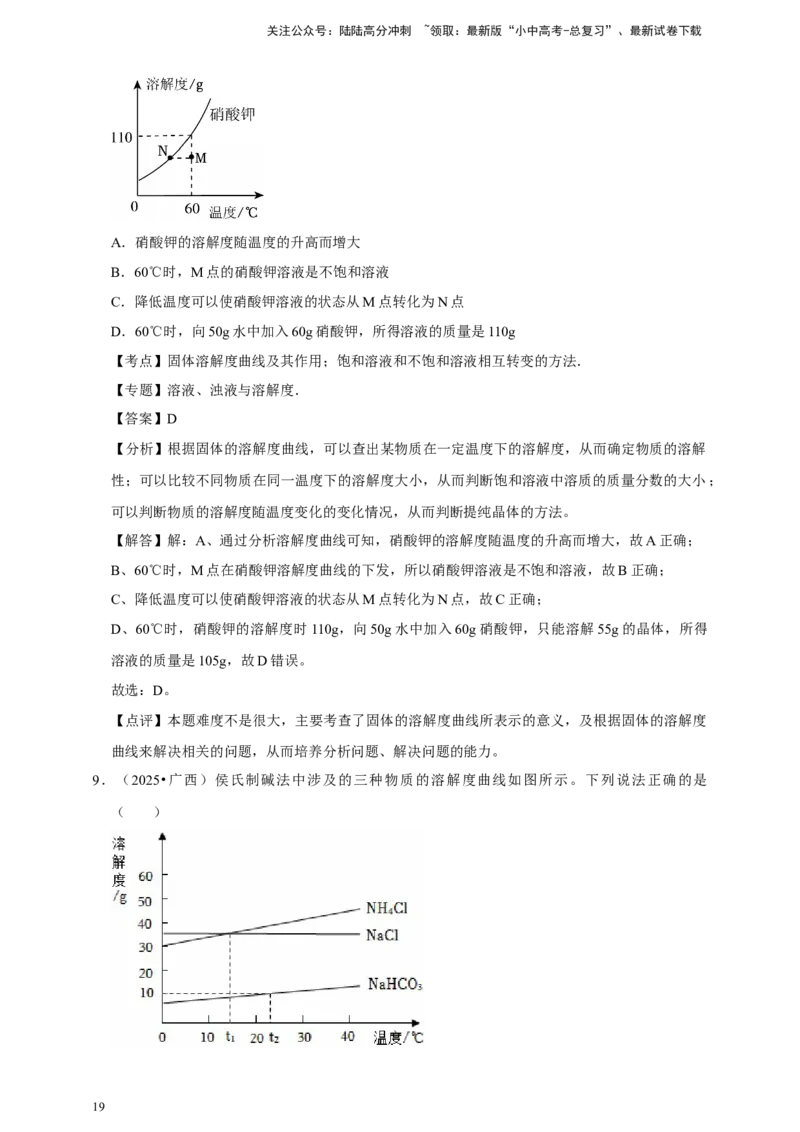
关注公众号:陆陆高分冲刺 ~领取:最新版“小中高考-总复习”、最新试卷下载 中考化学一轮复习 溶解度曲线及其应用 一.选择题(共12小题) 1.(2025•广安)20℃时,将一定质量的甲、乙两种溶液进行恒温蒸发,蒸发溶剂的质量与析出晶 体的质量关系如图所示(图中两线相交于c点)。下列分析错误的是( ) A.20℃时,b点对应的乙溶液是不饱和溶液 B.20℃时,对甲、乙两种溶液恒温蒸发28g溶剂,两者析出晶体的质量相等 C.20℃时,等质量的甲、乙两种饱和溶液中,溶质质量:乙>甲 D.20℃时,甲的饱和溶液溶质质量分数为25% 2.(2025•连云港)80℃时将饱和Li SO 溶液和饱和Na CO 溶液混合反应,制备Li CO 晶体。 2 4 2 3 2 3 Na CO 、Li SO 、Li CO 的溶解度曲线如图所示。下列说法正确的是( ) 2 3 2 4 2 3 A.Na CO 的溶解度一定比Li SO 的大 2 3 2 4 B.20℃时Li SO 饱和溶液升温到40℃时变为不饱和溶液 2 4 C.40℃时将60gNa CO 固体加入100g水中得到160g溶液 2 3 D.该制备反应利用了Li CO 溶解度相对较小的性质 2 3 3.(2025•达州)a、b、c三种固体物质的溶解度曲线如图所示,下列说法错误的是( ) A.a中混有少量b,可采用降温结晶的方法提纯a 1关注公众号:陆陆高分冲刺 ~领取:最新版“小中高考-总复习”、最新试卷下载 B.t ℃时,a、c饱和溶液的溶质质量分数相等 1 C.t ℃时,将40ga加入50g水中充分溶解,所得溶液质量为70g 2 D.t ℃时,a、b、c的溶解度由大到小的关系是c>b>a 3 4.(2025•遂宁)《本草纲目》记载:“火药乃焰硝、硫磺、杉木炭所合……”焰硝经处理可得到 硝酸钾和少量氯化钠的混合溶液。结合硝酸钾和氯化钠固体的溶解度曲线(不考虑水分蒸发,析 出的晶体中不含结晶水),分析下列说法中不正确的是( ) A.P点表示t ℃时硝酸钾和氯化钠的溶解度相同 1 B.t ℃时向100g水中加80g硝酸钾固体可形成180g硝酸钾溶液 2 C.若要从上述溶液中提纯硝酸钾,最好采用的方法是降温结晶 D.将t ℃时硝酸钾和氯化钠的饱和溶液升温至t ℃,此时硝酸钾溶液的溶质质量分数大于氯化钠 1 2 溶液的溶质质量分数 5.(2025•眉山)甲、乙两种固体物质的溶解度曲线如图所示。下列说法正确的是( ) A.甲的溶解度比乙大 B.在t ℃时,甲、乙溶液中的溶质质量分数相等 1 C.将t ℃时甲的饱和溶液降温至t ℃,析出晶体质量为20g 2 1 D.分别将t ℃时甲、乙的饱和溶液降温至t ℃,所得溶液的溶质质量分数相等 2 1 6.(2025•苏州)工业制备的重铬酸钾(K Cr O )中常混有少量KCl,两种物质的溶解度曲线如图 2 2 7 所示。下列说法正确的是( ) 2关注公众号:陆陆高分冲刺 ~领取:最新版“小中高考-总复习”、最新试卷下载 A.K Cr O 的溶解度一定比KCl的大 2 2 7 B.40℃时,将50gKCl加入100g水中,所得溶液质量为150g C.60℃时,两种物质的饱和溶液的溶质质量分数相等 D.采用蒸发结晶的方法可除去K Cr O 中混有的少量KCl 2 2 7 7.(2025•德阳)五水硫酸铜(CuSO •5H O)的溶解度曲线如图所示。结合你参与的“制备五水硫 4 2 酸铜晶体”跨学科实践活动分析。下列说法错误的是( ) A.20℃~60℃时,五水硫酸铜的溶解度随温度升高而增大 B.60℃时,50g水中加入45g五水硫酸铜充分溶解,可得硫酸铜饱和溶液 C.根据溶解度曲线判断,可采用降温结晶的方法制备五水硫酸铜晶体 D.饱和硫酸铜溶液降温结晶时,降温快慢对结晶出的五水硫酸铜晶体形状无影响 8.(2025•新疆)如图是硝酸钾的溶解度曲线。下列说法不正确的是( ) A.硝酸钾的溶解度随温度的升高而增大 B.60℃时,M点的硝酸钾溶液是不饱和溶液 3关注公众号:陆陆高分冲刺 ~领取:最新版“小中高考-总复习”、最新试卷下载 C.降低温度可以使硝酸钾溶液的状态从M点转化为N点 D.60℃时,向50g水中加入60g硝酸钾,所得溶液的质量是110g 9.(2025•广西)侯氏制碱法中涉及的三种物质的溶解度曲线如图所示。下列说法正确的是 ( ) A.三种物质中,NH Cl的溶解度最大 4 B.将40℃时的NaCl、NH Cl饱和溶液分别降温至t ℃,析出晶体的质量m(NH Cl)>m 4 1 4 (NaCl) C.t ℃时,取等质量的NaCl、NH Cl固体分别溶于水配成饱和溶液,溶液的质量一定相等 1 4 D.t ℃时,10gNaHCO 固体能完全溶于50g水中 2 3 10.(2025•深圳)(NH ) SO 和NH Cl是两种常见的氮肥,二者溶解度曲线如图所示,下列骥翔 4 2 4 4 同学和帆帆同学说法正确的是( ) A.NH Cl的溶解度比(NH ) SO 的溶解度小 4 4 2 4 B.将20℃(NH ) SO 的饱和溶液升温至80℃,溶质质量分数会增大 4 2 4 C.40℃时NH Cl饱和溶液质量分数为45.8% 4 D.80℃时将94.1g(NH ) SO 加入200g水中,会形成不饱和溶液 4 2 4 11.(2025•青海)《开宝本草》中记载“所在山泽,冬月地上有霜,扫取以水淋汁后,乃煎炼而 成”,此处“霜”主要成分为KNO 。结合如图,下列说法不正确的是( ) 3 4关注公众号:陆陆高分冲刺 ~领取:最新版“小中高考-总复习”、最新试卷下载 A.20℃时,KNO 的溶解度是63.9g 3 B.“扫取以水淋汁”体现了硝酸钾易溶于水 C.40℃时,将70gKNO 加入100g水中得到饱和溶液 3 D.“冬月地上有霜”证明KNO 的溶解度随温度的降低而降低 3 12.(2025•成都)《史记正义》记载“垦畦浇晒”产盐法,过程如图。卤水含大量Na SO 和NaCl 2 4 等物质,结合溶解度曲线分析,下列说法正确的是( ) A.晶体1是NaCl,晶体2是Na SO 2 4 B.“过箩”到“晒制”,NaCl的质量分数一直变大 C.“母液”中含有Na SO 和NaCl 2 4 D.降温结晶可除去NaCl溶液中的少量Na SO 2 4 二.选择填充题(共1小题) 13.(2025•江西)从盐卤水(含硫酸钠、氯化钠等)中提取的硫酸钠可用于制中药西瓜霜,硫酸钠 和氯化钠的溶解度曲线如图。下列说法正确的是 。 A.40℃时氯化钠的溶解度是48.8g B.t℃时氯化钠溶液和硫酸钠溶液的溶质质量相等 C.可用降温结晶的方法从盐卤水中提取硫酸钠晶体 D.将t℃饱和硫酸钠溶液变为不饱和溶液的方法是 5关注公众号:陆陆高分冲刺 ~领取:最新版“小中高考-总复习”、最新试卷下载 三.填空题(共6小题) 14.(2025•长沙)小湖同学在进行“海洋资源的综合利用与制盐”跨学科实践活动中,查阅到海水 中氯化钠和硫酸钠的溶解度曲线如图所示。 (1)在0~40℃时,图中物质的溶解度受温度影响较大的是 。 (2)在t℃时,氯化钠饱和溶液、硫酸钠饱和溶液中溶质的质量分数 (填“相等” 或“不相等”)。 (3)通过实践活动最终获得了氯化钠固体,写出氯化钠的一种用途 。 15.(2025•黑龙江)海洋蕴藏着丰富的资源,人类应合理开发和应用。海水中含有 KCl和MgSO 4 等物质,其在不同温度时的溶解度如下表所示,下图是对应的溶解度曲线。 温度℃ 20 30 40 60 80 100 溶解度/g KCl 34.0 37.0 40.0 45.5 51.1 56.7 MgSO 33.7 38.9 44.5 54.6 55.8 50.4 4 (1)代表KCl溶解度曲线的是 (填“甲”或“乙”)。 (2)40℃时,将30gKCl固体加入50g水中,充分溶解后,所得溶液的质量为 g。 (3)t ℃时,将等质量的甲、乙两物质的饱和溶液降温到 t ℃时,析出晶体的质量甲 2 1 乙(填“>”“<”或“=”)。 (4)t ℃时,将100gMgSO 饱和溶液逐渐降温经t ℃直至t ℃,其溶质质量分数的变化趋势是 3 4 2 1 。 16.(2025•齐齐哈尔)如图是硝酸钾和氯化钠的溶解度曲线。请回答下列问题: (1)图中P点的含义是 。 (2)若氯化钠中混有少量硝酸钾,可用 (填“蒸发结晶”或“降温结晶”)的方 法提纯氯化钠。 6关注公众号:陆陆高分冲刺 ~领取:最新版“小中高考-总复习”、最新试卷下载 (3)50℃时,将90g硝酸钾加入100g水中,充分溶解后,所得溶液是 (填“饱和” 或“不饱和”)溶液,溶液的质量是 g。 (4)50℃时,分别将等质量的硝酸钾饱和溶液和氯化钠饱和溶液降温至 t℃,对所得溶液的叙述 正确的是 。 A.溶解度:氯化钠>硝酸钾 B.溶剂质量:氯化钠>硝酸钾 C.溶质质量分数:氯化钠=硝酸钾 D.溶质质量:氯化钠>硝酸钾 17.(2025•绥化)KNO 和NaCl的溶解度曲线如图所示。 3 (1) 的溶解度受温度影响变化较大。 (2)t ℃时,KNO 的溶解度 NaCl的溶解度(填“>”、“<”或“=”)。 2 3 (3)t ℃时,完全溶解16gKNO 固体,可得到硝酸钾饱和溶液的质量为 g。 3 3 18.(2025•河北)感探究之趣,赏化学之美——制作美丽硫酸铜晶体。图1所示为硫酸铜的溶解度 曲线,图2所示为制作硫酸铜晶体的实验过程(不考虑水的蒸发)。 请回答下列问题: 7关注公众号:陆陆高分冲刺 ~领取:最新版“小中高考-总复习”、最新试卷下载 (1)0~60℃,温度越高,硫酸铜的溶解度 。 (2)A点的意义:60℃时,硫酸铜的溶解度为 g。 (3)②中溶液是60℃时硫酸铜的 (填“饱和”或“不饱和”)溶液。 (4)比较①③溶液中硫酸铜的质量分数:① ③(填“>”“=”或“<”)。 (5)写出一种处理③中溶液的方法: 。 19.(2025•甘肃)如图为NaCl、NH Cl和NaHCO 的溶解度曲线。 4 3 (1)t ℃时,NaCl的溶解度 (填“>”或”<”)NH Cl的溶解度。 1 4 (2)将 t ℃时 NH Cl 的不饱和溶液变为该温度下的饱和溶液,可采取的措施是 2 4 (写一种即可)。 (3)当NH Cl溶液中混有少量NaCl时,可采用 的方法提纯NH Cl。 4 4 (4)t ℃时,NaHCO 饱和溶液中溶质与溶剂的质量比为 (化为最简整数比)。 3 3 四.工艺流程题(共1小题) 20.(2025•烟台)黑火药是我国古代的四大发明之一,其成分含有 KNO 。古代以硝土和草木灰 3 (主要成分K CO )为原料生产KNO 的部分流程如图1所示。 2 3 3 【查阅资料】①硝土的主要成分是KNO 、Ca(NO ) 和NaCl等。 3 3 2 ②Ca(NO ) 与K CO 能发生复分解反应。 3 2 2 3 8关注公众号:陆陆高分冲刺 ~领取:最新版“小中高考-总复习”、最新试卷下载 (1)淋硝过程中Ca(NO ) 与K CO 反应的化学方程式是 。淋硝所 3 2 2 3 得的溶液称为“硝水”,其溶质中一定含有的物质是 。 (2)熬硝主要是将淋硝过程中得到的硝水浓缩成浓硝水。根据图 2中的溶解度曲线分析,冷却 热浓硝水,主要获得KNO 晶体的原因是 。若将80℃的269g硝酸钾 3 饱和溶液降温到20℃,则析出硝酸钾晶体质量是 g。 (3)滤液A可以循环使用,原因是 。 点燃 (4)黑火药爆炸时发生反应的化学方程式是2KNO +S+3C K S+X↑+3CO ↑,则X的 3 2 2 化学式是 。 五.解答题(共2小题) 21.(2025•天津)溶液与人类生产、生活密切相关。 (1)如表是氯化钠和硝酸钾在不同温度时的溶解度。 温度/℃ 0 20 40 60 80 溶解度/g NaCl 35.7 36.0 36.6 37.3 38.4 KNO 13.3 31.6 63.9 110 169 3 ①20℃时,氯化钠的溶解度为 g。 ②20℃时,将20g氯化钠固体加入盛有 50g水的烧杯中,充分溶解后得到的溶液质量为 g。 9关注公众号:陆陆高分冲刺 ~领取:最新版“小中高考-总复习”、最新试卷下载 ③60℃时,饱和硝酸钾溶液中溶质的质量分数为 (结果精确至0.1%)。 ④将80℃时250g溶质的质量分数为 60%的硝酸钾溶液降温到 20℃,析出晶体的质量为 g。 (2)农业生产可利用质量分数为16%的氯化钠溶液选种。在实验室配制300g这种溶液,需要氯 化钠的质量为 g。 22.(2025•福建)我国古代劳动人民因地制宜生产食盐。如《明史》记载:“解州之盐,风水所结; 闽粤之盐,集卤。” (1)解州之“盐”指池盐,即自然条件下盐湖结晶得到的食盐(含Na SO 等杂质),常产于气 2 4 候干旱地区。 ①池盐属于 (填“纯净物”或“混合物”)。 ②盐湖遇到西北风(冷空气)或南风(热空气)时,均会出现“一夜浮华”(析出大量晶体)的 现象。所得晶体中,NaCl含量较高的自然条件是 (填“西北风”或“南风”),理 由是 。(已知:Na SO 和NaCl的溶解度曲线如图所示) 2 4 (2)闽粤之“盐”指海盐,其生产工艺(集卤):海水先经风吹和日晒获得较浓卤水,再煎制 得食盐。生产时,古人用不同浓度的食盐水处理过的石莲子(一种植物果实)和竹筒制成莲管秤 (如图A所示),用来检验卤水的浓度是否达到煎制要求。 ①“集卤”工艺不采用直接蒸煮海水的方法提取食盐,其原因是 。 ②处理石莲子时,需配制饱和食盐水,其操作是 。 ③莲管秤中的1~4号石莲子的密度依次减小。现将两份卤水分别倒入莲管秤中,观察到石莲子 的沉浮情况如图B和图C所示,对应的卤水浓度较大的是 (填“B”或“C”),莲管 秤能区分不同浓度卤水的原理是 。 10关注公众号:陆陆高分冲刺 ~领取:最新版“小中高考-总复习”、最新试卷下载 11关注公众号:陆陆高分冲刺 ~领取:最新版“小中高考-总复习”、最新试卷下载 中考化学一轮复习 溶解度曲线及其应用 参考答案与试题解析 一.选择题(共12小题) 1.(2025•广安)20℃时,将一定质量的甲、乙两种溶液进行恒温蒸发,蒸发溶剂的质量与析出晶 体的质量关系如图所示(图中两线相交于c点)。下列分析错误的是( ) A.20℃时,b点对应的乙溶液是不饱和溶液 B.20℃时,对甲、乙两种溶液恒温蒸发28g溶剂,两者析出晶体的质量相等 C.20℃时,等质量的甲、乙两种饱和溶液中,溶质质量:乙>甲 D.20℃时,甲的饱和溶液溶质质量分数为25% 【考点】晶体和结晶的概念与现象;有关溶质质量分数的简单计算;饱和溶液和不饱和溶液. 【专题】溶液、浊液与溶解度. 【答案】D 【分析】A、根据乙溶液蒸发一定量的溶剂后才开始析出晶体,进行分析判断。 B、根据甲蒸发一开始蒸发溶剂后才开始析出晶体,乙溶液蒸发一定量的溶剂后才开始析出晶体, 进行分析判断。 C、根据20℃时,由蒸发溶剂的质量与析出晶体的质量之间的关系图,有晶体析出后,乙曲线的 斜率大,进行分析判断。 D、根据20℃时,蒸发15g水,析出10g甲晶体,进行分析判断。 【解答】解:A、b点后,乙溶液蒸发一定量的溶剂后才开始析出晶体,则20℃时,b点对应的乙 溶液是不饱和溶液,故选项说法正确。 B、由图可知,20℃时,对甲、乙两种溶液恒温蒸发28g溶剂,两者析出晶体的质量相等,故选 项说法正确。 C、20℃时,由蒸发溶剂的质量与析出晶体的质量之间的关系图,有晶体析出后,乙曲线的斜率 大,20℃时,乙的溶解度更大,则20℃时,等质量的甲、乙两种饱和溶液中,溶质质量:乙>甲, 故选项说法正确。 D、20℃时,蒸发 15g 水,析出 10g 甲晶体,20℃时,甲的饱和溶液溶质质量分数为 12关注公众号:陆陆高分冲刺 ~领取:最新版“小中高考-总复习”、最新试卷下载 10g ×100%=40%,故选项说法错误。 10g+15g 故选:D。 【点评】本题难度不大,理解图示的含义、掌握饱和溶液的特征、溶解度的含义等是正确解答本 题的关键。 2.(2025•连云港)80℃时将饱和Li SO 溶液和饱和Na CO 溶液混合反应,制备Li CO 晶体。 2 4 2 3 2 3 Na CO 、Li SO 、Li CO 的溶解度曲线如图所示。下列说法正确的是( ) 2 3 2 4 2 3 A.Na CO 的溶解度一定比Li SO 的大 2 3 2 4 B.20℃时Li SO 饱和溶液升温到40℃时变为不饱和溶液 2 4 C.40℃时将60gNa CO 固体加入100g水中得到160g溶液 2 3 D.该制备反应利用了Li CO 溶解度相对较小的性质 2 3 【考点】固体溶解度曲线及其作用;溶解度的相关计算;饱和溶液和不饱和溶液相互转变的方法. 【专题】溶液、浊液与溶解度. 【答案】D 【分析】A、根据选项说法没有指明温度,进行分析判断。 B、根据Li SO 的溶解度随着温度的升高而减小,进行分析判断。 2 4 C、根据40℃时碳酸钠的溶解度接近50g,进行分析判断。 D、根据Li CO 溶解度相对较小,进行分析判断。 2 3 【解答】解:A、选项说法没有指明温度,Na CO 的溶解度不一定比Li SO 的大,故选项说法错 2 3 2 4 误。 B、Li SO 的溶解度随着温度的升高而减小,20℃时Li SO 饱和溶液升温到40℃时,温度升高, 2 4 2 4 Li SO 的溶解度减小,有Li SO 析出,溶液仍为饱和溶液,故选项说法错误。 2 4 2 4 C、40℃时碳酸钠的溶解度接近50g,40℃时将60gNa CO 固体加入100g水中,最多能溶解的质 2 3 量接近50g,不能得到160g溶液,故选项说法错误。 D、将饱和 Li SO 溶液和饱和 Na CO 溶液混合反应,制备 Li CO 晶体,该制备反应利用了 2 4 2 3 2 3 Li CO 溶解度相对较小的性质,故选项说法正确。 2 3 故选:D。 13关注公众号:陆陆高分冲刺 ~领取:最新版“小中高考-总复习”、最新试卷下载 【点评】本题难度不大,理解固体溶解度曲线的含义(点、线、面和交点等)并能灵活运用是正 确解答本题的关键。 3.(2025•达州)a、b、c三种固体物质的溶解度曲线如图所示,下列说法错误的是( ) A.a中混有少量b,可采用降温结晶的方法提纯a B.t ℃时,a、c饱和溶液的溶质质量分数相等 1 C.t ℃时,将40ga加入50g水中充分溶解,所得溶液质量为70g 2 D.t ℃时,a、b、c的溶解度由大到小的关系是c>b>a 3 【考点】固体溶解度曲线及其作用;利用溶解度曲线判断混合物分离提纯的方法;溶质的质量分 数、溶解性和溶解度的关系. 【专题】溶液、浊液与溶解度. 【答案】D 【分析】A、根据结晶的方法,进行分析判断。 B、根据t ℃时,a、c的溶解度相等,进行分析判断。 1 C、根据t ℃时,a的溶解度为40g,进行分析判断。 2 D、根据t ℃时三种物质的溶解度曲线上对应的点的位置高低,进行分析判断。 3 【解答】解:A、a和b的溶解度受温度的影响不同,a的溶解度受温度的影响变化较大,而b的 溶解度受温度的影响变化较小,a中混有少量b,可采用降温结晶的方法提纯a,故选项说法正确。 B、t ℃时,a、c的溶解度相等,则t ℃时,a、c饱和溶液的溶质质量分数相等,故选项说法正确。 1 1 C、t ℃时,a的溶解度为40g,t ℃时,将40ga加入50g水中充分溶解,最多能溶解20g,所得溶 2 2 液质量为50g+20g=70g,故选项说法正确。 D、由三种物质的溶解度曲线可知,t ℃时a曲线对应的点的位置最高,其次是b,再次是c,则 3 三种物质的溶解度大小关系是a>b>c,故选项说法错误。 故选:D。 【点评】本题难度不大,理解固体溶解度曲线的含义(点、线、面和交点等)并能灵活运用是正 确解答本题的关键。 4.(2025•遂宁)《本草纲目》记载:“火药乃焰硝、硫磺、杉木炭所合……”焰硝经处理可得到 14关注公众号:陆陆高分冲刺 ~领取:最新版“小中高考-总复习”、最新试卷下载 硝酸钾和少量氯化钠的混合溶液。结合硝酸钾和氯化钠固体的溶解度曲线(不考虑水分蒸发,析 出的晶体中不含结晶水),分析下列说法中不正确的是( ) A.P点表示t ℃时硝酸钾和氯化钠的溶解度相同 1 B.t ℃时向100g水中加80g硝酸钾固体可形成180g硝酸钾溶液 2 C.若要从上述溶液中提纯硝酸钾,最好采用的方法是降温结晶 D.将t ℃时硝酸钾和氯化钠的饱和溶液升温至t ℃,此时硝酸钾溶液的溶质质量分数大于氯化钠 1 2 溶液的溶质质量分数 【考点】固体溶解度曲线及其作用;利用溶解度曲线判断混合物分离提纯的方法;溶液浓度大小 比较. 【专题】溶液、浊液与溶解度. 【答案】D 【分析】A、根据P点的含义,进行分析判断。 B、根据t ℃时硝酸钾的溶解度为80g,进行分析判断。 2 C、根据KNO 和NaCl的溶解度受温度的影响不同,硝酸钾的溶解度受温度的影响变化较大,而 3 氯化钠的溶解度受温度的影响变化较小,进行分析判断。 D、根据将t ℃时硝酸钾和氯化钠的饱和溶液升温至t ℃,硝酸钾、氯化钠的溶解度均增大,但溶 1 2 液的组成没有发生改变,进行分析判断。 【解答】解:A、P点是硝酸钾和氯化钠曲线的交点,表示t ℃时硝酸钾和氯化钠的溶解度相同, 1 故选项说法正确。 B、t ℃时硝酸钾的溶解度为80g,t ℃时向100g水中加80g硝酸钾固体,恰好完全溶解,可形成 2 2 180g硝酸钾溶液,故选项说法正确。 C、KNO 和NaCl的溶解度受温度的影响不同,硝酸钾的溶解度受温度的影响变化较大,而氯化 3 钠的溶解度受温度的影响变化较小,若要从上述溶液中提纯硝酸钾,最好采用的方法是降温结晶, 故选项说法正确。 D、t ℃时硝酸钾的溶解度等于氯化钠的溶解度,t ℃硝酸钾溶液的溶质质量分数等于氯化钠溶液 1 1 的溶质质量分数;将t ℃时硝酸钾和氯化钠的饱和溶液升温至 t ℃,硝酸钾、氯化钠的溶解度均 1 2 增大,但溶液的组成没有发生改变,此时硝酸钾溶液的溶质质量分数等于氯化钠溶液的溶质质量 15关注公众号:陆陆高分冲刺 ~领取:最新版“小中高考-总复习”、最新试卷下载 分数,故选项说法错误。 故选:D。 【点评】本题难度不大,理解固体溶解度曲线的含义(点、线、面和交点等)并能灵活运用是正 确解答本题的关键。 5.(2025•眉山)甲、乙两种固体物质的溶解度曲线如图所示。下列说法正确的是( ) A.甲的溶解度比乙大 B.在t ℃时,甲、乙溶液中的溶质质量分数相等 1 C.将t ℃时甲的饱和溶液降温至t ℃,析出晶体质量为20g 2 1 D.分别将t ℃时甲、乙的饱和溶液降温至t ℃,所得溶液的溶质质量分数相等 2 1 【考点】固体溶解度曲线及其作用;晶体和结晶的概念与现象. 【专题】溶液、浊液与溶解度. 【答案】D 【分析】根据固体的溶解度曲线,可以查出某物质在一定温度下的溶解度,从而确定物质的溶解 性;可以比较不同物质在同一温度下的溶解度大小,从而判断饱和溶液中溶质的质量分数的大小; 可以判断物质的溶解度随温度变化的变化情况,从而判断提纯晶体的方法。 【解答】解:A、在比较物质的溶解度时,需要指明温度,温度不能确定,溶解度也比去年多, 故A错误; B、在t ℃时,甲、乙溶液的状态不能确定,所以溶液的溶质质量分数不能确定,故B错误; 1 C、将t ℃时甲的饱和溶液降温至t ℃,饱和溶液的质量不能确定,所以析出的晶体质量 不能确 2 1 定,故C错误; D、分别将t ℃时甲、乙的饱和溶液降温至t ℃,溶解度减小,且溶解度相等,所以所得溶液的溶 2 1 质质量分数相等,故D正确。 故选:D。 【点评】本题难度不是很大,主要考查了固体的溶解度曲线所表示的意义,及根据固体的溶解度 曲线来解决相关的问题,从而培养分析问题、解决问题的能力。 6.(2025•苏州)工业制备的重铬酸钾(K Cr O )中常混有少量KCl,两种物质的溶解度曲线如图 2 2 7 16关注公众号:陆陆高分冲刺 ~领取:最新版“小中高考-总复习”、最新试卷下载 所示。下列说法正确的是( ) A.K Cr O 的溶解度一定比KCl的大 2 2 7 B.40℃时,将50gKCl加入100g水中,所得溶液质量为150g C.60℃时,两种物质的饱和溶液的溶质质量分数相等 D.采用蒸发结晶的方法可除去K Cr O 中混有的少量KCl 2 2 7 【考点】固体溶解度曲线及其作用;溶质的质量分数、溶解性和溶解度的关系;结晶的原理、方 法及其应用. 【专题】溶液、浊液与溶解度. 【答案】C 【分析】A、根据选项说法没有指明温度,进行分析判断。 B、根据40℃时,KCl的溶解度为40g,进行分析判断。 C、根据60℃时,K Cr O 和KCl的溶解度相等,进行分析判断。 2 2 7 D、根据K Cr O 和KCl的溶解度受温度的影响不同,K Cr O 的溶解度受温度的影响变化较大, 2 2 7 2 2 7 而KCl的溶解度受温度的影响变化较小,进行分析判断。 【解答】解:A、选项说法没有指明温度,K Cr O 的溶解度不一定比KCl的大,也可能是相等 2 2 7 或小于,故选项说法错误。 B、40℃时,KCl的溶解度为40g,40℃时,将50gKCl加入100g水中,最多只能溶解40g,所得 溶液质量为40g+100g=140g,故选项说法错误。 溶解度 C、60℃时,K Cr O 和 KCl 的溶解度相等,饱和溶液中溶质质量分数= × 2 2 7 溶解度+100g 100%,则60℃时,两种物质的饱和溶液的溶质质量分数相等,故选项说法正确。 D、K Cr O 和KCl的溶解度受温度的影响不同,K Cr O 的溶解度受温度的影响变化较大,而 2 2 7 2 2 7 KCl的溶解度受温度的影响变化较小,采用降温结晶的方法可除去 K Cr O 中混有的少量KCl, 2 2 7 故选项说法错误。 故选:C。 【点评】本题难度不大,理解固体溶解度曲线的含义(点、线、面和交点等)并能灵活运用是正 确解答本题的关键。 17关注公众号:陆陆高分冲刺 ~领取:最新版“小中高考-总复习”、最新试卷下载 7.(2025•德阳)五水硫酸铜(CuSO •5H O)的溶解度曲线如图所示。结合你参与的“制备五水硫 4 2 酸铜晶体”跨学科实践活动分析。下列说法错误的是( ) A.20℃~60℃时,五水硫酸铜的溶解度随温度升高而增大 B.60℃时,50g水中加入45g五水硫酸铜充分溶解,可得硫酸铜饱和溶液 C.根据溶解度曲线判断,可采用降温结晶的方法制备五水硫酸铜晶体 D.饱和硫酸铜溶液降温结晶时,降温快慢对结晶出的五水硫酸铜晶体形状无影响 【考点】固体溶解度曲线及其作用. 【专题】溶液、浊液与溶解度. 【答案】D 【分析】根据固体的溶解度曲线,可以查出某物质在一定温度下的溶解度,从而确定物质的溶解 性;可以比较不同物质在同一温度下的溶解度大小,从而判断饱和溶液中溶质的质量分数的大小; 可以判断物质的溶解度随温度变化的变化情况,从而判断提纯晶体的方法。 【解答】解:A、通过分析溶解度曲线可知,20℃~60℃时,五水硫酸铜的溶解度随温度升高而 增大,故A正确; B、60℃时,五水硫酸铜的溶解度是83.8g,所以50g水中加入45g五水硫酸铜充分溶解,可得硫 酸铜饱和溶液,故B正确; C、根据溶解度曲线判断,可采用降温结晶的方法制备五水硫酸铜晶体,故C正确; D、饱和硫酸铜溶液降温结晶时,降温快慢对结晶出的五水硫酸铜晶体形状影响较大,故D错误。 故选:D。 【点评】本题难度不是很大,主要考查了固体的溶解度曲线所表示的意义,及根据固体的溶解度 曲线来解决相关的问题,从而培养分析问题、解决问题的能力。 8.(2025•新疆)如图是硝酸钾的溶解度曲线。下列说法不正确的是( ) 18关注公众号:陆陆高分冲刺 ~领取:最新版“小中高考-总复习”、最新试卷下载 A.硝酸钾的溶解度随温度的升高而增大 B.60℃时,M点的硝酸钾溶液是不饱和溶液 C.降低温度可以使硝酸钾溶液的状态从M点转化为N点 D.60℃时,向50g水中加入60g硝酸钾,所得溶液的质量是110g 【考点】固体溶解度曲线及其作用;饱和溶液和不饱和溶液相互转变的方法. 【专题】溶液、浊液与溶解度. 【答案】D 【分析】根据固体的溶解度曲线,可以查出某物质在一定温度下的溶解度,从而确定物质的溶解 性;可以比较不同物质在同一温度下的溶解度大小,从而判断饱和溶液中溶质的质量分数的大小; 可以判断物质的溶解度随温度变化的变化情况,从而判断提纯晶体的方法。 【解答】解:A、通过分析溶解度曲线可知,硝酸钾的溶解度随温度的升高而增大,故A正确; B、60℃时,M点在硝酸钾溶解度曲线的下发,所以硝酸钾溶液是不饱和溶液,故B正确; C、降低温度可以使硝酸钾溶液的状态从M点转化为N点,故C正确; D、60℃时,硝酸钾的溶解度时110g,向50g水中加入60g硝酸钾,只能溶解55g的晶体,所得 溶液的质量是105g,故D错误。 故选:D。 【点评】本题难度不是很大,主要考查了固体的溶解度曲线所表示的意义,及根据固体的溶解度 曲线来解决相关的问题,从而培养分析问题、解决问题的能力。 9.(2025•广西)侯氏制碱法中涉及的三种物质的溶解度曲线如图所示。下列说法正确的是 ( ) 19关注公众号:陆陆高分冲刺 ~领取:最新版“小中高考-总复习”、最新试卷下载 A.三种物质中,NH Cl的溶解度最大 4 B.将40℃时的NaCl、NH Cl饱和溶液分别降温至t ℃,析出晶体的质量m(NH Cl)>m 4 1 4 (NaCl) C.t ℃时,取等质量的NaCl、NH Cl固体分别溶于水配成饱和溶液,溶液的质量一定相等 1 4 D.t ℃时,10gNaHCO 固体能完全溶于50g水中 2 3 【考点】固体溶解度曲线及其作用;晶体和结晶的概念与现象. 【专题】溶液、浊液与溶解度. 【答案】C 【分析】A、根据选项说法没有指明温度,进行分析判断。 B、根据选项说法没有指明饱和溶液的质量,进行分析判断。 C、根据t ℃时,NaCl、NH Cl的溶解度相等,进行分析判断。 1 4 D、根据t ℃时,碳酸氢钠的溶解度为10g,进行分析判断。 2 【解答】解:A、选项说法没有指明温度,无法比较它们的溶解度大小,故选项说法错误。 B、选项说法没有指明饱和溶液的质量,将40℃时的NaCl、NH Cl饱和溶液分别降温至t ℃,无 4 1 法比较析出晶体的质量大小,故选项说法错误。 C、t ℃时,NaCl、NH Cl的溶解度相等,t ℃时,取等质量的NaCl、NH Cl固体分别溶于水配成 1 4 1 4 饱和溶液,溶液的质量一定相等,故选项说法正确。 D、t ℃时,碳酸氢钠的溶解度为10g,t ℃时,50g水中最多能溶解5g碳酸氢钠,则t ℃时, 2 2 2 10gNaHCO 固体不能完全溶于50g水中,故选项说法错误。 3 故选:C。 【点评】本题难度不大,理解固体溶解度曲线的含义(点、线、面和交点等)并能灵活运用是正 确解答本题的关键。 10.(2025•深圳)(NH ) SO 和NH Cl是两种常见的氮肥,二者溶解度曲线如图所示,下列骥翔 4 2 4 4 同学和帆帆同学说法正确的是( ) A.NH Cl的溶解度比(NH ) SO 的溶解度小 4 4 2 4 B.将20℃(NH ) SO 的饱和溶液升温至80℃,溶质质量分数会增大 4 2 4 C.40℃时NH Cl饱和溶液质量分数为45.8% 4 20关注公众号:陆陆高分冲刺 ~领取:最新版“小中高考-总复习”、最新试卷下载 D.80℃时将94.1g(NH ) SO 加入200g水中,会形成不饱和溶液 4 2 4 【考点】固体溶解度曲线及其作用;溶质的质量分数、溶解性和溶解度的关系. 【专题】溶液、浊液与溶解度. 【答案】D 【分析】根据固体的溶解度曲线,可以查出某物质在一定温度下的溶解度,从而确定物质的溶解 性;可以比较不同物质在同一温度下的溶解度大小,从而判断饱和溶液中溶质的质量分数的大小; 可以判断物质的溶解度随温度变化的变化情况。 【解答】解:A、比较溶解度大小,需要有温度的限制,故A错; B、将20℃(NH ) SO 的饱和溶液升温至80℃,溶解度变大,变为不饱和溶液,溶质质量分数 4 2 4 不变,故B错; 45.8g C、40℃时NH Cl饱和溶液质量分数为: ×100%≈31.4%,故B错; 4 100g+45.8g D、80℃时,(NH ) SO 的溶解度是94.1g,即在该温度下,100g水中最多溶解94.1g硫酸铵, 4 2 4 所以200g水中最多溶解188.2g,所以80℃时将94.1g(NH ) SO 加入200g水中,会形成不饱和 4 2 4 溶液,故D正确。 故选:D。 【点评】本题难度不是很大,主要考查了固体的溶解度曲线所表示的意义,及根据固体的溶解度 曲线来解决相关的问题,从而培养分析问题、解决问题的能力。 11.(2025•青海)《开宝本草》中记载“所在山泽,冬月地上有霜,扫取以水淋汁后,乃煎炼而 成”,此处“霜”主要成分为KNO 。结合如图,下列说法不正确的是( ) 3 A.20℃时,KNO 的溶解度是63.9g 3 B.“扫取以水淋汁”体现了硝酸钾易溶于水 C.40℃时,将70gKNO 加入100g水中得到饱和溶液 3 D.“冬月地上有霜”证明KNO 的溶解度随温度的降低而降低 3 【考点】固体溶解度曲线及其作用;物质的溶解性及影响溶解性的因素. 【专题】溶液、浊液与溶解度. 【答案】A 【分析】A、根据溶解度曲线图,进行分析判断。 21关注公众号:陆陆高分冲刺 ~领取:最新版“小中高考-总复习”、最新试卷下载 B、根据“扫取以水淋汁”的含义,进行分析判断。 C、根据40℃时,KNO 的溶解度是63.9g,进行分析判断。 3 D、根据“冬月地上有霜”,说明温度降低,有硝酸钾晶体析出,进行分析判断。 【解答】解:A、由溶解度曲线图可知,20℃时,KNO 的溶解度是31.6g,故选项说法错误。 3 B、“扫取以水淋汁”,指的是溶解,体现了硝酸钾易溶于水,故选项说法正确。 C、40℃时,KNO 的溶解度是63.9g,40℃时,将70gKNO 加入100g水中,最多能溶解63.9g, 3 3 得到的是饱和溶液,故选项说法正确。 D、“冬月地上有霜”,说明温度降低,有硝酸钾晶体析出,证明KNO 的溶解度随温度的降低 3 而降低,故选项说法正确。 故选:A。 【点评】本题难度不大,理解固体溶解度曲线的含义(点、线、面和交点等)并能灵活运用是正 确解答本题的关键。 12.(2025•成都)《史记正义》记载“垦畦浇晒”产盐法,过程如图。卤水含大量Na SO 和NaCl 2 4 等物质,结合溶解度曲线分析,下列说法正确的是( ) A.晶体1是NaCl,晶体2是Na SO 2 4 B.“过箩”到“晒制”,NaCl的质量分数一直变大 C.“母液”中含有Na SO 和NaCl 2 4 D.降温结晶可除去NaCl溶液中的少量Na SO 2 4 【考点】固体溶解度曲线及其作用;利用溶解度曲线判断混合物分离提纯的方法. 【专题】溶液、浊液与溶解度. 【答案】C 【分析】根据固体的溶解度曲线,可以查出某物质在一定温度下的溶解度,从而确定物质的溶解 性;可以比较不同物质在同一温度下的溶解度大小,从而判断饱和溶液中溶质的质量分数的大小; 可以判断物质的溶解度随温度变化的变化情况,从而判断提纯晶体的方法。 【解答】解:A、硫酸钠的溶解度受温度变化影响较大,氯化钠的溶解度受温度变化影响较小, 所以晶体1是硫酸钠,晶体2是氯化钠,故A错误; B、“过箩”到“晒制”,NaCl的质量分数先增大,析出晶体后不变,故B错误; 22关注公众号:陆陆高分冲刺 ~领取:最新版“小中高考-总复习”、最新试卷下载 C、“母液”中含有Na SO 和NaCl,故C正确; 2 4 D、蒸发结晶可除去NaCl溶液中的少量Na SO ,故D错误。 2 4 故选:C。 【点评】本题难度不是很大,主要考查了固体的溶解度曲线所表示的意义,及根据固体的溶解度 曲线来解决相关的问题,从而培养分析问题、解决问题的能力。 二.选择填充题(共1小题) 13.(2025•江西)从盐卤水(含硫酸钠、氯化钠等)中提取的硫酸钠可用于制中药西瓜霜,硫酸钠 和氯化钠的溶解度曲线如图。下列说法正确的是 C 。 A.40℃时氯化钠的溶解度是48.8g B.t℃时氯化钠溶液和硫酸钠溶液的溶质质量相等 C.可用降温结晶的方法从盐卤水中提取硫酸钠晶体 D.将t℃饱和硫酸钠溶液变为不饱和溶液的方法是 加入溶剂(或升高温度等) 【考点】固体溶解度曲线及其作用;利用溶解度曲线判断混合物分离提纯的方法;饱和溶液和不 饱和溶液相互转变的方法. 【专题】溶液、浊液与溶解度. 【答案】C;加入溶剂(或升高温度等)。 【分析】A、根据溶解度曲线图,进行分析判断。 B、根据选项说法没有指明溶液的质量、溶液是否饱和,进行分析判断。 C、根据温度小于40℃,硫酸钠的溶解度随着温度的降低而减小,氯化钠的溶解度受温度的影响 变化不大,进行分析判断。 D、根据饱和溶液转化为不饱和溶液的方法,进行分析判断。 【解答】解:A、由溶解度曲线图可知,40℃时硫酸钠的溶解度是48.8g,故选项说法错误。 B、选项说法没有指明溶液的质量、溶液是否饱和,则 t℃时氯化钠溶液和硫酸钠溶液的溶质质量 不一定相等,故选项说法错误。 C、温度小于40℃,硫酸钠的溶解度随着温度的降低而减小,氯化钠的溶解度受温度的影响变化 不大,可用降温结晶的方法从盐卤水中提取硫酸钠晶体,故选项说法正确。 D、将t℃饱和硫酸钠溶液变为不饱和溶液的方法是加入溶剂、升高温度等。 故答案为: 23关注公众号:陆陆高分冲刺 ~领取:最新版“小中高考-总复习”、最新试卷下载 C;加入溶剂(或升高温度等)。 【点评】本题难度不大,理解固体溶解度曲线的含义(点、线、面和交点等)并能灵活运用是正 确解答本题的关键。 三.填空题(共6小题) 14.(2025•长沙)小湖同学在进行“海洋资源的综合利用与制盐”跨学科实践活动中,查阅到海水 中氯化钠和硫酸钠的溶解度曲线如图所示。 (1)在0~40℃时,图中物质的溶解度受温度影响较大的是 硫酸钠 。 (2)在t℃时,氯化钠饱和溶液、硫酸钠饱和溶液中溶质的质量分数 相等 (填“相等”或 “不相等”)。 (3)通过实践活动最终获得了氯化钠固体,写出氯化钠的一种用途 用作化工原料或用作调味 品等 。 【考点】固体溶解度曲线及其作用;溶质的质量分数、溶解性和溶解度的关系. 【专题】溶液、浊液与溶解度. 【答案】解:(1)硫酸钠。 (2)相等。 (3)用作化工原料或用作调味品等。 【分析】根据物质的溶解度曲线可以判断某一温度时物质的溶解度大小比较。 根据物质的溶解度曲线可以判断随着温度的变化,物质的溶解度变化情况。 溶解度 饱和溶液溶质质量分数= ×100%。 100g+溶解度 【解答】解:(1)在0~40℃时,图中物质的溶解度受温度影响较大的是硫酸钠。 故答案为:硫酸钠。 (2)在t℃时氯化钠和硫酸钠的溶解度相等,氯化钠饱和溶液、硫酸钠饱和溶液中溶质的质量分 数相等。 故答案为:相等。 (3)氯化钠的一种用途是用作化工原料或用作调味品等。 故答案为:用作化工原料或用作调味品等。 【点评】溶解度曲线能定量地表示出溶解度变化的规律,从溶解度曲线可以看出:同一溶质在不 24关注公众号:陆陆高分冲刺 ~领取:最新版“小中高考-总复习”、最新试卷下载 同温度下的溶解度不同;同一温度下,不同溶质的溶解度可能相同,也可能不同;温度对不同物 质的溶解度影响不同。 15.(2025•黑龙江)海洋蕴藏着丰富的资源,人类应合理开发和应用。海水中含有 KCl和MgSO 4 等物质,其在不同温度时的溶解度如下表所示,下图是对应的溶解度曲线。 温度℃ 20 30 40 60 80 100 溶解度/g KCl 34.0 37.0 40.0 45.5 51.1 56.7 MgSO 33.7 38.9 44.5 54.6 55.8 50.4 4 (1)代表KCl溶解度曲线的是 甲 (填“甲”或“乙”)。 (2)40℃时,将30gKCl固体加入50g水中,充分溶解后,所得溶液的质量为 7 0 g。 (3)t ℃时,将等质量的甲、乙两物质的饱和溶液降温到t ℃时,析出晶体的质量甲 = 乙 2 1 (填“>”“<”或“=”)。 (4)t ℃时,将100gMgSO 饱和溶液逐渐降温经t ℃直至t ℃,其溶质质量分数的变化趋势是 3 4 2 1 先不变后变小 。 【考点】固体溶解度曲线及其作用;有关溶质质量分数的简单计算;晶体和结晶的概念与现象. 【专题】溶液、浊液与溶解度. 【答案】(1)甲; (2)70; (3)=; (4)先不变后变小。 【分析】(1)根据KCl的溶解度随温度升高而增大来分析解答; (2)根据40℃时,KCl的溶解度是40.0g来分析解答; (3)根据t ℃时,甲、乙溶解度相等,降温到t ℃时,甲、乙的溶解度相等来分析解答; 2 1 (4)根据t ℃降温到t ℃,MgSO 溶解度增大,饱和溶液变为不饱和溶液,溶质、溶剂质量不变, 3 2 4 t ℃降温到t ℃,MgSO 溶解度减小来分析解答。 2 1 4 【解答】解:(1)由表格数据可知,KCl的溶解度随温度升高而增大,MgSO 的溶解度随温度 4 升高先增大后减小,曲线甲溶解度随温度升高持续增大,所以代表KCl溶解度曲线的是甲; (2)40℃时,KCl的溶解度是40.0g,则40℃时,100g水中最多溶解40.0gKCl,那么50g水中最 25关注公众号:陆陆高分冲刺 ~领取:最新版“小中高考-总复习”、最新试卷下载 多溶解 KCl 的质量为 20g,将 30gKCl 固体加入 50g 水中,只能溶解 20g,所得溶液质量为 20g+50g=70g; 溶解度 (3)t ℃时,甲、乙溶解度相等,根据饱和溶液的溶质质量分数= ×100%,等 2 100g+溶解度 质量的甲、乙两物质饱和溶液的溶质质量分数相等,溶质质量也相等,降温到 t ℃时,甲、乙的 1 溶解度都减小,但仍相等,而溶剂质量都不变,所以析出晶体的质量甲=乙; (4)t ℃降温到t ℃,MgSO 溶解度增大,饱和溶液变为不饱和溶液,溶质、溶剂质量不变,溶 3 2 4 质质量分数不变,t ℃降温到t ℃,MgSO 溶解度减小,当溶解度小于t ℃的溶解度之后,会析 2 1 4 3 出晶体,溶质质量减小,溶剂质量不变,溶质质量分数减小,所以其溶质质量分数的变化趋势是 先不变后变小。 故答案为:(1)甲; (2)70; (3)=; (4)先不变后变小。 【点评】在解此类题时,首先分析题中考查的问题,然后结合学过的知识和题中的知识进行分析 解答。 16.(2025•齐齐哈尔)如图是硝酸钾和氯化钠的溶解度曲线。请回答下列问题: (1)图中P点的含义是 t ℃时,硝酸钾和氯化钠(或 KNO 和 NaC l )的溶解度相等 。 3 (2)若氯化钠中混有少量硝酸钾,可用 蒸发结晶 (填“蒸发结晶”或“降温结晶”)的 方法提纯氯化钠。 (3)50℃时,将90g硝酸钾加入100g水中,充分溶解后,所得溶液是 饱和 (填“饱和” 或“不饱和”)溶液,溶液的质量是 185. 5 g。 (4)50℃时,分别将等质量的硝酸钾饱和溶液和氯化钠饱和溶液降温至 t℃,对所得溶液的叙述 正确的是 BCD 。 A.溶解度:氯化钠>硝酸钾 B.溶剂质量:氯化钠>硝酸钾 C.溶质质量分数:氯化钠=硝酸钾 D.溶质质量:氯化钠>硝酸钾 26关注公众号:陆陆高分冲刺 ~领取:最新版“小中高考-总复习”、最新试卷下载 【考点】固体溶解度曲线及其作用;利用溶解度曲线判断混合物分离提纯的方法;晶体和结晶的 概念与现象. 【专题】溶液、浊液与溶解度. 【答案】(1)t℃时,硝酸钾和氯化钠(或KNO 和NaCl)的溶解度相等; 3 (2)蒸发结晶; (3)饱和;185.5; (4)BCD。 【分析】根据固体的溶解度曲线,可以查出某物质在一定温度下的溶解度,从而确定物质的溶解 性;可以比较不同物质在同一温度下的溶解度大小,从而判断饱和溶液中溶质的质量分数的大小; 可以判断物质的溶解度随温度变化的变化情况,从而判断提纯晶体的方法。 【解答】解:(1)溶解度曲线交点的含义是在该温度下,两种物质的溶解度相等,观察可知,P 点是硝酸钾和氯化钠溶解度曲线的交点,所以 P点的含义是在t℃时,硝酸钾和氯化钠的溶解度 相等; (2)硝酸钾的溶解度受温度影响较大,氯化钠的溶解度受温度影响较小。当氯化钠中含有少量 硝酸钾时,蒸发结晶,大部分氯化钠会结晶析出,而硝酸钾在较高温度下溶解度较大,不会大量 析出,从而可以得到氯化钠; (3)由图可知,50℃时硝酸钾的溶解度是85.5g,即50℃时,100g水中最多溶解85.5g硝酸钾。 将90g硝酸钾加入100g水中,充分溶解后,溶解的硝酸钾质量为85.5g,有90g﹣85.5g=4.5g硝 酸钾未溶解,所以所得溶液是饱和溶液,溶液的质量是100g+85.5g=185.5g; (4)A、由图可知,t℃时,氯化钠和硝酸钾的溶解度相等,故选项说法错误; B、50℃时,硝酸钾的溶解度大于氯化钠,则等质量的硝酸钾饱和溶液和氯化钠饱和溶液中,氯 化钠溶液中溶剂质量更大,则50℃时,分别将等质量的硝酸钾饱和溶液和氯化钠饱和溶液降温至 t℃,溶剂质量不变,则t℃时,溶剂质量:氯化钠>硝酸钾,故选项说法正确; C、氯化钠和硝酸钾的溶解度都随温度降低而减小,50℃时,分别将等质量的硝酸钾饱和溶液和 氯化钠饱和溶液降温至t℃,二者还是饱和溶液,t℃时,氯化钠和硝酸钾的溶解度相等,饱和溶 溶解度 液的溶质质量分数= ×100%,则t℃时,溶质质量分数:氯化钠=硝酸钾,故选 100g+溶解度 项说法正确; D、t℃时,氯化钠和硝酸钾的溶解度相等,二者还是饱和溶液,且t℃时,溶剂质量:氯化钠> 硝酸钾,则溶质质量:氯化钠>硝酸钾,故选项说法正确; 故答案为:(1)t℃时,硝酸钾和氯化钠(或KNO 和NaCl)的溶解度相等; 3 (2)蒸发结晶; (3)饱和;185.5; 27关注公众号:陆陆高分冲刺 ~领取:最新版“小中高考-总复习”、最新试卷下载 (4)BCD。 【点评】本题难度不是很大,主要考查了固体的溶解度曲线所表示的意义,及根据固体的溶解度 曲线来解决相关的问题,从而培养分析问题、解决问题的能力。 17.(2025•绥化)KNO 和NaCl的溶解度曲线如图所示。 3 (1) KNO 或硝酸钾 的溶解度受温度影响变化较大。 3 (2)t ℃时,KNO 的溶解度 = NaCl的溶解度(填“>”、“<”或“=”)。 2 3 (3)t ℃时,完全溶解16gKNO 固体,可得到硝酸钾饱和溶液的质量为 3 6 g。 3 3 【考点】固体溶解度曲线及其作用. 【专题】溶液、浊液与溶解度. 【答案】(1)KNO 或硝酸钾; 3 (2)=; (3)36。 【分析】根据固体的溶解度曲线,可以查出某物质在一定温度下的溶解度,从而确定物质的溶解 性;可以比较不同物质在同一温度下的溶解度大小,从而判断饱和溶液中溶质的质量分数的大小; 可以判断物质的溶解度随温度变化的变化情况,从而判断提纯晶体的方法。 【解答】解:(1)由溶解度曲线可知,硝酸钾的溶解度受温度影响变化较大; (2)由溶解度曲线可知,t ℃时,KNO 的溶解度=NaCl的溶解度; 2 3 (3)t ℃时,KNO 的溶解度是80g,即在该温度下,100g水中最多溶解80g硝酸钾,所以10g 3 3 水中最多溶解8g硝酸钾,所以完全溶解 16gKNO 固体,需要20g水,所以t ℃时,完全溶解 3 3 16gKNO 固体,可得到硝酸钾饱和溶液的质量为:16g+20g=36g。 3 故答案为:(1)KNO 或硝酸钾; 3 (2)=; (3)36。 【点评】本题难度不是很大,主要考查了固体的溶解度曲线所表示的意义,及根据固体的溶解度 曲线来解决相关的问题,从而培养分析问题、解决问题的能力。 18.(2025•河北)感探究之趣,赏化学之美——制作美丽硫酸铜晶体。图1所示为硫酸铜的溶解度 28关注公众号:陆陆高分冲刺 ~领取:最新版“小中高考-总复习”、最新试卷下载 曲线,图2所示为制作硫酸铜晶体的实验过程(不考虑水的蒸发)。 请回答下列问题: (1)0~60℃,温度越高,硫酸铜的溶解度 增大 。 (2)A点的意义:60℃时,硫酸铜的溶解度为 4 0 g。 (3)②中溶液是60℃时硫酸铜的 不饱和 (填“饱和”或“不饱和”)溶液。 (4)比较①③溶液中硫酸铜的质量分数:① = ③(填“>”“=”或“<”)。 (5)写出一种处理③中溶液的方法: 用于配制农药波尔多液(答案不唯一) 。 【考点】固体溶解度曲线及其作用;饱和溶液和不饱和溶液;晶体和结晶的概念与现象. 【专题】溶液、浊液与溶解度. 【答案】(1)增大; (2)40; (3)不饱和; (4)=; (5)用于配制农药波尔多液(答案不唯一)。 【分析】(1)根据硫酸铜的溶解度曲线,进行分析解答。 (2)根据溶解度曲线某一点的含义,进行分析解答。 (3)根据60℃时,硫酸铜的溶解度为40g,进行分析解答。 (4)根据③中溶液是20℃时取出晶体后得到的,进行分析解答。 (5)根据处理硫酸铜溶液的方法,进行分析解答。 【解答】解:(1)由硫酸铜的溶解度曲线可知,0~60℃,温度越高,硫酸铜的溶解度增大。 (2)A点的意义:60℃时,硫酸铜的溶解度为40g。 (3)60℃时,硫酸铜的溶解度为40g,该温度下,100g水中最多能溶解40g硫酸铜,则②中溶 液,溶质的质量为36g,是60℃时硫酸铜的不饱和溶液。 (4)③中溶液是20℃时取出晶体后得到的,①③溶液均为20℃时硫酸铜的饱和溶液,①③ 溶液中硫酸铜的质量分数:①=③。 (5)③中溶液是硫酸铜的饱和溶液,硫酸铜溶液可用于配制农药波尔多液,则处理③中溶液可 以是用于配制农药波尔多液(答案不唯一)。 29关注公众号:陆陆高分冲刺 ~领取:最新版“小中高考-总复习”、最新试卷下载 故答案为: (1)增大; (2)40; (3)不饱和; (4)=; (5)用于配制农药波尔多液(答案不唯一)。 【点评】本题难度不大,理解固体溶解度曲线的含义(点、线、面和交点等)并能灵活运用是正 确解答本题的关键。 19.(2025•甘肃)如图为NaCl、NH Cl和NaHCO 的溶解度曲线。 4 3 (1)t ℃时,NaCl的溶解度 > (填“>”或”<”)NH Cl的溶解度。 1 4 (2)将t ℃时NH Cl的不饱和溶液变为该温度下的饱和溶液,可采取的措施是 加入氯化铵或 2 4 恒温蒸发溶剂等 (写一种即可)。 (3)当NH Cl溶液中混有少量NaCl时,可采用 降温结晶 的方法提纯NH Cl。 4 4 (4)t ℃时,NaHCO 饱和溶液中溶质与溶剂的质量比为 3 : 2 5 (化为最简整数比)。 3 3 【考点】固体溶解度曲线及其作用;利用溶解度曲线判断混合物分离提纯的方法;饱和溶液和不 饱和溶液相互转变的方法. 【答案】(1)>; (2)加入氯化铵或恒温蒸发溶剂等; (3)降温结晶; (4)3:25。 【分析】(1)根据t ℃时两种物质的溶解度曲线上对应的点的位置高低,进行分析判断。 1 (2)根据不饱和溶液变为该温度下的饱和溶液的方法,进行分析解答。 (3)根据NH Cl和NaCl的溶解度受温度的影响不同,NH Cl的溶解度受温度的影响变化较大, 4 4 而NaCl的溶解度受温度的影响变化较小,进行分析解答。 (4)根据t ℃时,碳酸氢钠的溶解度为12g,进行分析解答。 3 【解答】解:(1)t ℃时氯化钠对应的点的位置高,则t ℃时,NaCl的溶解度>NH Cl的溶解度。 1 1 4 (2)将t ℃时NH Cl的不饱和溶液变为该温度下的饱和溶液,可采取的措施是加入氯化铵、恒 2 4 温蒸发溶剂等。 30关注公众号:陆陆高分冲刺 ~领取:最新版“小中高考-总复习”、最新试卷下载 (3)NH Cl和NaCl的溶解度受温度的影响不同,NH Cl的溶解度受温度的影响变化较大,而 4 4 NaCl的溶解度受温度的影响变化较小,当NH Cl溶液中混有少量NaCl时,可采用降温结晶的方 4 法。 (4)t ℃时,碳酸氢钠的溶解度为12g,t ℃时,NaHCO 饱和溶液中溶质与溶剂的质量比为 3 3 3 12g:100g=3:25。 故答案为: (1)>; (2)加入氯化铵或恒温蒸发溶剂等; (3)降温结晶; (4)3:25。 【点评】本题难度不大,理解固体溶解度曲线的含义(点、线、面和交点等)并能灵活运用是正 确解答本题的关键。 四.工艺流程题(共1小题) 20.(2025•烟台)黑火药是我国古代的四大发明之一,其成分含有 KNO 。古代以硝土和草木灰 3 (主要成分K CO )为原料生产KNO 的部分流程如图1所示。 2 3 3 【查阅资料】①硝土的主要成分是KNO 、Ca(NO ) 和NaCl等。 3 3 2 ②Ca(NO ) 与K CO 能发生复分解反应。 3 2 2 3 31关注公众号:陆陆高分冲刺 ~领取:最新版“小中高考-总复习”、最新试卷下载 (1)淋硝过程中 Ca(NO ) 与 K CO 反应的化学方程式是 Ca ( NO ) +K CO = 3 2 2 3 3 2 2 3 CaCO ↓ +2KNO 。淋硝所得的溶液称为“硝水”,其溶质中一定含有的物质是 KNO 、 3 3 3 NaCl 。 (2)熬硝主要是将淋硝过程中得到的硝水浓缩成浓硝水。根据图 2中的溶解度曲线分析,冷却 热浓硝水,主要获得KNO 晶体的原因是 硝酸钾的溶解度随温度降低变化大,氯化钠溶解度随 3 温度变化小,冷却热浓溶液时,硝酸钾溶解度大幅减小,易结晶析出 。若将80℃的269g硝酸 钾饱和溶液降温到20℃,则析出硝酸钾晶体质量是 137. 4 g。 (3)滤液A可以循环使用,原因是 滤液 A 是 KNO 的饱和溶液,能够提高原料的利用率,减 3 少资源浪费 。 点燃 (4)黑火药爆炸时发生反应的化学方程式是2KNO +S+3C K S+X↑+3CO ↑,则X的 3 2 2 化学式是 N 。 2 【考点】物质的相互转化和制备;根据质量守恒定律判断物质的化学式;固体溶解度曲线及其作 用. 【专题】物质的制备. 32关注公众号:陆陆高分冲刺 ~领取:最新版“小中高考-总复习”、最新试卷下载 【答案】(1)Ca(NO ) +K CO =CaCO ↓+2KNO ;KNO 、NaCl; 3 2 2 3 3 3 3 (2)硝酸钾的溶解度随温度降低变化大,氯化钠溶解度随温度变化小,冷却热浓溶液时,硝酸 钾溶解度大幅减小,易结晶析出;137.4; (3)滤液A是KNO 的饱和溶液,能够提高原料的利用率,减少资源浪费; 3 (4)N 。 2 【分析】(1)根据硝酸钙与碳酸钾反应的原理来分析; (2)根据溶解度曲线图并结合饱和溶液的特点来分析; (3)根据滤液A是KNO 的饱和溶液来分析; 3 (4)根据质量守恒定律来分析。 【解答】解:(1)淋硝过程中Ca(NO ) 与K CO 反应的化学方程式是Ca(NO ) +K CO = 3 2 2 3 3 2 2 3 CaCO ↓+2KNO 。根据以上反应原理可知,“硝水”中一定含有的溶质是反应生成的 KNO ,以 3 3 3 及原本存在的NaCl(因硝土中有,用水冲淋会溶解)等,结合流程可知一定有KNO 、NaCl。 3 (2)硝酸钾的溶解度随温度降低变化大,氯化钠溶解度随温度变化小,冷却热浓溶液时,硝酸 钾溶解度大幅减小,易结晶析出;80℃时169g硝酸钾溶于适量水(100g)形成饱和溶液(题中 给出80℃时饱和溶液的质量为269g),降温到20℃,20℃时硝酸钾溶解度31.6g,所以析出质量 为80℃时溶解度与20℃时溶解度差值,即析出晶体质量:169g﹣31.6g=137.4g; (3)滤液A是KNO 的饱和溶液,能够提高原料的利用率,减少资源浪费; 3 点燃 (4)黑火药爆炸时发生反应的化学方程式是2KNO +S+3C K S+X↑+3CO ↑,根据化 3 2 2 学反应前后原子的总数保持不变可知,生成物还缺少2个N,即X为N 。 2 故答案为: (1)Ca(NO ) +K CO =CaCO ↓+2KNO ;KNO 、NaCl; 3 2 2 3 3 3 3 (2)硝酸钾的溶解度随温度降低变化大,氯化钠溶解度随温度变化小,冷却热浓溶液时,硝酸 钾溶解度大幅减小,易结晶析出;137.4; (3)滤液A是KNO 的饱和溶液,能够提高原料的利用率,减少资源浪费; 3 (4)N 。 2 【点评】这是一道关于化学工艺和溶解度曲线的化学题,涉及反应方程式、溶解度分析、物质循 环及质量守恒定律应用等相关知识,掌握常见物质的性质即可解答本题。 五.解答题(共2小题) 21.(2025•天津)溶液与人类生产、生活密切相关。 (1)如表是氯化钠和硝酸钾在不同温度时的溶解度。 温度/℃ 0 20 40 60 80 溶解度/g NaCl 35.7 36.0 36.6 37.3 38.4 33关注公众号:陆陆高分冲刺 ~领取:最新版“小中高考-总复习”、最新试卷下载 KNO 13.3 31.6 63.9 110 169 3 ①20℃时,氯化钠的溶解度为 36. 0 g。 ②20℃时,将20g氯化钠固体加入盛有50g水的烧杯中,充分溶解后得到的溶液质量为 6 8 g。 ③60℃时,饱和硝酸钾溶液中溶质的质量分数为 52.4% (结果精确至0.1%)。 ④将80℃时250g溶质的质量分数为60%的硝酸钾溶液降温到20℃,析出晶体的质量为 118. 4 g。 (2)农业生产可利用质量分数为16%的氯化钠溶液选种。在实验室配制300g这种溶液,需要氯 化钠的质量为 4 8 g。 【考点】固体溶解度表格及其作用;有关溶质质量分数的简单计算;晶体和结晶的概念与现象. 【专题】溶液、浊液与溶解度. 【答案】(1)①36.0。 ②68。 ③52.4%。 ④118.4。 (2)48。 【分析】根据物质的溶解度曲线可以判断某一温度时物质的溶解度大小比较。根据物质的溶解度 曲线可以判断随着温度的变化,物质的溶解度变化情况。 根据物质的溶解度曲线、溶质质量、溶剂质量可以判断配制的溶液质量。 溶解度 饱和溶液的溶质质量分数= ×100%。 100g+溶解度 根据物质的溶解度曲线、溶液质量可以判断温度变化时析出固体质量的大小。 【解答】解:(1)①20℃时,氯化钠的溶解度为36.0g。 ②20℃时氯化钠溶解度是36.0g,将20g氯化钠固体加入盛有50g水的烧杯中,充分溶解后,能 够溶解18g,得到的溶液质量为50g+18g=68g。 110g ③ 60℃时硝酸钾溶解度是 110g,饱和硝酸钾溶液中溶质的质量分数为 × 100g+110g 100%≈52.4%。 ④250g溶质的质量分数为60%的硝酸钾溶液中,硝酸钾质量是250g×60%=150g,水的质量是 250g﹣150g=100g,降温到20℃,20℃时硝酸钾溶解度是31.6g,析出晶体的质量为150g﹣31.6g =118.4g。 (2)农业生产可利用质量分数为16%的氯化钠溶液选种。在实验室配制300g这种溶液,需要氯 化钠的质量为300g×16%=48g。 34关注公众号:陆陆高分冲刺 ~领取:最新版“小中高考-总复习”、最新试卷下载 故答案为:(1)①36.0。 ②68。 ③52.4%。 ④118.4。 (2)48。 【点评】溶解度曲线能定量地表示出溶解度变化的规律,从溶解度曲线可以看出:同一溶质在不 同温度下的溶解度不同;同一温度下,不同溶质的溶解度可能相同,也可能不同;温度对不同物 质的溶解度影响不同。 22.(2025•福建)我国古代劳动人民因地制宜生产食盐。如《明史》记载:“解州之盐,风水所结; 闽粤之盐,集卤。” (1)解州之“盐”指池盐,即自然条件下盐湖结晶得到的食盐(含Na SO 等杂质),常产于气 2 4 候干旱地区。 ①池盐属于 混合物 (填“纯净物”或“混合物”)。 ②盐湖遇到西北风(冷空气)或南风(热空气)时,均会出现“一夜浮华”(析出大量晶体)的 现象。所得晶体中,NaCl含量较高的自然条件是 南风 (填“西北风”或“南风”),理由 是 N a SO 的溶解度随温度升高而明显增大,南风时温度较高,析出的晶体中 N a SO 含量较低 2 4 2 4 。(已知:Na SO 和NaCl的溶解度曲线如图所示) 2 4 (2)闽粤之“盐”指海盐,其生产工艺(集卤):海水先经风吹和日晒获得较浓卤水,再煎制 得食盐。生产时,古人用不同浓度的食盐水处理过的石莲子(一种植物果实)和竹筒制成莲管秤 (如图A所示),用来检验卤水的浓度是否达到煎制要求。 ①“集卤”工艺不采用直接蒸煮海水的方法提取食盐,其原因是 直接蒸煮海水需要消耗大量 能源 。 ②处理石莲子时,需配制饱和食盐水,其操作是 取适量水,加入食盐并充分搅拌,直至不再 溶解 。 ③莲管秤中的1~4号石莲子的密度依次减小。现将两份卤水分别倒入莲管秤中,观察到石莲子 35关注公众号:陆陆高分冲刺 ~领取:最新版“小中高考-总复习”、最新试卷下载 的沉浮情况如图B和图C所示,对应的卤水浓度较大的是 B (填“B”或“C”),莲管秤 能区分不同浓度卤水的原理是 卤水的浓度越大,密度越大,石莲子排开等体积的水所产生的 浮力越大 。 【考点】固体溶解度曲线及其作用;氯化钠与粗盐提纯. 【答案】(1)①混合物; ②南风;Na SO 的溶解度随温度升高而明显增大,南风时温度较高,析出的晶体中Na SO 含量 2 4 2 4 较低; (2)①直接蒸煮海水需要消耗大量能源; ②取适量水,加入食盐并充分搅拌,直至不再溶解; ③B;卤水的浓度越大,密度越大,石莲子排开等体积的水所产生的浮力越大。 【分析】(1)①根据纯净物是由一种物质组成的物质,混合物是指由两种或两种以上物质组成 的物质,进行分析解答。 ②根据Na SO 的溶解度随温度升高而明显增大,进行分析解答。 2 4 (2)①根据氯化钠的溶解度受温度的影响变化较小,进行分析解答。 ②根据配制饱和食盐水的方法,进行分析解答。 ③根据在B中要比C中石莲子上浮的个数多,卤水的浓度和密度的关系,进行分析解答。 【解答】解:(1)①池盐中含有食盐,主要成分是氯化钠,含Na SO 等杂质等多种物质,属于 2 4 混合物。 ②由溶解度曲线可知,Na SO 的溶解度随温度升高而明显增大,南风时温度较高,析出的晶体 2 4 中Na SO 含量较低,所得晶体中NaCl含量较高。 2 4 (2)①氯化钠的溶解度受温度的影响变化较小,需要蒸发溶剂的方法结晶;若直接蒸煮海水需 要消耗大量能源。 ②常温下,食盐易溶于水,配制饱和食盐水的方法为:取适量水,加入食盐并充分搅拌,直至不 再溶解。 ③据图可知,在B中要比C中石莲子上浮的个数多,对应的卤水浓度较大的是B;由实验可知, 卤水的浓度越大,密度越大,石莲子排开等体积的水所产生的浮力越大,所以可以用莲管秤来区 36关注公众号:陆陆高分冲刺 ~领取:最新版“小中高考-总复习”、最新试卷下载 分不同浓度卤水。 故答案为: (1)①混合物; ②南风;Na SO 的溶解度随温度升高而明显增大,南风时温度较高,析出的晶体中Na SO 含量 2 4 2 4 较低; (2)①直接蒸煮海水需要消耗大量能源; ②取适量水,加入食盐并充分搅拌,直至不再溶解; ③B;卤水的浓度越大,密度越大,石莲子排开等体积的水所产生的浮力越大。 【点评】本题难度不大,了解溶解度曲线的含义、饱和溶液的特征、结晶的方法等是正确解答本 题的关键。 37
基本 文件 流程 错误 SQL 调试
  1. 请求信息 : 2026-03-10 09:37:28 HTTP/1.1 GET : https://www.yeyulingfeng.com/wendang/372241.html
  2. 运行时间 : 0.091790s [ 吞吐率:10.89req/s ] 内存消耗:5,649.43kb 文件加载:144
  3. 缓存信息 : 0 reads,0 writes
  4. 会话信息 : SESSION_ID=77ca00788156f943b8f7c2def2e83106
  1. /yingpanguazai/ssd/ssd1/www/wwww.yeyulingfeng.com/public/index.php ( 0.79 KB )
  2. /yingpanguazai/ssd/ssd1/www/wwww.yeyulingfeng.com/vendor/autoload.php ( 0.17 KB )
  3. /yingpanguazai/ssd/ssd1/www/wwww.yeyulingfeng.com/vendor/composer/autoload_real.php ( 2.49 KB )
  4. /yingpanguazai/ssd/ssd1/www/wwww.yeyulingfeng.com/vendor/composer/platform_check.php ( 0.90 KB )
  5. /yingpanguazai/ssd/ssd1/www/wwww.yeyulingfeng.com/vendor/composer/ClassLoader.php ( 14.03 KB )
  6. /yingpanguazai/ssd/ssd1/www/wwww.yeyulingfeng.com/vendor/composer/autoload_static.php ( 6.05 KB )
  7. /yingpanguazai/ssd/ssd1/www/wwww.yeyulingfeng.com/vendor/topthink/think-helper/src/helper.php ( 8.34 KB )
  8. /yingpanguazai/ssd/ssd1/www/wwww.yeyulingfeng.com/vendor/topthink/think-validate/src/helper.php ( 2.19 KB )
  9. /yingpanguazai/ssd/ssd1/www/wwww.yeyulingfeng.com/vendor/ralouphie/getallheaders/src/getallheaders.php ( 1.60 KB )
  10. /yingpanguazai/ssd/ssd1/www/wwww.yeyulingfeng.com/vendor/topthink/think-orm/src/helper.php ( 1.47 KB )
  11. /yingpanguazai/ssd/ssd1/www/wwww.yeyulingfeng.com/vendor/topthink/think-orm/stubs/load_stubs.php ( 0.16 KB )
  12. /yingpanguazai/ssd/ssd1/www/wwww.yeyulingfeng.com/vendor/topthink/framework/src/think/Exception.php ( 1.69 KB )
  13. /yingpanguazai/ssd/ssd1/www/wwww.yeyulingfeng.com/vendor/topthink/think-container/src/Facade.php ( 2.71 KB )
  14. /yingpanguazai/ssd/ssd1/www/wwww.yeyulingfeng.com/vendor/symfony/deprecation-contracts/function.php ( 0.99 KB )
  15. /yingpanguazai/ssd/ssd1/www/wwww.yeyulingfeng.com/vendor/symfony/polyfill-mbstring/bootstrap.php ( 8.26 KB )
  16. /yingpanguazai/ssd/ssd1/www/wwww.yeyulingfeng.com/vendor/symfony/polyfill-mbstring/bootstrap80.php ( 9.78 KB )
  17. /yingpanguazai/ssd/ssd1/www/wwww.yeyulingfeng.com/vendor/symfony/var-dumper/Resources/functions/dump.php ( 1.49 KB )
  18. /yingpanguazai/ssd/ssd1/www/wwww.yeyulingfeng.com/vendor/topthink/think-dumper/src/helper.php ( 0.18 KB )
  19. /yingpanguazai/ssd/ssd1/www/wwww.yeyulingfeng.com/vendor/symfony/var-dumper/VarDumper.php ( 4.30 KB )
  20. /yingpanguazai/ssd/ssd1/www/wwww.yeyulingfeng.com/vendor/guzzlehttp/guzzle/src/functions_include.php ( 0.16 KB )
  21. /yingpanguazai/ssd/ssd1/www/wwww.yeyulingfeng.com/vendor/guzzlehttp/guzzle/src/functions.php ( 5.54 KB )
  22. /yingpanguazai/ssd/ssd1/www/wwww.yeyulingfeng.com/vendor/topthink/framework/src/think/App.php ( 15.30 KB )
  23. /yingpanguazai/ssd/ssd1/www/wwww.yeyulingfeng.com/vendor/topthink/think-container/src/Container.php ( 15.76 KB )
  24. /yingpanguazai/ssd/ssd1/www/wwww.yeyulingfeng.com/vendor/psr/container/src/ContainerInterface.php ( 1.02 KB )
  25. /yingpanguazai/ssd/ssd1/www/wwww.yeyulingfeng.com/app/provider.php ( 0.19 KB )
  26. /yingpanguazai/ssd/ssd1/www/wwww.yeyulingfeng.com/vendor/topthink/framework/src/think/Http.php ( 6.04 KB )
  27. /yingpanguazai/ssd/ssd1/www/wwww.yeyulingfeng.com/vendor/topthink/think-helper/src/helper/Str.php ( 7.29 KB )
  28. /yingpanguazai/ssd/ssd1/www/wwww.yeyulingfeng.com/vendor/topthink/framework/src/think/Env.php ( 4.68 KB )
  29. /yingpanguazai/ssd/ssd1/www/wwww.yeyulingfeng.com/app/common.php ( 0.03 KB )
  30. /yingpanguazai/ssd/ssd1/www/wwww.yeyulingfeng.com/vendor/topthink/framework/src/helper.php ( 18.78 KB )
  31. /yingpanguazai/ssd/ssd1/www/wwww.yeyulingfeng.com/vendor/topthink/framework/src/think/Config.php ( 5.54 KB )
  32. /yingpanguazai/ssd/ssd1/www/wwww.yeyulingfeng.com/config/alipay.php ( 3.59 KB )
  33. /yingpanguazai/ssd/ssd1/www/wwww.yeyulingfeng.com/vendor/topthink/framework/src/think/facade/Env.php ( 1.67 KB )
  34. /yingpanguazai/ssd/ssd1/www/wwww.yeyulingfeng.com/config/app.php ( 0.95 KB )
  35. /yingpanguazai/ssd/ssd1/www/wwww.yeyulingfeng.com/config/cache.php ( 0.78 KB )
  36. /yingpanguazai/ssd/ssd1/www/wwww.yeyulingfeng.com/config/console.php ( 0.23 KB )
  37. /yingpanguazai/ssd/ssd1/www/wwww.yeyulingfeng.com/config/cookie.php ( 0.56 KB )
  38. /yingpanguazai/ssd/ssd1/www/wwww.yeyulingfeng.com/config/database.php ( 2.48 KB )
  39. /yingpanguazai/ssd/ssd1/www/wwww.yeyulingfeng.com/config/filesystem.php ( 0.61 KB )
  40. /yingpanguazai/ssd/ssd1/www/wwww.yeyulingfeng.com/config/lang.php ( 0.91 KB )
  41. /yingpanguazai/ssd/ssd1/www/wwww.yeyulingfeng.com/config/log.php ( 1.35 KB )
  42. /yingpanguazai/ssd/ssd1/www/wwww.yeyulingfeng.com/config/middleware.php ( 0.19 KB )
  43. /yingpanguazai/ssd/ssd1/www/wwww.yeyulingfeng.com/config/route.php ( 1.89 KB )
  44. /yingpanguazai/ssd/ssd1/www/wwww.yeyulingfeng.com/config/session.php ( 0.57 KB )
  45. /yingpanguazai/ssd/ssd1/www/wwww.yeyulingfeng.com/config/trace.php ( 0.34 KB )
  46. /yingpanguazai/ssd/ssd1/www/wwww.yeyulingfeng.com/config/view.php ( 0.82 KB )
  47. /yingpanguazai/ssd/ssd1/www/wwww.yeyulingfeng.com/app/event.php ( 0.25 KB )
  48. /yingpanguazai/ssd/ssd1/www/wwww.yeyulingfeng.com/vendor/topthink/framework/src/think/Event.php ( 7.67 KB )
  49. /yingpanguazai/ssd/ssd1/www/wwww.yeyulingfeng.com/app/service.php ( 0.13 KB )
  50. /yingpanguazai/ssd/ssd1/www/wwww.yeyulingfeng.com/app/AppService.php ( 0.26 KB )
  51. /yingpanguazai/ssd/ssd1/www/wwww.yeyulingfeng.com/vendor/topthink/framework/src/think/Service.php ( 1.64 KB )
  52. /yingpanguazai/ssd/ssd1/www/wwww.yeyulingfeng.com/vendor/topthink/framework/src/think/Lang.php ( 7.35 KB )
  53. /yingpanguazai/ssd/ssd1/www/wwww.yeyulingfeng.com/vendor/topthink/framework/src/lang/zh-cn.php ( 13.70 KB )
  54. /yingpanguazai/ssd/ssd1/www/wwww.yeyulingfeng.com/vendor/topthink/framework/src/think/initializer/Error.php ( 3.31 KB )
  55. /yingpanguazai/ssd/ssd1/www/wwww.yeyulingfeng.com/vendor/topthink/framework/src/think/initializer/RegisterService.php ( 1.33 KB )
  56. /yingpanguazai/ssd/ssd1/www/wwww.yeyulingfeng.com/vendor/services.php ( 0.14 KB )
  57. /yingpanguazai/ssd/ssd1/www/wwww.yeyulingfeng.com/vendor/topthink/framework/src/think/service/PaginatorService.php ( 1.52 KB )
  58. /yingpanguazai/ssd/ssd1/www/wwww.yeyulingfeng.com/vendor/topthink/framework/src/think/service/ValidateService.php ( 0.99 KB )
  59. /yingpanguazai/ssd/ssd1/www/wwww.yeyulingfeng.com/vendor/topthink/framework/src/think/service/ModelService.php ( 2.04 KB )
  60. /yingpanguazai/ssd/ssd1/www/wwww.yeyulingfeng.com/vendor/topthink/think-trace/src/Service.php ( 0.77 KB )
  61. /yingpanguazai/ssd/ssd1/www/wwww.yeyulingfeng.com/vendor/topthink/framework/src/think/Middleware.php ( 6.72 KB )
  62. /yingpanguazai/ssd/ssd1/www/wwww.yeyulingfeng.com/vendor/topthink/framework/src/think/initializer/BootService.php ( 0.77 KB )
  63. /yingpanguazai/ssd/ssd1/www/wwww.yeyulingfeng.com/vendor/topthink/think-orm/src/Paginator.php ( 11.86 KB )
  64. /yingpanguazai/ssd/ssd1/www/wwww.yeyulingfeng.com/vendor/topthink/think-validate/src/Validate.php ( 63.20 KB )
  65. /yingpanguazai/ssd/ssd1/www/wwww.yeyulingfeng.com/vendor/topthink/think-orm/src/Model.php ( 23.55 KB )
  66. /yingpanguazai/ssd/ssd1/www/wwww.yeyulingfeng.com/vendor/topthink/think-orm/src/model/concern/Attribute.php ( 21.05 KB )
  67. /yingpanguazai/ssd/ssd1/www/wwww.yeyulingfeng.com/vendor/topthink/think-orm/src/model/concern/AutoWriteData.php ( 4.21 KB )
  68. /yingpanguazai/ssd/ssd1/www/wwww.yeyulingfeng.com/vendor/topthink/think-orm/src/model/concern/Conversion.php ( 6.44 KB )
  69. /yingpanguazai/ssd/ssd1/www/wwww.yeyulingfeng.com/vendor/topthink/think-orm/src/model/concern/DbConnect.php ( 5.16 KB )
  70. /yingpanguazai/ssd/ssd1/www/wwww.yeyulingfeng.com/vendor/topthink/think-orm/src/model/concern/ModelEvent.php ( 2.33 KB )
  71. /yingpanguazai/ssd/ssd1/www/wwww.yeyulingfeng.com/vendor/topthink/think-orm/src/model/concern/RelationShip.php ( 28.29 KB )
  72. /yingpanguazai/ssd/ssd1/www/wwww.yeyulingfeng.com/vendor/topthink/think-helper/src/contract/Arrayable.php ( 0.09 KB )
  73. /yingpanguazai/ssd/ssd1/www/wwww.yeyulingfeng.com/vendor/topthink/think-helper/src/contract/Jsonable.php ( 0.13 KB )
  74. /yingpanguazai/ssd/ssd1/www/wwww.yeyulingfeng.com/vendor/topthink/think-orm/src/model/contract/Modelable.php ( 0.09 KB )
  75. /yingpanguazai/ssd/ssd1/www/wwww.yeyulingfeng.com/vendor/topthink/framework/src/think/Db.php ( 2.88 KB )
  76. /yingpanguazai/ssd/ssd1/www/wwww.yeyulingfeng.com/vendor/topthink/think-orm/src/DbManager.php ( 8.52 KB )
  77. /yingpanguazai/ssd/ssd1/www/wwww.yeyulingfeng.com/vendor/topthink/framework/src/think/Log.php ( 6.28 KB )
  78. /yingpanguazai/ssd/ssd1/www/wwww.yeyulingfeng.com/vendor/topthink/framework/src/think/Manager.php ( 3.92 KB )
  79. /yingpanguazai/ssd/ssd1/www/wwww.yeyulingfeng.com/vendor/psr/log/src/LoggerTrait.php ( 2.69 KB )
  80. /yingpanguazai/ssd/ssd1/www/wwww.yeyulingfeng.com/vendor/psr/log/src/LoggerInterface.php ( 2.71 KB )
  81. /yingpanguazai/ssd/ssd1/www/wwww.yeyulingfeng.com/vendor/topthink/framework/src/think/Cache.php ( 4.92 KB )
  82. /yingpanguazai/ssd/ssd1/www/wwww.yeyulingfeng.com/vendor/psr/simple-cache/src/CacheInterface.php ( 4.71 KB )
  83. /yingpanguazai/ssd/ssd1/www/wwww.yeyulingfeng.com/vendor/topthink/think-helper/src/helper/Arr.php ( 16.63 KB )
  84. /yingpanguazai/ssd/ssd1/www/wwww.yeyulingfeng.com/vendor/topthink/framework/src/think/cache/driver/File.php ( 7.84 KB )
  85. /yingpanguazai/ssd/ssd1/www/wwww.yeyulingfeng.com/vendor/topthink/framework/src/think/cache/Driver.php ( 9.03 KB )
  86. /yingpanguazai/ssd/ssd1/www/wwww.yeyulingfeng.com/vendor/topthink/framework/src/think/contract/CacheHandlerInterface.php ( 1.99 KB )
  87. /yingpanguazai/ssd/ssd1/www/wwww.yeyulingfeng.com/app/Request.php ( 0.09 KB )
  88. /yingpanguazai/ssd/ssd1/www/wwww.yeyulingfeng.com/vendor/topthink/framework/src/think/Request.php ( 55.78 KB )
  89. /yingpanguazai/ssd/ssd1/www/wwww.yeyulingfeng.com/app/middleware.php ( 0.25 KB )
  90. /yingpanguazai/ssd/ssd1/www/wwww.yeyulingfeng.com/vendor/topthink/framework/src/think/Pipeline.php ( 2.61 KB )
  91. /yingpanguazai/ssd/ssd1/www/wwww.yeyulingfeng.com/vendor/topthink/think-trace/src/TraceDebug.php ( 3.40 KB )
  92. /yingpanguazai/ssd/ssd1/www/wwww.yeyulingfeng.com/vendor/topthink/framework/src/think/middleware/SessionInit.php ( 1.94 KB )
  93. /yingpanguazai/ssd/ssd1/www/wwww.yeyulingfeng.com/vendor/topthink/framework/src/think/Session.php ( 1.80 KB )
  94. /yingpanguazai/ssd/ssd1/www/wwww.yeyulingfeng.com/vendor/topthink/framework/src/think/session/driver/File.php ( 6.27 KB )
  95. /yingpanguazai/ssd/ssd1/www/wwww.yeyulingfeng.com/vendor/topthink/framework/src/think/contract/SessionHandlerInterface.php ( 0.87 KB )
  96. /yingpanguazai/ssd/ssd1/www/wwww.yeyulingfeng.com/vendor/topthink/framework/src/think/session/Store.php ( 7.12 KB )
  97. /yingpanguazai/ssd/ssd1/www/wwww.yeyulingfeng.com/vendor/topthink/framework/src/think/Route.php ( 23.73 KB )
  98. /yingpanguazai/ssd/ssd1/www/wwww.yeyulingfeng.com/vendor/topthink/framework/src/think/route/RuleName.php ( 5.75 KB )
  99. /yingpanguazai/ssd/ssd1/www/wwww.yeyulingfeng.com/vendor/topthink/framework/src/think/route/Domain.php ( 2.53 KB )
  100. /yingpanguazai/ssd/ssd1/www/wwww.yeyulingfeng.com/vendor/topthink/framework/src/think/route/RuleGroup.php ( 22.43 KB )
  101. /yingpanguazai/ssd/ssd1/www/wwww.yeyulingfeng.com/vendor/topthink/framework/src/think/route/Rule.php ( 26.95 KB )
  102. /yingpanguazai/ssd/ssd1/www/wwww.yeyulingfeng.com/vendor/topthink/framework/src/think/route/RuleItem.php ( 9.78 KB )
  103. /yingpanguazai/ssd/ssd1/www/wwww.yeyulingfeng.com/route/app.php ( 3.82 KB )
  104. /yingpanguazai/ssd/ssd1/www/wwww.yeyulingfeng.com/vendor/topthink/framework/src/think/facade/Route.php ( 4.70 KB )
  105. /yingpanguazai/ssd/ssd1/www/wwww.yeyulingfeng.com/vendor/topthink/framework/src/think/route/dispatch/Controller.php ( 4.74 KB )
  106. /yingpanguazai/ssd/ssd1/www/wwww.yeyulingfeng.com/vendor/topthink/framework/src/think/route/Dispatch.php ( 10.44 KB )
  107. /yingpanguazai/ssd/ssd1/www/wwww.yeyulingfeng.com/app/controller/Index.php ( 9.69 KB )
  108. /yingpanguazai/ssd/ssd1/www/wwww.yeyulingfeng.com/app/BaseController.php ( 2.05 KB )
  109. /yingpanguazai/ssd/ssd1/www/wwww.yeyulingfeng.com/vendor/topthink/think-orm/src/facade/Db.php ( 0.93 KB )
  110. /yingpanguazai/ssd/ssd1/www/wwww.yeyulingfeng.com/vendor/topthink/think-orm/src/db/connector/Mysql.php ( 5.44 KB )
  111. /yingpanguazai/ssd/ssd1/www/wwww.yeyulingfeng.com/vendor/topthink/think-orm/src/db/PDOConnection.php ( 52.47 KB )
  112. /yingpanguazai/ssd/ssd1/www/wwww.yeyulingfeng.com/vendor/topthink/think-orm/src/db/Connection.php ( 8.39 KB )
  113. /yingpanguazai/ssd/ssd1/www/wwww.yeyulingfeng.com/vendor/topthink/think-orm/src/db/ConnectionInterface.php ( 4.57 KB )
  114. /yingpanguazai/ssd/ssd1/www/wwww.yeyulingfeng.com/vendor/topthink/think-orm/src/db/builder/Mysql.php ( 16.58 KB )
  115. /yingpanguazai/ssd/ssd1/www/wwww.yeyulingfeng.com/vendor/topthink/think-orm/src/db/Builder.php ( 24.06 KB )
  116. /yingpanguazai/ssd/ssd1/www/wwww.yeyulingfeng.com/vendor/topthink/think-orm/src/db/BaseBuilder.php ( 27.50 KB )
  117. /yingpanguazai/ssd/ssd1/www/wwww.yeyulingfeng.com/vendor/topthink/think-orm/src/db/Query.php ( 15.71 KB )
  118. /yingpanguazai/ssd/ssd1/www/wwww.yeyulingfeng.com/vendor/topthink/think-orm/src/db/BaseQuery.php ( 45.13 KB )
  119. /yingpanguazai/ssd/ssd1/www/wwww.yeyulingfeng.com/vendor/topthink/think-orm/src/db/concern/TimeFieldQuery.php ( 7.43 KB )
  120. /yingpanguazai/ssd/ssd1/www/wwww.yeyulingfeng.com/vendor/topthink/think-orm/src/db/concern/AggregateQuery.php ( 3.26 KB )
  121. /yingpanguazai/ssd/ssd1/www/wwww.yeyulingfeng.com/vendor/topthink/think-orm/src/db/concern/ModelRelationQuery.php ( 20.07 KB )
  122. /yingpanguazai/ssd/ssd1/www/wwww.yeyulingfeng.com/vendor/topthink/think-orm/src/db/concern/ParamsBind.php ( 3.66 KB )
  123. /yingpanguazai/ssd/ssd1/www/wwww.yeyulingfeng.com/vendor/topthink/think-orm/src/db/concern/ResultOperation.php ( 7.01 KB )
  124. /yingpanguazai/ssd/ssd1/www/wwww.yeyulingfeng.com/vendor/topthink/think-orm/src/db/concern/WhereQuery.php ( 19.37 KB )
  125. /yingpanguazai/ssd/ssd1/www/wwww.yeyulingfeng.com/vendor/topthink/think-orm/src/db/concern/JoinAndViewQuery.php ( 7.11 KB )
  126. /yingpanguazai/ssd/ssd1/www/wwww.yeyulingfeng.com/vendor/topthink/think-orm/src/db/concern/TableFieldInfo.php ( 2.63 KB )
  127. /yingpanguazai/ssd/ssd1/www/wwww.yeyulingfeng.com/vendor/topthink/think-orm/src/db/concern/Transaction.php ( 2.77 KB )
  128. /yingpanguazai/ssd/ssd1/www/wwww.yeyulingfeng.com/vendor/topthink/framework/src/think/log/driver/File.php ( 5.96 KB )
  129. /yingpanguazai/ssd/ssd1/www/wwww.yeyulingfeng.com/vendor/topthink/framework/src/think/contract/LogHandlerInterface.php ( 0.86 KB )
  130. /yingpanguazai/ssd/ssd1/www/wwww.yeyulingfeng.com/vendor/topthink/framework/src/think/log/Channel.php ( 3.89 KB )
  131. /yingpanguazai/ssd/ssd1/www/wwww.yeyulingfeng.com/vendor/topthink/framework/src/think/event/LogRecord.php ( 1.02 KB )
  132. /yingpanguazai/ssd/ssd1/www/wwww.yeyulingfeng.com/vendor/topthink/think-helper/src/Collection.php ( 16.47 KB )
  133. /yingpanguazai/ssd/ssd1/www/wwww.yeyulingfeng.com/vendor/topthink/framework/src/think/facade/View.php ( 1.70 KB )
  134. /yingpanguazai/ssd/ssd1/www/wwww.yeyulingfeng.com/vendor/topthink/framework/src/think/View.php ( 4.39 KB )
  135. /yingpanguazai/ssd/ssd1/www/wwww.yeyulingfeng.com/vendor/topthink/framework/src/think/Response.php ( 8.81 KB )
  136. /yingpanguazai/ssd/ssd1/www/wwww.yeyulingfeng.com/vendor/topthink/framework/src/think/response/View.php ( 3.29 KB )
  137. /yingpanguazai/ssd/ssd1/www/wwww.yeyulingfeng.com/vendor/topthink/framework/src/think/Cookie.php ( 6.06 KB )
  138. /yingpanguazai/ssd/ssd1/www/wwww.yeyulingfeng.com/vendor/topthink/think-view/src/Think.php ( 8.38 KB )
  139. /yingpanguazai/ssd/ssd1/www/wwww.yeyulingfeng.com/vendor/topthink/framework/src/think/contract/TemplateHandlerInterface.php ( 1.60 KB )
  140. /yingpanguazai/ssd/ssd1/www/wwww.yeyulingfeng.com/vendor/topthink/think-template/src/Template.php ( 46.61 KB )
  141. /yingpanguazai/ssd/ssd1/www/wwww.yeyulingfeng.com/vendor/topthink/think-template/src/template/driver/File.php ( 2.41 KB )
  142. /yingpanguazai/ssd/ssd1/www/wwww.yeyulingfeng.com/vendor/topthink/think-template/src/template/contract/DriverInterface.php ( 0.86 KB )
  143. /yingpanguazai/ssd/ssd1/www/wwww.yeyulingfeng.com/runtime/temp/10a0c909b6afa23b5a52a2e2d58c3c0f.php ( 21.72 KB )
  144. /yingpanguazai/ssd/ssd1/www/wwww.yeyulingfeng.com/vendor/topthink/think-trace/src/Html.php ( 4.42 KB )
  1. CONNECT:[ UseTime:0.000575s ] mysql:host=127.0.0.1;port=3306;dbname=wenku;charset=utf8mb4
  2. SHOW FULL COLUMNS FROM `fenlei` [ RunTime:0.000767s ]
  3. SELECT * FROM `fenlei` WHERE `fid` = 0 [ RunTime:0.000310s ]
  4. SELECT * FROM `fenlei` WHERE `fid` = 63 [ RunTime:0.000280s ]
  5. SHOW FULL COLUMNS FROM `set` [ RunTime:0.000499s ]
  6. SELECT * FROM `set` [ RunTime:0.000215s ]
  7. SHOW FULL COLUMNS FROM `wendang` [ RunTime:0.000652s ]
  8. SELECT * FROM `wendang` WHERE `id` = 372241 LIMIT 1 [ RunTime:0.003457s ]
  9. UPDATE `wendang` SET `liulancishu` = 1 WHERE `id` = 372241 [ RunTime:0.007090s ]
  10. UPDATE `wendang` SET `lasttime` = 1773106648 WHERE `id` = 372241 [ RunTime:0.000535s ]
  11. SELECT * FROM `wendang` WHERE `id` < 372241 ORDER BY `id` DESC LIMIT 1 [ RunTime:0.000426s ]
  12. SELECT * FROM `wendang` WHERE `id` > 372241 ORDER BY `id` ASC LIMIT 1 [ RunTime:0.001930s ]
  13. SELECT * FROM `wendang` WHERE `id` <> 372241 ORDER BY `id` DESC LIMIT 10 [ RunTime:0.001360s ]
  14. SELECT * FROM `wendang` WHERE `id` <> 372241 ORDER BY `id` DESC LIMIT 10,10 [ RunTime:0.002566s ]
  15. SELECT * FROM `wendang` WHERE `id` <> 372241 ORDER BY `id` DESC LIMIT 20,10 [ RunTime:0.003027s ]
0.093490s